Добавить в корзинуПозвонить
Найти в Дзене

Разбор реальной задачи 34 с ЕГЭ по химии

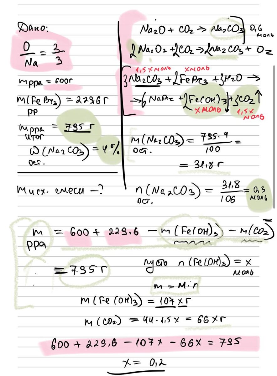
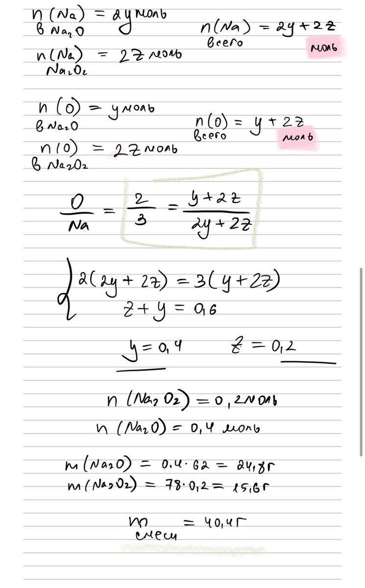
Условие задачи: В смеси оксида и пероксида натрия соотношение числа атомов кислорода к числу атомов натрия равно 2 : 3. Данную смесь нагрели в избытке углекислого газа. Полученное вещество растворили в воде и получили 600 г раствора. К этому раствору добавили 229,6 г раствора бромида железа (III). После завершения реакции масса раствора составила 795 г, а массовая доля карбоната натрия в нем составляла 4%. Вычислите массу исходной смеси оксида и пероксида натрия. В ответе запишите уравнения реакций, которые указаны в условии задачи, и приведите все необходимые вычисления (указывайте единицы измерения искомых физических величин).

Условие задачи:

В смеси оксида и пероксида натрия соотношение числа атомов кислорода к числу атомов натрия равно

2 : 3. Данную смесь нагрели в избытке углекислого газа. Полученное вещество растворили в воде и

получили 600 г раствора. К этому раствору добавили 229,6 г раствора бромида железа (III). После

завершения реакции масса раствора составила 795 г, а массовая доля карбоната натрия в нем составляла

4%. Вычислите массу исходной смеси оксида и пероксида натрия. В ответе запишите уравнения реакций,

которые указаны в условии задачи, и приведите все необходимые вычисления (указывайте единицы

измерения искомых физических величин).