Добавить в корзинуПозвонить
Найти в Дзене
Записки мудреца

Единовременная выплата по ПДС: в чем подвох

Дорогие друзья и читатели моего блога ! Одна из моих первых статей про ПДС не оставила равнодушным многих читателей и в мой адрес поступило большое количество вопросов, которые можно свести к одному: как понять, получу ли я всю сумму сразу при назначении выплат по ПДС ? И в этой статье я детально разберу этот момент, а также сравню два крупнейших НПФ (Сбербанка и ВТБ) по этому аспекту. Помимо этого, я расскажу об одном серьезном подвохе, который приготовили нам НПФ, так что читайте до конца. Для тех, кто еще не очень знаком с ПДС, хочу в двух словах напомнить, что существует 3 варианта выплат по этой программе: В данном случае нас интересует первый вариант (единовременная выплата). Так вот, в соответствие с договором ПДС, вы можете получить всю накопленную сумму сразу при выполнении одного из двух условий: Если с первым условием все предельно понятно (через 15 лет с момента заключения договора ПДС вы имеете право получить единовременно всю накопленную сумму без каких-либо условий и о
Оглавление

Дорогие друзья и читатели моего блога !

Одна из моих первых статей про ПДС не оставила равнодушным многих читателей и в мой адрес поступило большое количество вопросов, которые можно свести к одному: как понять, получу ли я всю сумму сразу при назначении выплат по ПДС ? И в этой статье я детально разберу этот момент, а также сравню два крупнейших НПФ (Сбербанка и ВТБ) по этому аспекту. Помимо этого, я расскажу об одном серьезном подвохе, который приготовили нам НПФ, так что читайте до конца.

Выплаты по ПДС

Для тех, кто еще не очень знаком с ПДС, хочу в двух словах напомнить, что существует 3 варианта выплат по этой программе:

  1. Единовременная выплата. То есть вы сразу получаете всю сумму (ваши взносы+взносы государства+инвестиционный доход).
  2. Срочные периодические выплаты на срок от 5 лет со дня их назначения. То есть вся сумма на вашем счете (ваши взносы+взносы государства+инвестиционный доход) равными долями выплачивается в течение определенного срока (от 5 лет).
  3. Пожизненные периодические выплаты.

В данном случае нас интересует первый вариант (единовременная выплата). Так вот, в соответствие с договором ПДС, вы можете получить всю накопленную сумму сразу при выполнении одного из двух условий:

  1. Прошло 15 лет и более с момента заключения договора долгосрочных сбережений.
  2. Вы достигли возраста 60 лет (для мужчин) или 55 лет (для женщин) и размер пожизненных выплат в случае их назначения составил бы меньше 10% прожиточного минимума пенсионера в целом по России.

Если с первым условием все предельно понятно (через 15 лет с момента заключения договора ПДС вы имеете право получить единовременно всю накопленную сумму без каких-либо условий и ограничений), то второе условие вызывает кучу вопросов. Именно поэтому я разберу его более детально в следующем разделе.

Единовременная выплата при достижении возраста 60 лет (М) или 55 лет (Ж)

Итак, представим ситуацию: вы достигли возраста 60 лет (для мужчин) или 55 лет (для женщин), и к этому моменту на вашем счете ПДС накоплена определенная сумма. У вас появилось право на получение выплат по программе и вы хотите понять, можете ли вы рассчитывать на получение всей накопленной суммы сразу или нет. Для этого вам нужно выполнить следующие шаги:

  1. Определить размер пожизненных периодических выплат по ПДС (если они были бы назначены)
  2. Сравнить значение, полученное на первом шаге с 10% прожиточного минимума пенсионера. Если оно окажется меньше, то вы сможете получить всю сумму единовременно. В противном случае вы можете рассчитывать только на срочные периодические выплаты или на пожизненные выплаты. Хочу также обратить ваше внимание на то, что прожиточный минимум пенсионера меняется каждый год, поэтому за этим надо следить. В 2025 году он составил 15 250 рублей

Давайте посмотрим, как определить размер пожизненных периодических выплат (первый шаг). Он определяется по следующей формуле:

ДВ = ОССДС / Т , где

ДВ — размер пожизненных периодических выплат.

ОССДС — остаток средств на счете долгосрочных сбережений участника по состоянию на день, с которого ему назначаются периодические выплаты.

Т — коэффициент ожидаемого периода осуществления пожизненных периодических выплат по ПДС. И вот тут кроется два неприятных момента:

  1. Значение коэффициента зависит от пола и возраста участника ПДС
  2. У каждого НПФ свои значения коэффициентов.

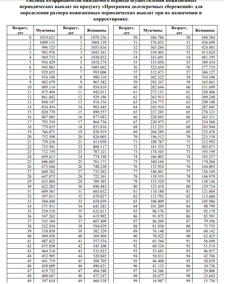
Например, вот как выглядит таблица коэффициентов Т НПФ Сбербанка:

Таблица коэффициентов ожидаемого периода осуществления пожизненных  периодических выплат по ПДС  НПФ Сбербанка
Таблица коэффициентов ожидаемого периода осуществления пожизненных периодических выплат по ПДС НПФ Сбербанка

А вот, к примеру, какие коэффициенты Т использует НПФ ВТБ:

Таблица коэффициентов ожидаемого периода осуществления пожизненных  периодических выплат по ПДС  НПФ ВТБ
Таблица коэффициентов ожидаемого периода осуществления пожизненных периодических выплат по ПДС НПФ ВТБ

Таким образом, резюмируя вышесказанное, для определения возможности получения единовременной выплаты по ПДС, вам нужно:

  1. Зайти на официальный сайт вашего НПФ и найти документ с таблицей коэффициентов ожидаемого периода осуществления пожизненнных периодических выплат по ПДС.
  2. Открыть документ с предыдущего шага и найти значение коэффициента Т, стоящего напротив вашего пола и возраста.
  3. Поделить сумму на вашем счете ПДС на значение коэффициента Т, которое вы нашли на предыдущем шаге. Если полученное частное от деления окажется меньше, чем 10% прожиточного минимума пенсионера, то вы можете рассчитывать на получение единовременной выплаты всей суммы.

Определение максимальной суммы на счете ПДС для получения единовременной выплаты при достижении возраста 60 лет (М) или 55 лет (Ж)

Ну хорошо, теперь вы уже знаете, как определить возможность получения единовременной выплаты по ПДС при достижении возраста 60 лет (для мужчин) или 55 лет (для женщин). Давайте переформулируем вопрос: как узнать, какая максимальная сумма может быть на моем счете ПДС, чтобы получить ее единовременно?

Для того, чтобы ответить на этот вопрос, еще раз глянем на формулу определения размера пожизненных периодических выплат:

ДВ = ОССДС / Т

из которой получаем ОССДС:

ОССДС = ДВ * Т

Соответственно, сумма на счете ПДС (ОССДС), подлежащая выплате единовременно, достигает максимального значения при достижении ДВ значения, равного 10 % прожиточного минимума пенсионера. Таким образом, максимальная сумма на вашем счете ПДС, подлежащая выплате единовременно, определяется следующим образом:

ОССДС_МАКС = 10_ПМП * Т, где

10_ПМП 10% прожиточного минимума пенсионера.

Т — коэффициент ожидаемого периода осуществления пожизненных периодических выплат по ПДС, который зависит от вашего пола, возраста, а также от НПФ, в котором вы оформили ПДС.

Из этой формулы можно сделать один важный вывод: чем больше коэффициент Т, тем больше максимальная сумма на вашем счете ПДС, которую можно получить единовременно. Соответственно, при прочих равных условиях имеет смысл выбирать тот НПФ для ПДС, который предлагает больший коэффициент Т для заданного пола и возраста.

Давайте для примера сравним коэффициенты Т НПФ Сбербанка и НПФ ВТБ, чтобы понять, кто из них лучше. Для удобства анализа и сравнения, я их объединил в одну эксель таблицу:

Таблица коэффициентов ожидаемого периода осуществления пожизненных  периодических выплат по ПДС  НПФ Сбербанка и НПФ ВТБ
Таблица коэффициентов ожидаемого периода осуществления пожизненных периодических выплат по ПДС НПФ Сбербанка и НПФ ВТБ

Что мы видим ? НПФ Сбербанка предоставляет лучшие (бОльшие) коэффициенты для мужчин до 87 лет и для женщин до 85 лет. Но затем, начиная с 88 лет для мужчин и 86 лет для женщин, коэффициенты НПФ ВТБ становятся более привлекательными.

Также вашему вниманию представляю таблицу максимальных сумм на счете ПДС для единовременной выплаты (ОССДС_МАКС) НПФ Сбербанка и НПФ ВТБ на основании значений коэффициентов Т , а также параметра 10_ПМП (10% прожиточного минимума пенсионера), равного 1525 рублей (за 2025 год):

Таблица максимальных сумм на счете ПДС для единовременной выплаты НПФ Сбербанка и НПФ ВТБ на 2025 год
Таблица максимальных сумм на счете ПДС для единовременной выплаты НПФ Сбербанка и НПФ ВТБ на 2025 год

Пользоваться этой таблицей очень просто: если в 2025 году вы планируете подать заявление на получение выплат по ПДС, то вы должны сравнить сумму на вашем счете с максимальной суммой напротив вашего пола и возраста в этой таблице. Если сумма на вашем счете ПДС меньше максимальной для вашего пола и возраста, тогда вы сможете ее получить единовременно. Если больше, тогда вам остается рассчитывать только на срочные периодические или пожизненные выплаты.

Большой подвох

И последнее, чем я хотел бы поделиться в этой статье, это своими мыслями относительно коэффициентов Т ожидаемого периода осуществления пожизненных периодических выплат по ПДС. Мало того, что они зависят от пола и возраста участника ПДС, так еще у каждого НПФ они свои. Но, пожалуй, самый главный подвох с этими коэффициентами состоит в том, что они не фиксированы. Другими словами, так как таблица коэффициентов Т является внутренним документом НПФ, а не частью договора ПДС, то с юридической точки зрения ничто не мешает НПФ менять значения коэффициентов в одностороннем порядке и с произвольной периодичностью. Это делает процесс определения возможности получения единовременной выплаты абсолютно непрозрачным и дает пространство для обмана со стороны НПФ. Я думаю, что фонды этим непременно воспользуются, если захотят уменьшить количество единовременных выплат участникам ПДС в определенный период времени. Для этой цели, НПФ просто уменьшат коэффициенты Т для определенной возрастной группы (или для всех) таким образом, чтобы нужный процент участников ПДС не попал в категорию тех, кому положены единовременные выплаты.

Лично я считаю, что такая непрозрачность расчетов коэффициентов Т делает ПДС гораздо менее привлекательным инвестиционным инструментом. Но, к сожалению, об этом неприятном нюансе знают немногие, а НПФ, по понятной причине, не спешат раскрывать эти карты.

Спасибо

Спасибо за просмотр. Если вам понравилась статья, то буду благодарен вам за лайк и подписку, тем самым вы вдохновите меня на написание нового, не менее интересного и полезного контента.

Если вас интересует тема долгосрочных инвестиций, то советую к прочтению мою подборку.

Если вам интересна тема инвестиций и трейдинга, то советую к прочтению мою подборку.

Если вам интересна тема обманов и разводов, то советую к прочтению мою подборку.

Если вам интересна тема банков и их разоблачений, то советую к прочтению мою подборку.

Если вам интересна тема недвижимости, то советую к прочтению мою подборку.