Добавить в корзину
Позвонить
Найти в Дзене
Войти
математика с Лизой
135 подписчиков
Подписаться
РЕАЛЬНЫЙ ВАРИАНТ МАТЕМАТИКА ПРОФИЛЬ 26.05.2026
26 мая 2025
26 мая 2025
211
~1 мин
...
Читать далее
Оглавление
Еще больше информации в канале: https://t.me/math_li_bu
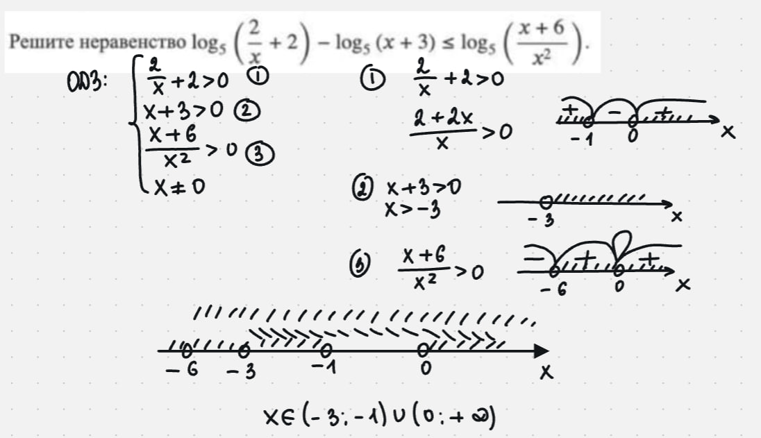
Задание 13
Задание 15
Еще больше информации в канале:
https://t.me/math_li_bu
Задание 13
Задание 15
Подготовка к ЕГЭ
128,7 тыс интересуются
Следить за темой
1
4115969453.794.1778400462774.99614