Добавить в корзинуПозвонить
Найти в Дзене
УЧЕБА

Одночлены: умножение и возведение в степень

Одночлены: умножение и возведение в степень Рассмотрим тему умножения одночленов и возведения одночлена в степень. Для начала расммотрим само понятие одночлена, а затем уже перейдем к главной теме. Ну и конечно не без кучи всяких разных примеров. Одночлен: общее понятие Одночлен это простейшее алгебраической выражение, содержащее произведение чисел и переменных, возведённых в натуральную степень. Например: Два одночлена, которые приведёны к стандартному виду, называются подобными , если они имеют одинаковое постоянное число перед одночленом, если мы сложим подобные одночлены или сложим их степени то это называется приведение подобных членов. Если мы поставим знак умножения между двуми одночленами, то увидим что получим снова одночлен, но нам необходимо привести его к стандартному виду. Возведение в степень также не вызовет сложностей, при этом используется правило работы со степенями. Умножение одночленов... Сначала перемножаем постоянные величины, а после складываем степени с одинаков

Одночлены: умножение и возведение в степень

Рассмотрим тему умножения одночленов и возведения одночлена в степень. Для начала расммотрим само понятие одночлена, а затем уже перейдем к главной теме. Ну и конечно не без кучи всяких разных примеров.

Одночлен: общее понятие

Одночлен это простейшее алгебраической выражение, содержащее произведение чисел и переменных, возведённых в натуральную степень. Например:

Два одночлена, которые приведёны к стандартному виду, называются подобными , если они имеют одинаковое постоянное число перед одночленом, если мы сложим подобные одночлены или сложим их степени то это называется приведение подобных членов. Если мы поставим знак умножения между двуми одночленами, то увидим что получим снова одночлен, но нам необходимо привести его к стандартному виду. Возведение в степень также не вызовет сложностей, при этом используется правило работы со степенями.

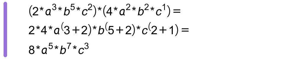
Умножение одночленов...

Сначала перемножаем постоянные величины, а после складываем степени с одинаковым основанием.

Для начала приведём пример умножения двух одночленов

-2

...и возведение одночлена в степень

Также очень часто перед нами встаёт задача упрощения одночленов, в таком случае мы должны как можно короче записать выражение, для того чтобы упростить нужно возвести в степень или раскроем скобки, также можем встретить выражение с корнями, их мы должны представить в виде переменной в степени.

Например:

-3

Нередки случаи когда нам нужно разложить сложный одночлен в произведение простых одночленов, решение такой задачи не всегда единственно, ведь мы можем представить 1 одночлен в виде “кучи” произведений примитивных произведений.