Найти в Дзене
Войти
Гараж ВсёПро100
594 подписчика
Подписаться
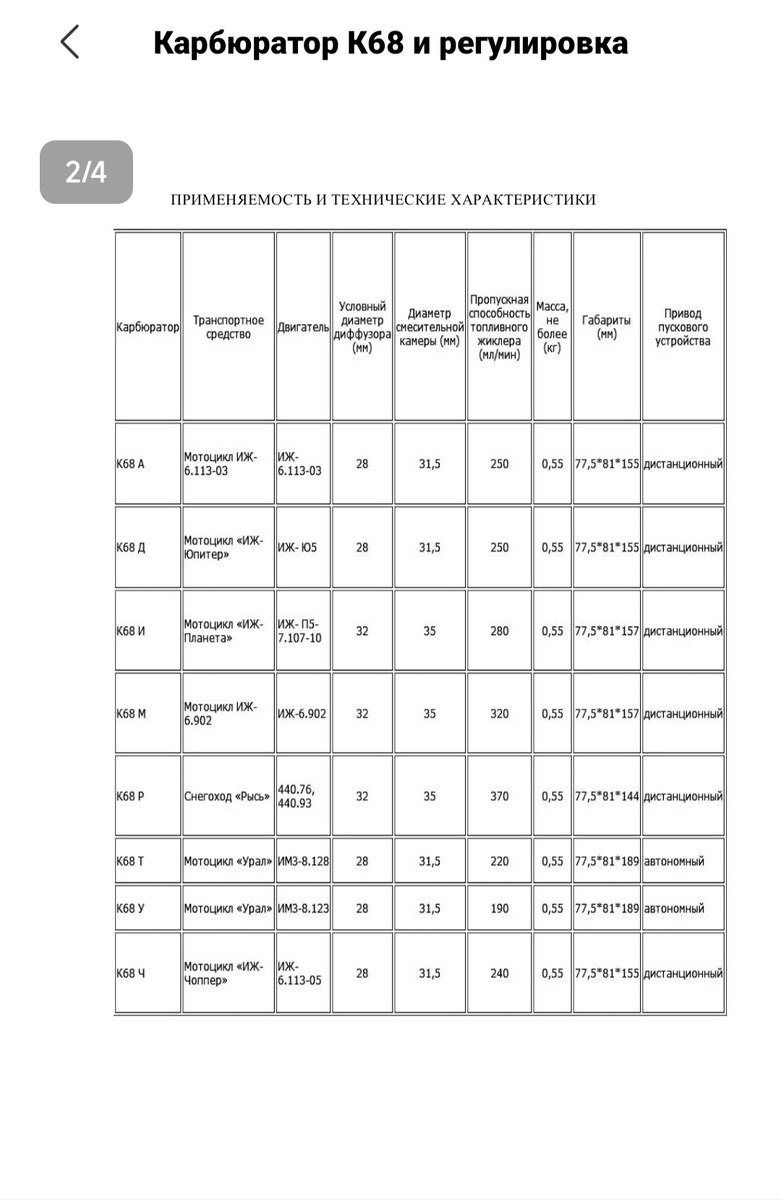
Основные характеристики и применяемость карбюратора к68 и его модификации.
8 мая 2025
8 мая 2025
1
~1 мин
#к68 #мотоциклы #советские
#к68 #мотоциклы #советские
...
Читать далее
#к68 #мотоциклы #советские