Добавить в корзинуПозвонить
Найти в Дзене
Физика в заметках

#Заметка10. Направление напряженности электростатического поля точечного заряда.

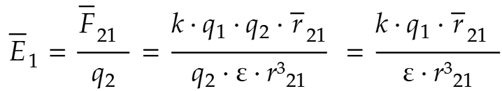
Электрические заряды действуют друг на друга опосредованно, с помощью электрического поля. Каждый заряд создает свое электрическое поле. Помещая пробный заряд q₂ в поле другого заряда q₁, мы можем оценить воздействие этого поля на заряд q₂. Поле заряда q₁ будет действовать на заряд q₂ с силой некоторой величины F̅₂₁, которая описывается законом Кулона. Отношение действующей на пробный заряд q₂ силы Кулона F̅₂₁ к величине этого заряда называется напряженностью. E̅₁ = F̅₂₁ /q₂ . В заметке 9 можно более подробно ознакомиться с определением напряженности. А сейчас поговорим о направлении напряженности поля точечного заряда. Вектор напряженности E̅₁ в произвольной точке поля, например, в точке расположения пробного заряда q₂ направлен вдоль прямой, соединяющей заряды q₂ и q₁. Запишем выражение для напряженности поля точечного заряда в векторной форме. Для этого воспользуемся определением напряженности и законом Кулона в векторной форме. Итак, где: r̄₂₁ - вектор указывающий на заряд

Электрические заряды действуют друг на друга опосредованно, с помощью электрического поля. Каждый заряд создает свое электрическое поле. Помещая пробный заряд q₂ в поле другого заряда q₁, мы можем оценить воздействие этого поля на заряд q₂. Поле заряда q₁ будет действовать на заряд q₂ с силой некоторой величины F̅₂₁, которая описывается законом Кулона.

Отношение действующей на пробный заряд q₂ силы Кулона F̅₂₁ к величине этого заряда называется напряженностью.

E̅₁ = F̅₂₁ /q₂ .

В заметке 9 можно более подробно ознакомиться с определением напряженности.

А сейчас поговорим о направлении напряженности поля точечного заряда.

Вектор напряженности E̅₁ в произвольной точке поля, например, в точке расположения пробного заряда q₂ направлен вдоль прямой, соединяющей заряды q₂ и q₁. Запишем выражение для напряженности поля точечного заряда в векторной форме. Для этого воспользуемся определением напряженности и законом Кулона в векторной форме.

Итак,

где:

r̄₂₁ - вектор указывающий на заряд  q₂ и выходящий из заряда q₁ (точку расположения q₁ принимаем за начало координат).

Если заряд  q₁>0, тогда, множитель перед вектором   r̄₂₁ оказывается положительным (поскольку все остальные величины: k, ε, r₂₁ положительны). Значит, вектор напряженности E̅₁ сонаправлен с вектором r̄₂₁.

Т.о.,  вектор E̅₁ выходит из заряда q₁
Т.о., вектор E̅₁ выходит из заряда q₁

Если заряд  q₁<0, тогда, множитель перед вектором  r̄₂₁ оказывается отрицательным (поскольку все остальные величины: k, ε, r ₂₁ положительны). Значит, вектор напряженности E̅₁ направлен против вектора r̄₂₁.

Т.о.,  вектор E̅₁ входит в заряд q ₁
Т.о., вектор E̅₁ входит в заряд q ₁

На примере положительных зарядов рассмотрим понятие силовых линий (или линий напряженности).

Для положительных зарядов напряженность поля увеличивается при приближении к заряду,  E̅~1/r² . Таким образом, в точках, расположенных на разных удаленностях от заряда, вектор E̅ будет иметь разную длину (чем ближе к заряду, тем больше длина).

Конечно, можно изображать множества векторов разных длин направленных вдоль радиуса, соответствующих разным удаленностям от заряда. Но, на практике намного нагляднее вместо множества векторов изображать непрерывную силовую линию. (Особенно, рассматривая поля более сложной конфигурации, чем поле точечного положительного заряда)

Силовая линия - линия, касательные к которой в каждой точке совпадают с направлением вектора E̅. Силовые линии электростатического поля выходят из положительных зарядов и входят в отрицательные.

-4

Для положительного точечного заряда силовые линии - это прямые, выходящие из заряда во все стороны; множества векторов напряженности (соответствующие множествам точек различной удаленности от заряда) в данном случае, направлены вдоль силовых линий.

#ФизикаПоПорядку #Электростатика #ЗаметкиРепетитора #ЕГЭ #ФИЗИКА