Добавить в корзинуПозвонить
Найти в Дзене
МАТЕМАТИКА с ВАЛЕРИЕЙ

ВСЕ задания ЕГЭ 2025 по математике с развернутым ответом

Скачать ВСЕ шпаргалки для ОГЭ можно здесь: https://vk.com/app5898182_-214545621#s=3290986 ⚡️БЕСПЛАТНЫЙ КУРС по ВСЕЙ ТЕОРИИ ВЕРОЯТНОСТИ за 50 мин забрать в https://t.me/valeriya_math ⚡️Конспект с полностью оформленным решением ЕГЭ2024 скачать в https://t.me/valeriya_math 🔥🔥Курсы для учителей ОГЭ и ЕГЭ: https://forms.gle/8p6bbAvegNXg474M6 🔥ЗАПИСЬ НА ЛЕТНИЙ КУРС ЕГЭ2025: https://forms.gle/BN5hzq3JeZQYGUJUA 🔥ЗАПИСЬ НА ЛЕТНИЙ КУРС ОГЭ2025: https://forms.gle/AzHy6yd5AXnChdeS7 🔥ЗАПИСЬ НА ГОДОВОЙ КУРС ЕГЭ2026: https://forms.gle/mmYEE2uHvX5A4wkj9 🔥ЗАПИСЬ НА ГОДОВОЙ КУРС ОГЭ2026: https://forms.gle/P7mqrdifGSzZFaBZ7 Отзывы моих учеников -https://vk.com/topic-214545621_49412916, https://vk.com/topic-214545621_49324326 https://vk.com/topic-214545621_50036062 ⬇️ Не забудь подписаться на меня тут ⬇️ ⚡️группа ВК https://vk.com/valeriyamath ⚡️TELEGRAM Разбор заданий ЕГЭ и ОГЭ: https://t.me/valeriya_math ⚡️INSTAGRAM: https://www.instagram.com/valeriya_math/ ⚡️YOUTUBE: https://www.youtube.com/c/val
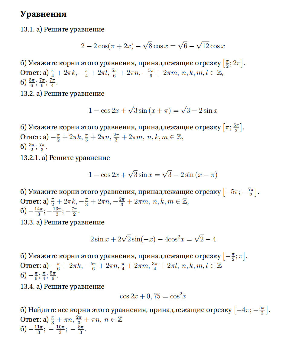
Тригонометрия ЕГЭ 2025 по матетатике
Тригонометрия ЕГЭ 2025 по матетатике
Стереометрия ЕГЭ 2025 по матетатике
Стереометрия ЕГЭ 2025 по матетатике
Стереометрия ЕГЭ 2025 по матетатике
Стереометрия ЕГЭ 2025 по матетатике
Неравенства ЕГЭ 2025 по матетатике
Неравенства ЕГЭ 2025 по матетатике
Экономика ЕГЭ 2025 по матетатике
Экономика ЕГЭ 2025 по матетатике
Экономика ЕГЭ 2025 по матетатике
Экономика ЕГЭ 2025 по матетатике
Планиметрия ЕГЭ 2025 по матетатике
Планиметрия ЕГЭ 2025 по матетатике
Параметры ЕГЭ 2025 по матетатике
Параметры ЕГЭ 2025 по матетатике
Параметры ЕГЭ 2025 по матетатике
Параметры ЕГЭ 2025 по матетатике
Теория Чисел ЕГЭ 2025 по матетатике
Теория Чисел ЕГЭ 2025 по матетатике
Теория Чисел
Теория Чисел

Скачать ВСЕ шпаргалки для ОГЭ можно здесь: https://vk.com/app5898182_-214545621#s=3290986

⚡️БЕСПЛАТНЫЙ КУРС по ВСЕЙ ТЕОРИИ ВЕРОЯТНОСТИ за 50 мин забрать в https://t.me/valeriya_math

⚡️Конспект с полностью оформленным решением ЕГЭ2024 скачать в https://t.me/valeriya_math

🔥🔥Курсы для учителей ОГЭ и ЕГЭ: https://forms.gle/8p6bbAvegNXg474M6

🔥ЗАПИСЬ НА ЛЕТНИЙ КУРС ЕГЭ2025: https://forms.gle/BN5hzq3JeZQYGUJUA

🔥ЗАПИСЬ НА ЛЕТНИЙ КУРС ОГЭ2025: https://forms.gle/AzHy6yd5AXnChdeS7

🔥ЗАПИСЬ НА ГОДОВОЙ КУРС ЕГЭ2026: https://forms.gle/mmYEE2uHvX5A4wkj9

🔥ЗАПИСЬ НА ГОДОВОЙ КУРС ОГЭ2026: https://forms.gle/P7mqrdifGSzZFaBZ7

Отзывы моих учеников -https://vk.com/topic-214545621_49412916,

https://vk.com/topic-214545621_49324326

https://vk.com/topic-214545621_50036062

⬇️ Не забудь подписаться на меня тут ⬇️

⚡️группа ВК https://vk.com/valeriyamath

⚡️TELEGRAM Разбор заданий ЕГЭ и ОГЭ: https://t.me/valeriya_math

⚡️INSTAGRAM: https://www.instagram.com/valeriya_math/

⚡️YOUTUBE: https://www.youtube.com/c/valeriyamath

⚡️Сайт: https://valeriyamath.ru/ege

⚡️ПРОФИ.РУ: https://spb.profi.ru/profile/SamohinaVA/?mobileApp=1