Добавить в корзинуПозвонить
Найти в Дзене
36ON

Наивысший класс пожароопасности в Воронежской области сохраняется на фоне похолодания

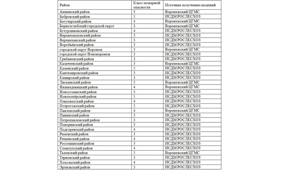
Пятый – наивысший – класс пожарной опасности местами по Воронежской области сохраняется, даже несмотря на резкое похолодание, пришедшее в регион. Как следует из информации на сайте регионального управления МЧС, хуже всего ситуация обстоит в Бобровском, Лискинском, Новохоперском, Острогожском и Таловском районах. В Богучарском, Бутурлиновском, Нижнедевицком, Ольховатском, Павловском, Подгоренском, Семилукском и Хохольском районах области пока что держится четвертый класс пожарной опасности, на оставшейся части региона – третий. В областном центре также сохраняется третий класс пожароопасности. В Воронежской области после аномальной жары резко похолодало. Буквально за несколько часов температура опустилась более чем на десять градусов. При этом в последующие дни короткой рабочей недели столбики термометров опустятся еще ниже – до +20 днем, и до +9…+11 по ночам. Кроме того, почти каждый день вплоть до понедельника будут идти дожди. Не пропустить важное в ДЗЕН 36ON

Пятый – наивысший – класс пожарной опасности местами по Воронежской области сохраняется, даже несмотря на резкое похолодание, пришедшее в регион. Как следует из информации на сайте регионального управления МЧС, хуже всего ситуация обстоит в Бобровском, Лискинском, Новохоперском, Острогожском и Таловском районах.

В Богучарском, Бутурлиновском, Нижнедевицком, Ольховатском, Павловском, Подгоренском, Семилукском и Хохольском районах области пока что держится четвертый класс пожарной опасности, на оставшейся части региона – третий.

В областном центре также сохраняется третий класс пожароопасности.

-2

В Воронежской области после аномальной жары резко похолодало. Буквально за несколько часов температура опустилась более чем на десять градусов. При этом в последующие дни короткой рабочей недели столбики термометров опустятся еще ниже – до +20 днем, и до +9…+11 по ночам. Кроме того, почти каждый день вплоть до понедельника будут идти дожди.

Не пропустить важное в ДЗЕН 36ON