Добавить в корзинуПозвонить
Найти в Дзене
gelovolro

Матмоделирование процессов псориаза при воздействии алкоголя.

Псориаз - это не просто кожная проблема, а хроническое аутоиммунное заболевание, которое может существенно ухудшить качество жизни. Представьте, кожа становится красной, зудящей, шелушащейся и болезненной. Все это - результат нарушенного цикла обновления кожи. В норме клетки эпидермиса (в основном, кератиноциты) делятся, созревают и отшелушиваются за 3-4 недели. При псориазе этот процесс ускоряется в несколько раз, до 3-5 дней. В результате в коже накапливаются незрелые кератиноциты, формируя плотные воспаленные бляшки. Ключевую роль в этом сбое играет иммунная система. Особенно важны Th17-клетки, подтип T-лимфоцитов, именно они продуцируют IL-17 при псориазе провоспалительный цитокин, который запускает каскад воспаления, усиливает приток иммунных клеток и стимулирует ускоренное деление кератиноцитов. Чтобы не углубляться сильно в детали, вкратце скажу, что: Для более точного определения изучите медицинскую литературу или Википедию, т.к. цель данной статьи фокусировка на логическом мод
Оглавление

Введение

Псориаз - это не просто кожная проблема, а хроническое аутоиммунное заболевание, которое может существенно ухудшить качество жизни. Представьте, кожа становится красной, зудящей, шелушащейся и болезненной. Все это - результат нарушенного цикла обновления кожи. В норме клетки эпидермиса (в основном, кератиноциты) делятся, созревают и отшелушиваются за 3-4 недели. При псориазе этот процесс ускоряется в несколько раз, до 3-5 дней. В результате в коже накапливаются незрелые кератиноциты, формируя плотные воспаленные бляшки.

Ключевую роль в этом сбое играет иммунная система. Особенно важны Th17-клетки, подтип T-лимфоцитов, именно они продуцируют IL-17 при псориазе провоспалительный цитокин, который запускает каскад воспаления, усиливает приток иммунных клеток и стимулирует ускоренное деление кератиноцитов.

Чтобы не углубляться сильно в детали, вкратце скажу, что:

  • Th17, это особый вид иммунных клеток, которые усиливают воспаление
  • IL-17, это сигнальное вещество, которое усиливает воспаление кожи

Для более точного определения изучите медицинскую литературу или Википедию, т.к. цель данной статьи фокусировка на логическом моделировании, а не доскональном объяснении каждого термина.

В-общем, это приводит к гиперплазии - утолщению кожи за счет патологического роста клеток. У большинства пациентов есть генетическая предрасположенность, но обострения могут провоцироваться стрессом, инфекциями или микроповреждениями кожи (так называемый "феномен Кебнера").

Чтобы разобраться, как все это развивается, я решил описать псориаз не просто словами, а через математическую модель, чтобы увидеть, как именно ломается нормальный процесс в организме человека, и в какой момент начинает происходит воспаление. Наиболее простой и очевидный способ, это взять алкоголь, т.к. зачастую он провоцирует псориаз. Могу это подтвердить, т.к. у меня у самого он сильно обостряется при употреблении алкоголя (личный опыт).

В новогодние праздники, когда мы позволяем себе лишнего в плане еды и спиртного, я тоже этим "грешу", так вот… Употреблея алкоголь где-то 2-3 дня (вермут или вино), моя кожа становится совсем плохой, особенно в зоне локтей, так же могут страдать уши в плане зоны поражения псориазом. По личному опыту, еще добавлю, что влияет на мой персональный псориаз - степень силы алкоголя. К примеру, от пива у меня - нет сильного эффекта, а вот употреляя вино/вермут эффект становится мощнее.

Что из моего опыта можно выделить?

Эффект - накопительный. Если пить 2-3 дня подряд, то эффект есть и с каждым днем употребления эффект будет сильнее. Это значит, что воздействие должно моделироваться во времени, с какой-то инерцией, и что есть порог.

Пиво не вызывает или вызывает слабо. Вино/вермут вызывают эффект сильнее и быстрее. Значит, разный уровень (степень) алкоголя влияет по-разному. После воздействия кожа не сразу восстанавливается. То есть эффект не мгновенный, и не откатывается быстро. Это говорит о гистерезисе или самоподдерживающейся обратной связи.

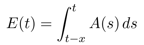
Как это переложить в математическую формулу?

Введем функцию E(t), это как бы "алкогольная нагрузка" во времени. Она зависит не только от того, пил ли человек сегодня, но и что происходило в предыдущие дни. Для этого удобно ввести интеграл:

A(s) - сила алкоголя в момент времени s, например:

  • 0 , если не пил
  • 1 , пиво
  • 2 , вино/вермут

А, x - окно накопления, допустим 3 дня, E(t) - это, как бы, "сумма алкоголя за последние N суток". И если эта сумма превысит некий порог, то начинается срыв баланса. Это соответствует буквально "интегралу по окну", то есть накоплению воздействия во времени.

Когда начинается воспаление?

Сама по себе нагрузка еще ничего не гарантирует. Бывает, что пил пару дней и не сразу сильный эффект, а бывает что пагубное влияние на кожу видно почти сразу. Это говорит о том, что в системе есть некий порог, обозначим его условно, как T.

Пока E(t) меньше T - кожа держится. Клетки делятся как обычно, воспаления - нет, организм справляется. Но, если E(t) становится больше T, запускается каскад. Срабатывает иммунитет и активизируются T-клетки, начинается выброс IL-17, кожа ускоряет деление клеток.

Под каскадом я имею в виду цепочку событий:

1) активация иммунных клеток

2) выброс IL-17

3) ускоренное деление

4) накопление незрелых клеток

5) и само воспаление

И тут я вижу деталь, которую можно подчеркнуть, как факт что система организма человека переходит в другой режим. Можно сказать, что это как некий переключатель: "нормальный цикл -> воспалительный". И это, уже не просто усиление активности, а именно смена состояния, потому что процессы связанные с кожей человека, начинают работать по другим правилам.

Что происходит после активации иммунных клеток?

Как только уровень E(t) превышает порог T, кожа переключается в режим ускоренного деления. Но, дело не только в количестве новых клеток, меняется вся динамика цикла. В норме все - сбалансировано, есть стволовые клетки (обозначим их, как стадию "a"), которые медленно делятся и дают начало транзитно-амплифицирующим клеткам (стадия "b"). Эти, в свою очередь, быстро делятся, переходят в зрелые (стадия "c"), и через несколько дней погибают (стадия "d"), отшелушиваясь.

Потоки между стадиями "a -> b -> c -> d" - уравновешены, и кожа сохраняет толщину. Но, воспаление этот баланс разрушает. При воспалении начинается перегрузка на этапе стадий от "a" к "b". Стволовые клетки активируются чаще, чем нужно, под действием провоспалительных сигналов (IL-17). Это ведет к тому, что транзитных клеток (в стадии "b") становится слишком много, они не успевают полноценно дифференцироваться в зрелые. И при стадии "c" происходит переполнение незрелыми клетками, часть которых может не пройти полный цикл.

Стадия "d" (отмирание) оказывается перегруженной, кожа физически не успевает сбрасывать избыток. В результате на поверхности накапливаются лишние слои клеток Важно, что этот сбой - не мгновенный, между нарушением баланса и видимыми симптомами есть промежуток времени, за которое происходит накопление клеточной массы. Именно этот промежуток делает систему уязвимой к самоподдержанию воспаления. Ведь, даже если прекратить пить, кожа уже "разогнана" и не может быстро вернуться к норме.

Когда нагрузка E(t) опускается ниже порога T, казалось бы, все должно нормализоваться. Но, этого не происходит мгновенно. Дело в том, что в системе уже накоплены избыточные клетки и активированные иммунные сигналы. Это можно представить, как "инерционную систему", где даже после снятия входного сигнала, "внутренний мотор" все еще крутится.

IL-17 продолжает действовать, клетки делятся с запозданием, кожа переполнена и не успевает восстановить прежний ритм. Такой эффект называется "гистерезисом", состояние системы зависит не только от текущего входа, но и от ее прошлого. Именно это делает псориаз труднообратимым, его обострение легче запустить, чем остановить.

Начало моделирования клеточной динамики

Чтобы описать, что происходит с кожей при воспалении, нужно не просто считать количество клеток на каждой стадии (a, b, c, d), но и понимать как быстро они накапливаются или убывают. Именно для этого, я буду использовать производные, т.к. они показывают изменение количества клеток во времени.

Введем следующие обозначения:

a(t) - число стволовых клеток (медленно делящихся)

b(t) - число пролиферирующих (транзитных) клеток

c(t) - число зрелых клеток

d(t) - число отмерших клеток (скорая замена кожного слоя)

Под действием IL-17 происходит ускорение перехода из a(t) в b(t):

-2

Что означает производная db/dt?

Производная db/dt, это насколько быстро меняется количество делящихся клеток во времени. Если она положительна, их будет становится все больше. Если отрицательна - наоборот, они убывают.

Если более подробнее подойти к описанию, то данное уравнение обозначает, что:

- чем больше стволовых клеток a(t), тем больше образуется b(t)

- чем сильнее сигнал IL-17, тем быстрее включается этот процесс k_il17 * IL17(t)

- но есть и отток: клетки b постепенно переходят в следующую стадию c, это выражено как -k2 * b(t)

То есть, тут получилось смоделировать некий баланс прироста и потерь на стадии b, и именно такой подход позволяет отследить, в какой момент все пойдет "не так".

Переход к зрелым клеткам, производная dc/dt

После того, как клетка прошла стадию активного деления (b), она становится зрелой (c). Это переход более стабильный, но тоже управляемый. Можно записать так:

-3
  • k2 * b(t), это приток зрелых клеток, пришедших из делящихся (т. е. из стадии b)
  • k3 * c(t), это отток, зрелые клетки умирают и переходят в стадию d (отмершие)

Простыми словами: чем больше клеток в стадии b, тем больше становится зрелых. Но, зрелые клетки тоже не вечные, они умирают со своей скоростью. Если этот баланс нарушается, например, приток резко возрастает из-за воспаления, то зрелых становится слишком много. И дальше перегружается следующая стадия d, кожа уже не справляется с отшелушиванием.

Отшелушивание, производная dd/dt

Мертвые клетки (стадия d) - это то, что мы видим как ороговевшую кожу, шелушение и бляшки. Они формируются из зрелых клеток, и в норме кожа справляется с их удалением. Но, при псориазе их становится слишком много:

-4
  • k3 * c(t), это то приток отмирающих клеток из зрелых
  • k4 * d(t), это удаление отмерших клеток с поверхности

Простыми словами, кожа должна не только производить новые клетки, но и успевать избавляться от старых. Если k3 * c(t) (приток) сильно превышает k4 * d(t) (удаление), то мертвые клетки начинают скапливаться. Это и есть "гиперкератоз", типичный признак псориаза.

Как алкоголь влияет на воспаление?

Я уже описал, как кожа выходит из баланса, если превышен некий порог E(t), и как это запускает каскад воспаления. Но, хочется отдельно подчеркнуть, что вся эта цепочка изменений начинается не с IL-17 как такового, а с того, что происходит снаружи, то есть с алкоголя, как происходило на живом опыте со мной. Именно он выступает здесь, как первичный триггер, приводящий к запуску воспалительного механизма. Введем зависимость уровня IL-17 от накопленной алкогольной нагрузки.

IL-17 в организме - это не просто случайный уровень, он реагирует на воздействие. Пока уровень алкоголя E(t) ниже некой критической отметки T, то все стабильно, IL-17 поддерживается на базовом уровне. Но, стоит E(t) пересечь этот порог, как иммунитет "включается" и начинает вырабатывать воспалительные сигналы. В матмодели это можно выразить так:

-5

где:

  • IL17(0), базовый уровень воспалительного сигнала
  • а, чувствительность системы к превышению порога
  • E(t), накопленная алкогольная нагрузка
  • T, порог активации иммунитета

Эта формула описывает то, что я чувствую буквально на себе: выпил немного, и ничего не происходит. Но, если продолжать злоупотреблять, то будет накапливаться. И как только суммарное воздействие превышает условную черту, организм реагирует и запускается воспалительный ответ.

При этом IL-17 не просто включается, а начинает расти, пропорционально тому, насколько сильно превышен порог. Это объясняет, почему один бокал вина условно не вызывает сильный эффект, но три подряд бокала - почти гарантированно вызовут сильное обострение псориаза.

Замыкаем модель

Зависимость IL-17 от алкогольной нагрузки, можно подставить обратно в уравнение для стадии b(t), чтобы замкнуть всю систему. Напомню, b(t) - это активно делящиеся клетки, и именно их избыток приводит к разрастанию кожи. Раньше я писал:

-6

Теперь, вместо IL17(t) подставим зависимость от алкоголя:

-7

И вот это, уже полноценная модель, которая описывает как внутренние процессы:

  • рост клеток
  • так и внешнее воздействие (алкоголь)

Она показывает, что алкоголь не просто "усугубляет воспаление", а реально встраивается в регуляторный механизм кожи, влияя на ключевой сигнал IL-17, который, в свою очередь, разгоняет деление клеток. Именно в такой форме можно теперь исследовать, при каких значениях переменных и длительности приема алкоголя, процесс уходит из-под контроля.

Такая модель помогает задуматься, где проходит граница между безвредной дозой и тем уровнем, за которым запускается сам воспалительный механизм.

-8