Найти в Дзене
ДУХ-РАА

Первый закон ДУХа

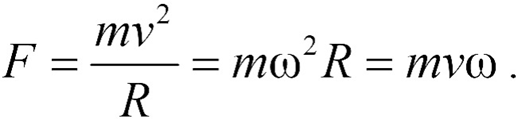
Формирование диска распределения масс иной системы в построении материи, будь то галактический диск, иль диск Солнечной системы, иль жидкая снежинка из циклонического диска. Структура сил во взаимодействии иной дисковой системы, где горизонт событий, соседствующий с вертикалью действия сил. Конструктив ЛА дискового типа, свое радиальное наполнение массами, где сила инерции от обращения этих масс, относительно центра диска, на ином его радиусе, = горизонт действия сил, должна соответствовать величине векторного пересечения проекции силы тяжения массы тела диска на радиусе на тело планеты. В том случае, когда в конструктив заложен жесткий корпус, всякий иной радиус сосредоточения масс, расположенный ближе к оси обращения диска обязан быть массивней предыдущего, потому как угловая скорость обращения жесткого диска на всех радиусах сосредоточения масс одинакова. Закон построения тела ЛА дискового типа, = закон в рисунке. Материя, не важно в котором измерении, на какой ступени мы ее рассмат

Формирование диска распределения масс иной системы в построении материи, будь то галактический диск, иль диск Солнечной системы, иль жидкая снежинка из циклонического диска. Структура сил во взаимодействии иной дисковой системы, где горизонт событий, соседствующий с вертикалью действия сил.

Конструктив ЛА дискового типа, свое радиальное наполнение массами, где сила инерции от обращения этих масс, относительно центра диска, на ином его радиусе, = горизонт действия сил, должна соответствовать величине векторного пересечения проекции силы тяжения массы тела диска на радиусе на тело планеты.

В том случае, когда в конструктив заложен жесткий корпус, всякий иной радиус сосредоточения масс, расположенный ближе к оси обращения диска обязан быть массивней предыдущего, потому как угловая скорость обращения жесткого диска на всех радиусах сосредоточения масс одинакова.

-2

Закон построения тела ЛА дискового типа, = закон в рисунке. Материя, не важно в котором измерении, на какой ступени мы ее рассматриваем, = множество ЛА дискового типа, = материя.

https://dzen.ru/id/64a3e5fb5e265b28f3467b4b

https://vk.com/@dux_raa-dux-raa

Алексей Рожков