Найти в Дзене

Испанские ученые нашли альтернативу пропана

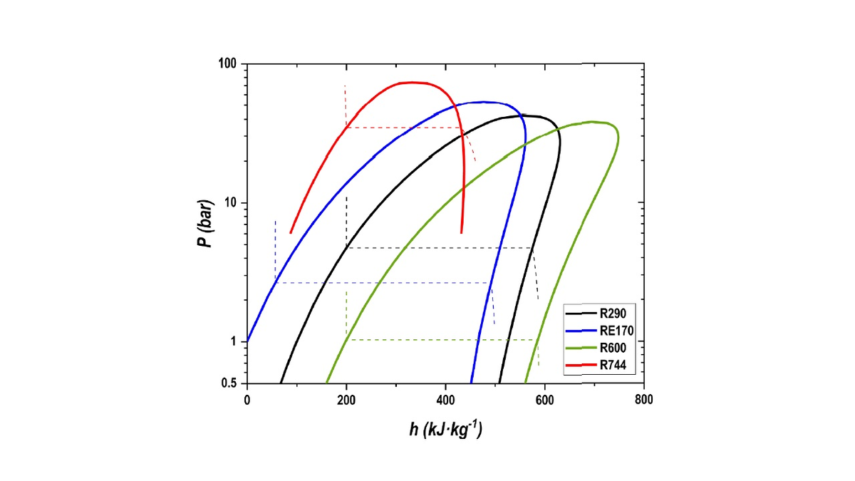
Ученые из Университета Жауме в Испании провели исследование, оценивающее диметиловый эфир (RE170) и его тройные смеси с CO2 (R744) и бутаном (R600) как потенциальные заменители пропана (R290) в системах охлаждения и тепловых насосов.
Исследование включало как теоретическое моделирование, так и лабораторные эксперименты. Используя термодинамический анализ с Refprop v.10, команда определила перспективные составы хладагента. Затем они были испытаны в одноступенчатом цикле сжатия пара с компрессором с переменной скоростью.
Результаты показали, что чистый RE170 и выбранные смеси достигли более высокой энергоэффективности, чем R290, при этом лучшие конфигурации улучшили коэффициент полезного действия (КПД) до 29,8% для охлаждения и 17,99% для использования теплового насоса. Однако все альтернативы имели более низкую охлаждающую и нагревательную способность по сравнению с R290, что означает, что они не подходят в качестве прямой замены без модификации системы. Подробнее на нашем сайте

Ученые из Университета Жауме в Испании провели исследование, оценивающее диметиловый эфир (RE170) и его тройные смеси с CO2 (R744) и бутаном (R600) как потенциальные заменители пропана (R290) в системах охлаждения и тепловых насосов.

Исследование включало как теоретическое моделирование, так и лабораторные эксперименты. Используя термодинамический анализ с Refprop v.10, команда определила перспективные составы хладагента. Затем они были испытаны в одноступенчатом цикле сжатия пара с компрессором с переменной скоростью.

Результаты показали, что чистый RE170 и выбранные смеси достигли более высокой энергоэффективности, чем R290, при этом лучшие конфигурации улучшили коэффициент полезного действия (КПД) до 29,8% для охлаждения и 17,99% для использования теплового насоса. Однако все альтернативы имели более низкую охлаждающую и нагревательную способность по сравнению с R290, что означает, что они не подходят в качестве прямой замены без модификации системы.

Подробнее на нашем сайте