Добавить в корзинуПозвонить
Найти в Дзене

ЕГЭ-2025 по физике. Задача 24 (17). Влажность воздуха

Полное условие задачи: Два сосуда объемами 20 л и 30 л, соединенные трубкой с краном, содержат влажный воздух при комнатной температуре. Относительная влажность в сосудах равна соответственно 30% и 40%. Если кран открыть, то какой будет относительная влажность воздуха в сосудах после установления теплового равновесия, считая температуру постоянной? Краткое условие задачи: Решение задачи: Обозначим давление насыщенных водяных паров p, тогда парциальные давления паров воды в сосудах: Из уравнения Менделеева  — Клапейрона выражаем количество водяных паров в сосудах: откуда откуда После открытия крана парциальное давление водяных паров будет: Тогда относительная влажность в сосудах после установления теплового равновесия: Ответ: 36 %.

Полное условие задачи:

Два сосуда объемами 20 л и 30 л, соединенные трубкой с краном, содержат влажный воздух при комнатной температуре. Относительная влажность в сосудах равна соответственно 30% и 40%. Если кран открыть, то какой будет относительная влажность воздуха в сосудах после установления теплового равновесия, считая температуру постоянной?

Краткое условие задачи:

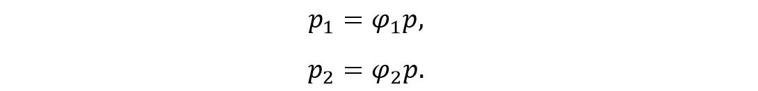
Решение задачи:

Обозначим давление насыщенных водяных паров p, тогда парциальные давления паров воды в сосудах:

-2

Из уравнения Менделеева  — Клапейрона выражаем количество водяных паров в сосудах:

-3

откуда

-4

откуда

-5

После открытия крана парциальное давление водяных паров будет:

-6

Тогда относительная влажность в сосудах после установления теплового равновесия:

-7
-8

Ответ: 36 %.

Прошу поддержать канал донатом. Ссылка для поддержки: dzen.ru/id/5d51a167a1b4f100adf9bad2?donate=true