Найти в Дзене
Pixel & Code

RTX 5060: Народный чемпион или провал года? Разбираем скандальный запуск Nvidia

Казалось бы, вот он, билет в мир современного гейминга по адекватной цене! Но, как это часто бывает с громкими релизами, запуск получился... скандальным. Мне так хотелось просто сесть и протестировать для вас новую видеокарту, погонять ее в свежих хитах и вынести честный вердикт. Но Nvidia, кажется, сделала всё, чтобы этого не случилось. Слухи о подтасованных обзорах, давление на прессу с целью выпятить технологию Multi Frame Generation (MFG) — всё это создало вокруг RTX 5060 невероятно токсичную ауру. Словно компания сама не верит в свой продукт. Но мы здесь, чтобы отделить мух от котлет. Я достал эту карту, провел с ней несколько бессонных ночей и готов рассказать тебе всю правду. Так что же это — скрытый бриллиант или очередное разочарование? Давай разбираться. Если абстрагироваться от всей этой PR-мишуры, то сама по себе видеокарта RTX 5060 — это вполне себе крепкий середняк. Особенно если твоя цель — комфортный гейминг в 1080p. На чисто аппаратном уровне это не провал. Это адекват
Оглавление

Казалось бы, вот он, билет в мир современного гейминга по адекватной цене! Но, как это часто бывает с громкими релизами, запуск получился... скандальным.

Мне так хотелось просто сесть и протестировать для вас новую видеокарту, погонять ее в свежих хитах и вынести честный вердикт. Но Nvidia, кажется, сделала всё, чтобы этого не случилось. Слухи о подтасованных обзорах, давление на прессу с целью выпятить технологию Multi Frame Generation (MFG) — всё это создало вокруг RTX 5060 невероятно токсичную ауру. Словно компания сама не верит в свой продукт.

Но мы здесь, чтобы отделить мух от котлет. Я достал эту карту, провел с ней несколько бессонных ночей и готов рассказать тебе всю правду. Так что же это — скрытый бриллиант или очередное разочарование? Давай разбираться.

Часть 1: Голое железо. Что может сама карта?

Если абстрагироваться от всей этой PR-мишуры, то сама по себе видеокарта RTX 5060 — это вполне себе крепкий середняк. Особенно если твоя цель — комфортный гейминг в 1080p. На чисто аппаратном уровне это не провал. Это адекватное, разумное предложение.

Более того, это самый доступный способ получить полный доступ к новейшей технологии DLSS 4. Модель, которая была у меня на тесте, Zotac GeForce RTX 5060 Solo, продается по рекомендованной цене в $299 / £270. По меркам 2025 года это, прямо скажем, подарок, особенно на фоне уже подорожавших RTX 5060 Ti. Так в чем же подвох? О, подвох есть, и имя ему — драйверы.

Часть 2: Катастрофа по имени «Драйвер»

А вот теперь, друзья, начинается настоящий хоррор. И дело не в том, что Nvidia зажала драйверы для прессы. Проблема в том, что публичный драйвер Game Ready 576.52 — это тихий ужас. Он превращает игровой процесс в русскую рулетку.

Смотри сам, с чем я столкнулся в своих тестовых играх:

  • Horizon Forbidden West и Dragon Age: The Veilguard: Начали страдать от дичайших, необъяснимых просадок FPS, которых на других картах и близко не было.
  • Metro Exodus: Просто вылетала на рабочий стол при запуске. Конец теста.
  • F1 24: Показала шокирующий результат — с хваленой генерацией кадров DLSS игра работала ХУЖЕ, чем без нее!

И это — лишь малая часть проблем. Даже если железо RTX 5060 спроектировано отлично (а компактная Zotac с ее пиковой температурой в 68°C это подтверждает), какой в этом толк, если программное обеспечение ломает тебе все игры?

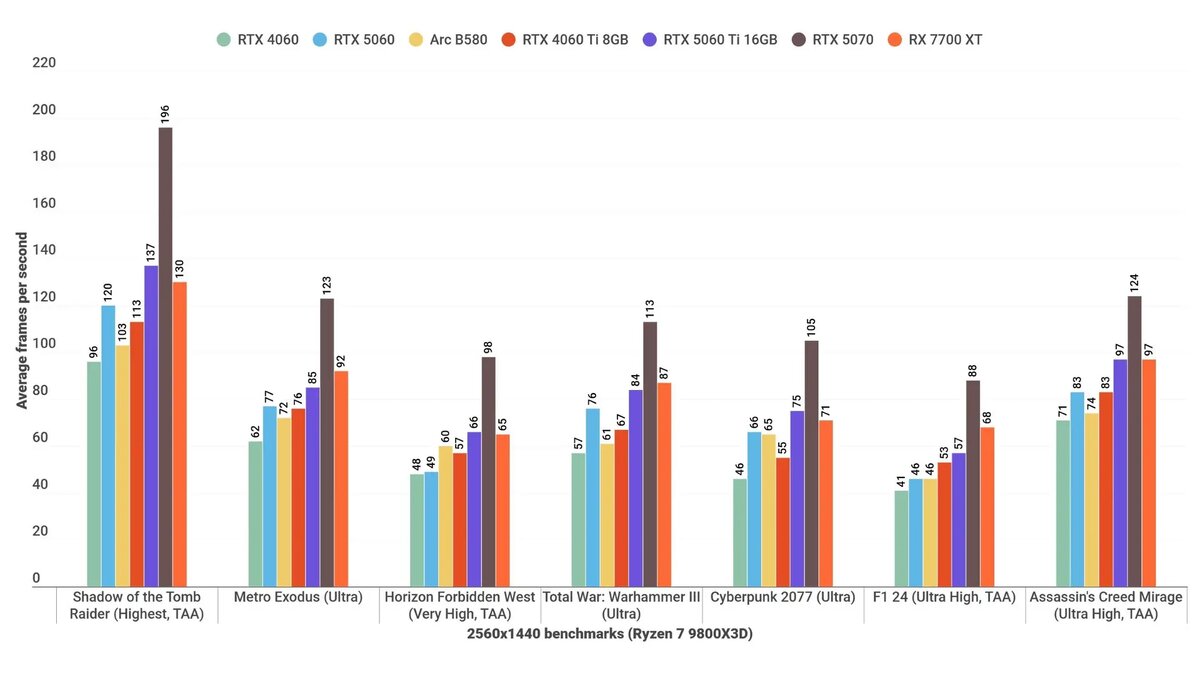
Часть 3: Тесты в бою! 1440p против 1080p

Разрешение 1440p – Сразу нет

Zotac Gaming GeForce RTX 5060
Zotac Gaming GeForce RTX 5060

Давай будем честны: эта карта не для Quad HD. Да, в некоторых играх она чуть быстрее RTX 4060, но картина в целом удручающая.

  • В Horizon Forbidden West она умудрилась отстать от более дешевой Intel Arc B580.
  • В Cyberpunk 2077 и F1 24 — лишь ничья с той же картой от Intel.
  • 8 ГБ видеопамяти для 1440p уже откровенно мало, что приводит к неприятным подергиваниям в таких проектах, как Forbidden West.
  • Трассировка путей (Path Tracing)? Забудь. Даже с DLSS в режиме «Качество» ни в Cyberpunk 2077, ни в Alan Wake II я не увидел заветных 30 FPS.
Zotac Gaming GeForce RTX 5060
Zotac Gaming GeForce RTX 5060

Использовать MFG для «спасения» ситуации — плохая идея. Это как приделать к ржавой тачке спойлер от Ferrari. Да, под горку она поедет быстрее, но ощущения будут, мягко говоря, не очень. Задержка ввода становится невыносимой, а изображение — мыльным.

Разрешение 1080p – А вот тут интересно!

Совсем другое дело — старое доброе Full HD! Здесь карта чувствует себя как рыба в воде.

Zotac Gaming GeForce RTX 5060
Zotac Gaming GeForce RTX 5060
  • Значительный прирост по сравнению с RTX 4060 в таких играх, как Metro Exodus и Cyberpunk 2077.
  • Отличная производительность с трассировкой лучей: в Metro Exodus с RT Ultra карта выдала стабильные 77 FPS против 62 FPS у RTX 4060.
  • Свежий хит Doom: The Dark Ages с постоянным рейтрейсингом на «кошмарных» настройках показал плавные 73 FPS.
  • Карта практически догнала старшую RTX 5060 Ti 16GB в Metro и Cyberpunk.
Zotac Gaming GeForce RTX 5060
Zotac Gaming GeForce RTX 5060

Да, она не будет стабильно выдавать 165 FPS на ультра-настройках в каждом проекте, но за свою цену — это более чем достойный результат. Для 1080p-гейминга ее 8 ГБ видеопамяти пока хватает.

Вердикт «Pixel & Code»

Итак, что мы имеем в сухом остатке? Nvidia GeForce RTX 5060 — это трагическая история о великолепном потенциале, убитом ужасной программной реализацией.

Плюсы:

  • Отличная производительность для 1080p.
  • Очень привлекательная цена ($299).
  • Хороший апгрейд по сравнению с RTX 4060.
  • Энергоэффективность и низкие температуры (на примере модели Zotac).
  • Самый дешевый вход в экосистему DLSS 4.

Минусы:

  • ДРАЙВЕРЫ! Они нестабильны, вызывают вылеты, баги и падение производительности.
  • Абсолютно не подходит для 1440p.
  • Трассировка путей остается за гранью возможного.
  • Скандальный фон запуска подрывает доверие к Nvidia.

Финальный вердикт: На данный момент я не могу с чистой совестью рекомендовать RTX 5060 к покупке. Это как купить мощный спорткар с пробитыми колесами. Да, двигатель у него что надо, но далеко ты на нем не уедешь. Nvidia сама выстрелила себе в ногу, выпустив на рынок потенциальный народный хит с программным обеспечением, которое ломает игры.

А что думаешь ты? Готов рискнуть ради отличной 1080p-производительности в надежде, что драйверы скоро исправят? Или лучше подождать и посмотреть, чем ответит конкурент?

Обязательно делись своим мнением в комментариях!

Другие статьи: