Найти в Дзене

Решение 23 задания реального огэ по химии 2025

Дальний восток. Для проведения эксперимента выданы склянки Nº°1 и Nº 2 с растворами фосфата натрия и сульфата алюминия, а также три реактива, соляная кислота, растворы хлорида лития и нитрата бария. Начнем с вещества из склянки номер 1: Для катионов натрия нет анионов, которые бы могли давать признаки реакции, значит будем искать по кислотной составляющей. Для фосфат иона одной из реакций имеющий признак, будет реакция с осаждением фосфата лития -белого цвета. Для вещества под номером 2 стандартной качественной реакцией на сульфат ион является реакция с катионами бария- белый творожистый осадок. При заполнение таблицы важно обратить внимание как выбранные реагенты вступают в реакцию со вторым веществом! Нитрат бария дает признак с двумя веществами. Осадки будут немного отличаться по структуре , но и сульфат бария и фосфат бария белого цвета, что мы и должны записать в таблицу.

Дальний восток.

Для проведения эксперимента выданы склянки Nº°1 и Nº 2 с растворами фосфата натрия и сульфата алюминия, а также три реактива, соляная кислота, растворы хлорида лития и нитрата бария.

  1. только из указанных в перечне трех реактивов выберите дла, которые необходимы для определения каждого вещества, находящегося в склянках
  2. составьте молекулярное, полное и сокращенное ионные уравнения реакции, которую планирусте провести для определения вещества изсклики N° 1:
  3. составьте молекулярнее, полное и сокращенное ионные уравнении реакции, которую планирусте провести для определения вещества из склянки Nº 2
  4. для оформления хода эксперимента используй те предложенную ниже таблицу.

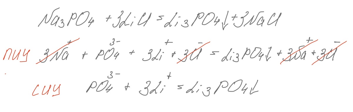
Начнем с вещества из склянки номер 1:

Для катионов натрия нет анионов, которые бы могли давать признаки реакции, значит будем искать по кислотной составляющей. Для фосфат иона одной из реакций имеющий признак, будет реакция с осаждением фосфата лития -белого цвета.

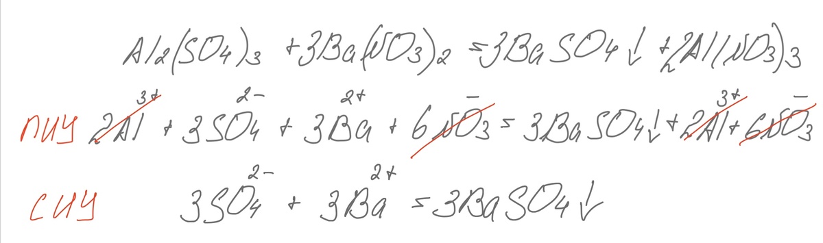
Для вещества под номером 2 стандартной качественной реакцией на сульфат ион является реакция с катионами бария- белый творожистый осадок.

-2

При заполнение таблицы важно обратить внимание как выбранные реагенты вступают в реакцию со вторым веществом!

-3

Нитрат бария дает признак с двумя веществами. Осадки будут немного отличаться по структуре , но и сульфат бария и фосфат бария белого цвета, что мы и должны записать в таблицу.