Добавить в корзинуПозвонить
Найти в Дзене

📌Посмотри, освежи память перед ЭКЗАМЕНОМ

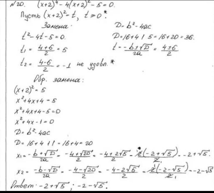
📌Посмотри, освежи память перед ЭКЗАМЕНОМ‼ Привет! 👋  Сегодня поговорим о второй части ОГЭ и о том, какое оформление работы может быть засчитано за 2 балла. 20 ЗАДАНИЕ Ставь лайк ❤️, если было интересно.

📌Посмотри, освежи память перед ЭКЗАМЕНОМ‼

Привет! 👋 

Сегодня поговорим о второй части ОГЭ и о том, какое оформление работы может быть засчитано за 2 балла.

20 ЗАДАНИЕ

Ставь лайк ❤️, если было интересно.

-2
-3
-4
-5
-6
-7
-8
-9
-10