Найти в Дзене

Сладкая и жирная пища может влиять на память и ориентацию в пространстве.

Сладкая и жирная пища может влиять на память и ориентацию в пространстве.

Consumption of a diet high in fat and sugar is associated with worse spatial navigation ability in a virtual environment. April 2025

Цель исследования 🎯
Изучить, как диета с высоким содержанием жиров и сахаров (HFHS) влияет на пространственную навигацию у людей.
Проверить гипотезу о том, что HFHS-диета ухудшает способность использовать геометрическую информацию (расстояние и направление) для ориентации в пространстве.

Методы 🔍
Участники: 55 студентов (средний возраст 20 лет), прошедших отбор из 120 из-за отсева (в основном из-за укачивания в VR).
Задача: Навигация в виртуальном лабиринте с запоминанием местоположения сундука с сокровищами.
Диета: Оценка потребления HFHS-продуктов за последний год с помощью опросника DFS (Dietary Fat and Sugar).
Контроль: Учитывались ИМТ и рабочая память (тест на обратный набор цифр).

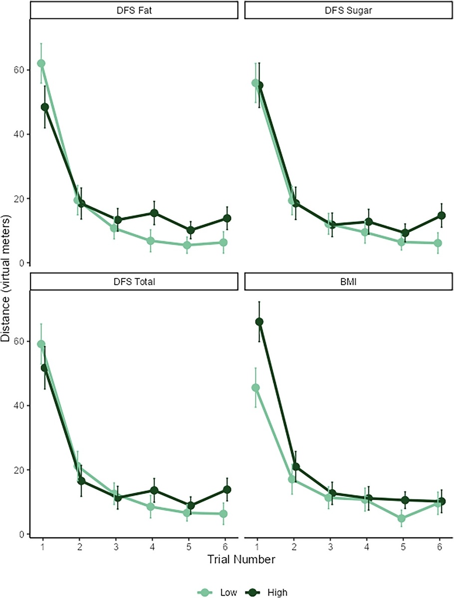
Результаты 📊
Участники с высоким потреблением HFHS-продуктов:
Медленнее обучались в виртуальном лабиринте (более пологие кривые обучения).
Хуже запоминали местоположение цели в тестовом испытании (аллоцентрическая навигация).
Связь сохранялась даже после учета ИМТ и рабочей памяти.

Результативность представлена ​​как расстояние от цели в конце каждого испытания. Меньшие баллы указывают на лучшую результативность. Баллы диеты являются медианным разделением. Планки погрешностей представляют одну стандартную ошибку среднего. Опросник по диетическим жирам и свободным сахарам DFS. Индекс массы тела BMI.

Выводы 🏁
HFHS-диета ухудшает пространственную навигацию, что согласуется с данными исследований на грызунах.
Эффект не связан с ожирением или общими когнитивными нарушениями, а скорее с дисфункцией гиппокампа.
Практическое значение: Подтверждает важность здорового питания для когнитивного здоровья.

Ключевые моменты 🔑
🚫 HFHS-диета → хуже пространственная память (даже у молодых людей!).
🧩 Нарушения аналогичны данным на грызунах: страдает гиппокамп.
⚖ Не вес, а сама диета иг
Сладкая и жирная пища может влиять на память и ориентацию в пространстве. Consumption of a diet high in fat and sugar is associated with worse spatial navigation ability in a virtual environment. April 2025 Цель исследования 🎯 Изучить, как диета с высоким содержанием жиров и сахаров (HFHS) влияет на пространственную навигацию у людей. Проверить гипотезу о том, что HFHS-диета ухудшает способность использовать геометрическую информацию (расстояние и направление) для ориентации в пространстве. Методы 🔍 Участники: 55 студентов (средний возраст 20 лет), прошедших отбор из 120 из-за отсева (в основном из-за укачивания в VR). Задача: Навигация в виртуальном лабиринте с запоминанием местоположения сундука с сокровищами. Диета: Оценка потребления HFHS-продуктов за последний год с помощью опросника DFS (Dietary Fat and Sugar). Контроль: Учитывались ИМТ и рабочая память (тест на обратный набор цифр). Результаты 📊 Участники с высоким потреблением HFHS-продуктов: Медленнее обучались в виртуальном лабиринте (более пологие кривые обучения). Хуже запоминали местоположение цели в тестовом испытании (аллоцентрическая навигация). Связь сохранялась даже после учета ИМТ и рабочей памяти. Результативность представлена ​​как расстояние от цели в конце каждого испытания. Меньшие баллы указывают на лучшую результативность. Баллы диеты являются медианным разделением. Планки погрешностей представляют одну стандартную ошибку среднего. Опросник по диетическим жирам и свободным сахарам DFS. Индекс массы тела BMI. Выводы 🏁 HFHS-диета ухудшает пространственную навигацию, что согласуется с данными исследований на грызунах. Эффект не связан с ожирением или общими когнитивными нарушениями, а скорее с дисфункцией гиппокампа. Практическое значение: Подтверждает важность здорового питания для когнитивного здоровья. Ключевые моменты 🔑 🚫 HFHS-диета → хуже пространственная память (даже у молодых людей!). 🧩 Нарушения аналогичны данным на грызунах: страдает гиппокамп. ⚖ Не вес, а сама диета иг