Найти в Дзене
N + 1

Российские физики увидели фотоноподобное событие с энергией около 300 тераэлектронвольт

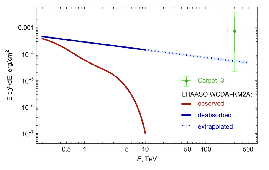
Физики из Института ядерных исследований РАН, работающие с данными детектора Carpet-3, зарегистрировали редкое событие, вызванное, вероятно, одиночным фотоном с энергией около 300 тераэлектронвольт. Его направление и время прихода совпали с самым ярким когда-либо зарегистрированным гамма-всплеском GRB 221009A. Работа опубликована в Physical Review D. Всплеск GRB 221009A, вспыхнувший 9 октября 2022 года, поразил астрономов сразу: яркость в гамма-диапазоне побила рекорды, а поток частиц оказался настолько мощным, что даже возмутил верхнюю ионосферу Земли. Заинтересовались им и физики, изучающие космические лучи сверхвысоких энергий. Предполагалось, что во время таких событий могут рождаться фотоны с энергиями в сотни тераэлектронвольт, однако они должны эффективно поглощаться на своем пути за счет рождения электрон-позитронных пар при взаимодействии с фоновым космическим излучением, поэтому фотоноподобные события с энергиями более 100 тераэлектронвольт крайне редкие и представляют большо
  V. S. Romanenko et al. / Physics of Particles and Nuclei, 2025
V. S. Romanenko et al. / Physics of Particles and Nuclei, 2025

Физики из Института ядерных исследований РАН, работающие с данными детектора Carpet-3, зарегистрировали редкое событие, вызванное, вероятно, одиночным фотоном с энергией около 300 тераэлектронвольт. Его направление и время прихода совпали с самым ярким когда-либо зарегистрированным гамма-всплеском GRB 221009A. Работа опубликована в Physical Review D.

Всплеск GRB 221009A, вспыхнувший 9 октября 2022 года, поразил астрономов сразу: яркость в гамма-диапазоне побила рекорды, а поток частиц оказался настолько мощным, что даже возмутил верхнюю ионосферу Земли. Заинтересовались им и физики, изучающие космические лучи сверхвысоких энергий. Предполагалось, что во время таких событий могут рождаться фотоны с энергиями в сотни тераэлектронвольт, однако они должны эффективно поглощаться на своем пути за счет рождения электрон-позитронных пар при взаимодействии с фоновым космическим излучением, поэтому фотоноподобные события с энергиями более 100 тераэлектронвольт крайне редкие и представляют большой интерес для ученых.

Физики из эксперимента Carpet-3 под руководством Никиты Позднухова (Nikita Pozdnukhov) из Института ядерных исследований РАН обнаружили фотоноподобное событие с энергией около 300 тераэлектронвольт. Для этого они использовали одноименный детектор, расположенный на Северном Кавказе, который состоит из центрального массива из 400 детекторов на основе жидкого сцинтиллятора, четырех внешних станций по 18 детекторов в каждой и подземного мюонного телескопа, состоящего из 410 детекторов на основе пластикового сцинтиллятора. Carpet-3 предназначен для регистрации частицы широких атмосферных ливней, возникающих при попадании высокоэнергичных космических частиц в атмосферу. Событие, которое обнаружили ученые, произошло через 4500 секунд после начала GRB 221009A, при этом среди 36 тысяч зарегистрированных частиц ливня оказалось крайне мало мюонов. Это нетипично для ливней от протонов и ядер — но соответствует картине, ожидаемой от фотонов.

Чтобы проверить, насколько такой ливень соответствует ожидаемому от фотона, исследователи провели моделирование и обучили нейросеть отличать фотонные события от обычных. Согласно этому анализу, вероятность, что зафиксированное событие было вызвано не фотоном — всего 0,03 процента. А вероятность того, что оно произошло вблизи GRB случайно — менее одного процента. Таким образом, по словам ученых, это — самый высокоэнергичный фотон, когда-либо зарегистрированный в связи с гамма-всплеском.

Ранее мы рассказывали о наблюдениях GRB 221009A детектором LHAASO, с помощью которого удалось ограничить энергетическую скорость света в вакууме.