Найти в Дзене

Хитрая советская задача котрую не могут решить школьники?

А что тут сложного?! Видно что это квадратное уравнение которое можно расписать так Превратив с помощью подставы в виде переменной t в простое квадратное уравнение придем к решению относительно t, что в результате дает два подобных уравнения которые легко решаются в рамках школьной программы. Выбирая только значения удовлетворяющие нашим условиям приходим к такому результату Решим двумя способами вот такое выражение СПОСОБ 1 СПОСОБ 2 Заменив 5 на t , мы решаем это уравнение относительно просто И да, не каждый школьник осилит такое задание особенно в современных реалиях когда достаточно сфотографировать задание на смартфон и ИИ выдаст готовое решение с правильными ответами за считанные секунды.
Хитрая советская задача
Хитрая советская задача

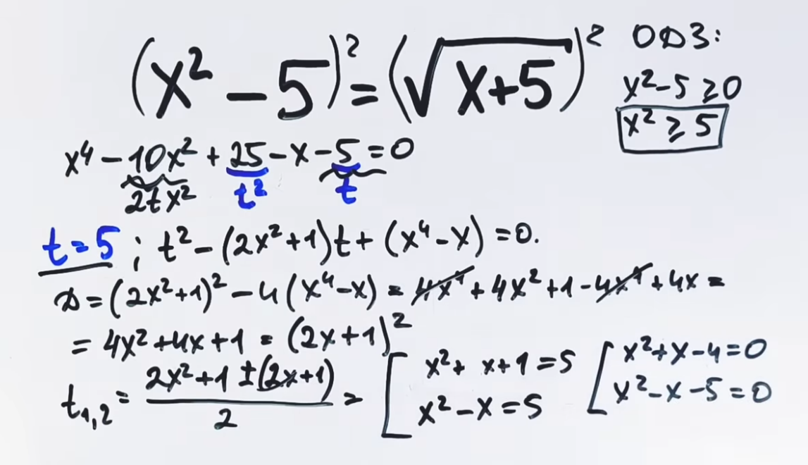
А что тут сложного?! Видно что это квадратное уравнение которое можно расписать так

-2

Превратив с помощью подставы в виде переменной t в простое квадратное уравнение придем к решению относительно t, что в результате дает два подобных уравнения которые легко решаются в рамках школьной программы.

-3

Выбирая только значения удовлетворяющие нашим условиям приходим к такому результату

-4

Аналогичным образом решаются подобные уравнения немого другого вида

Решим двумя способами вот такое выражение

СПОСОБ 1

-5
-6
-7

СПОСОБ 2

-8

Заменив 5 на t , мы решаем это уравнение относительно просто

-9

И да, не каждый школьник осилит такое задание особенно в современных реалиях когда достаточно сфотографировать задание на смартфон и ИИ выдаст готовое решение с правильными ответами за считанные секунды.

-10