Добавить в корзинуПозвонить
Найти в Дзене
Питоньи Будни

Руководство по весу и росту королевского питона

У вас есть домашний королевский питон, который остаётся на одном месте и с трудом ползает? Или у вашего питона заметен выступающий позвоночник и морщинистая кожа? Первая ситуация указывает на избыточный вес, а вторая — на недостаток массы или возможное заболевание. Оба состояния вредны для здоровья вашей змеи! Поэтому важно знать, сколько должен весить шаровидный питон на каждом этапе его жизни, чтобы он оставался здоровым. Колебания веса могут свидетельствовать о проблемах со здоровьем.
– внезапная потеря массы часто является признаком болезни.
– быстрый набор веса может быть следствием перекармливания или беременности. Вес зависит от возраста и длины змеи. В среднем здоровый взрослый питон весит примерно 1,4–2,3 кг и имеет длину от 90 до 150 см. Самцы, как правило, меньше самок. Хотя строгих норм не существует, знание средних показателей поможет определить, развивается ли ваш питомец правильно. На рост влияет множество факторов: здоровье, условия окружающей среды, рацион. Используй
Оглавление

У вас есть домашний королевский питон, который остаётся на одном месте и с трудом ползает? Или у вашего питона заметен выступающий позвоночник и морщинистая кожа? Первая ситуация указывает на избыточный вес, а вторая — на недостаток массы или возможное заболевание.

Оба состояния вредны для здоровья вашей змеи!

Поэтому важно знать, сколько должен весить шаровидный питон на каждом этапе его жизни, чтобы он оставался здоровым.

Почему вес важен?

Колебания веса могут свидетельствовать о проблемах со здоровьем.

– внезапная потеря массы часто является признаком болезни.

– быстрый набор веса может быть следствием перекармливания или беременности.

Сколько должен весить шаровидный питон?

Вес зависит от возраста и длины змеи. В среднем здоровый взрослый питон весит примерно 1,4–2,3 кг и имеет длину от 90 до 150 см. Самцы, как правило, меньше самок.

Хотя строгих норм не существует, знание средних показателей поможет определить, развивается ли ваш питомец правильно. На рост влияет множество факторов: здоровье, условия окружающей среды, рацион.

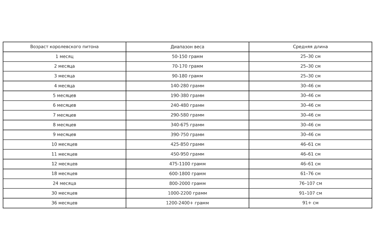
Таблица веса и длины по возрасту

Используйте таблицу ниже для отслеживания роста и веса вашего питона:

Это только ориентировочные значения. Индивидуальные колебания возможны, особенно из-за генетики, питания и условий содержания
Это только ориентировочные значения. Индивидуальные колебания возможны, особенно из-за генетики, питания и условий содержания

Самки обычно крупнее самцов, особенно после достижения половой зрелости.

Как взвесить шаровидного питона?

Для измерения веса вам понадобятся кухонные весы с пределом до 6000 граммов и пластиковый контейнер.

  1. Поместите контейнер на весы и нажмите кнопку «тарировать».
  2. Аккуратно поместите змею внутрь.
  3. Убедитесь, что она полностью находится в ёмкости и не держится за край.
  4. Если контейнер с крышкой, сначала закройте его, затем нажмите «тарировать».

Как понять, что у змеи здоровый вес?

Змея с нормальным весом:

  • Мускулистая, без жировых складок.
  • Позвоночник слегка виден, но не остро выражен.
  • Тело утолщено к центру и сужается к голове и хвосту.
  • Голова пропорциональна телу.

Признаки ожирения:

  • Сильно округлённое тело.
  • Маленькая голова по сравнению с туловищем.
  • Вялость, отсутствие активности.

Признаки недостаточного веса:

  • Вогнутый живот.
  • Сильно выступающий позвоночник.
  • Морщинистая кожа, особенно в районе шеи.
  • Голова кажется непропорционально крупной.

Если питон слишком худой

  1. Убедитесь, что он не болен — возможны паразиты или иные болезни.
  2. Обратитесь к ветеринару и сдайте анализ кала.
  3. После исключения заболеваний начните восстановление массы:
  • Кормите чаще (раз в 5–7 дней).
  • Используйте более мелкую добычу, чтобы не перегружать пищеварение.
  • Избегайте слишком больших порций или частого кормления — это может вызвать срыгивание и отказ от пищи.

Причины медленного роста или потери веса

Паразиты
Симптомы: потеря аппетита, диарея, изменение цвета кала.
Требуется анализ кала и дегельминтизация по рекомендации ветеринара.

Плохое питание
Следите за регулярностью и размером кормления. По достижении веса в 150 г переходите с мышей на молодых крыс.

Неподходящая температура
Температура ниже нормы тормозит пищеварение.

Нормы:

  • Тёплая зона - 31–33°C
  • Прохладная зона - 25–27°C
  • Не ниже 21°C

Заболевания
Общие симптомы: летаргия, отсутствие аппетита, проблемы с дыханием и линькой.
Требуется консультация специалиста по рептилиям.

Заключение

Поддержание здорового веса у королевского питона — это не просто про цифры. Это про наблюдение, заботу и умение вовремя заметить, что что-то идёт не так. Питоны не подадут голос и не будут жаловаться, но изменение веса, аппетита или поведения всегда подаёт сигнал внимательному владельцу.

Знание возрастных норм веса и длины помогает не теряться в догадках и оценивать развитие питомца объективно. Регулярные взвешивания, стабильная температура, подходящий рацион и минимизация стресса — всё это основа здоровья вашей змеи.

И если однажды вы окажетесь возле кухонных весов, держа в одной руке контейнер, а в другой — корягу, в которую вцепился ваш любимец, — помните: вы делаете всё правильно. Это и есть забота. Это и есть ответственность.

А значит, всё у вас — и у вашей змеи — будет хорошо!