Добавить в корзинуПозвонить
Найти в Дзене
SEOnews

Что такое видимость сайта в поисковых системах и как ее улучшить

Реклама. ООО «Клик.ру», ИНН:7743771327, ERID: 2VtzqwpAUq8 В условиях высокой конкуренции успешное продвижение зависит, в том числе, и от хорошей видимости сайта в поиске. Чем выше и чаще ваш ресурс появляется в поисковой выдаче по целевым запросам, тем больше пользователей его увидят и перейдут на него. В статье разберем, что такое видимость сайта, как она влияет на трафик и какие способы помогут ее улучшить. Что такое видимость сайта в поиске Видимость сайта в поисковых системах – это показатель, отражающий, насколько часто и на каких позициях страницы ресурса появляются в выдаче по ключевым запросам. Чем он выше, тем больше вероятность привлечь органический трафик и увеличить количество клиентов. Почему важно отслеживать видимость Видимость – один из индикаторов эффективности SEO-стратегии. Если показатель стабильно растет, значит стратегия продвижения работает, и сайт всё чаще появляется в поиске. Если видимость снижается, стоит провести аудит и скорректировать подход: проверить кон

Реклама. ООО «Клик.ру», ИНН:7743771327, ERID: 2VtzqwpAUq8

В условиях высокой конкуренции успешное продвижение зависит, в том числе, и от хорошей видимости сайта в поиске. Чем выше и чаще ваш ресурс появляется в поисковой выдаче по целевым запросам, тем больше пользователей его увидят и перейдут на него. В статье разберем, что такое видимость сайта, как она влияет на трафик и какие способы помогут ее улучшить.

Что такое видимость сайта в поиске

Видимость сайта в поисковых системах – это показатель, отражающий, насколько часто и на каких позициях страницы ресурса появляются в выдаче по ключевым запросам. Чем он выше, тем больше вероятность привлечь органический трафик и увеличить количество клиентов.

Почему важно отслеживать видимость

Видимость – один из индикаторов эффективности SEO-стратегии. Если показатель стабильно растет, значит стратегия продвижения работает, и сайт всё чаще появляется в поиске. Если видимость снижается, стоит провести аудит и скорректировать подход: проверить контент, техническую оптимизацию, внешние ссылки и другие факторы, о которых мы расскажем ниже.

Почему высокая видимость важна для бизнеса:

  • Рост целевого трафика. Высокие позиции в поиске по популярным запросам привлекают аудиторию, уже заинтересованную в продукте или услуге.
  • Повышение доверия. Пользователи чаще воспринимают сайты из топа выдачи как надежные и авторитетные.
  • Увеличение узнаваемости. Чем чаще ресурс появляется в поиске, тем лучше запоминается бренд.
  • Снижение затрат на рекламу. Органический трафик условно бесплатен, поэтому хорошая видимость снижает зависимость от платных каналов продвижения.

Как измеряется видимость сайта

Видимость сайта измеряется в процентах и зависит от двух показателей:

  • Частотность запросов, которые охватывает сайт. Посмотреть частотность в Яндексе можно в бесплатном сервисе Яндекс Вордстат. В Google используют встроенный в Google Ads сервис Keyword Planner.
  • Позиция сайта в выдаче по запросам. Проверить можно в Яндекс Вебмастере, Google Search Console, PromoPult, Пиксель Тулс, PR-CY и других сервисах, либо вручную, вбивая запросы в поиске (в режиме инкогнито).

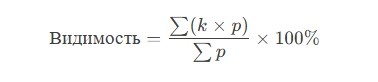
Для расчета видимости используется формула:

Где:

  • k – коэффициент видимости;
  • p – частотность запроса.

Коэффициент видимости зависит от позиции сайта по запросу. Чем она ниже, тем меньше коэффициент:

  • 1-3 места – коэффициент 1;
  • 4 – 0,85;
  • 5 – 0,6;
  • 6-7 – 0,5;
  • 8-9 – 0,3;
  • 10 – 0,2;
  • 11-15 – 0,1;
  • 16-20 – 0,05;
  • 21 и ниже – 0.

Пример расчета видимости сайта в поиске Яндекса

Для примера рассчитаем видимость сайта по двум ключам:

  • «Как продвигать интернет магазин», частотность – 299 запросов в месяц, сайт занимает вторую позицию, поэтому коэффициент равен единице.
  • «Seo продвижение интернет магазина», частотность – 642 запроса в месяц, сайт занимает пятую позицию, поэтому коэффициент равен 0,6.

Сначала рассчитаем сумму видимости по обоим запросам. Для этого частотность каждого (p) умножим на коэффициент (k), а затем суммируем полученные результаты:

-2
  • 299 × 1 = 299.
  • 642 × 0,6 = 385,2.
  • 299 + 385,2 = 684,2.

Сумма видимости = 684,2.

Теперь считаем общую частоту запросов: 299 + 642 = 941.

-3

Подставляем полученные значения в формулу и считаем итоговую видимость: 684.2 ÷ 941 × 100% = 72.74%

Значит видимость сайта по запросам составляет 72,74%.

Как проверить видимость сайта в поисковых системах

Когда ключей мало, их видимость можно посчитать вручную. Но если сайт занимает позиции по сотням и тысячам запросов, без автоматизированных инструментов корректно рассчитать видимость не получится. В этом случае помогут сервисы – Яндекс Вебмастер, Google Search Console и Promopult.

Яндекс Вебмастер

Инструмент отслеживает видимость сайта в Яндексе по конкретным запросам и страницам сайта. Для проверки добавьте сайт в Вебмастер и подтвердите права на него удобным способом.

-4

После этого вам откроется доступ к статистике. Чтобы посмотреть видимость сайта по ключам в поиске, выберите в меню «Эффективность» → «Мониторинг запросов».

-5

В статистике можно посмотреть динамику за последние 2 недели по количеству показов, кликов, CTR, позиции и частотности ключей. Совокупный анализ этих метрик покажет, как часто пользователи видят ваш сайт в результатах поиска.

Google Search Console

Инструмент показывает переходы на сайт из Google, а также основные ошибки в оптимизации. Чтобы посмотреть статистику, добавьте сайт в сервис и подтвердите права.

-6

Посмотреть видимость сайта можно в разделе «Эффективность» → «Результаты поиска». Здесь показано, сколько раз ссылки на сайт показывались в поиске по разным запросам и как часто посетители кликали по сниппету.

-7

Под графиком находится подробный отчет о переходах на сайт. Можно посмотреть место в выдаче по запросу, CTR, количество кликов и показов в поиске.

-8

PromoPult

В PromoPult можно посмотреть динамику продвижения и видимость по ключевым словам. Для этого зарегистрируйтесь и создайте новый проект. Выберите инструмент «Поисковое продвижение SEO».

-9

Укажите адрес, название сайта и регион продвижения. Если хотите, чтобы специалист PromoPult бесплатно настроил проект, поставьте соответствующую галочку ниже.

-10

Чтобы показатель поисковой видимости отображался на графиках статистики, подключите счетчик Яндекс Метрики к PromoPult. Предоставьте доступ в профиле проекта в блоке «Профессиональные настройки»:

-11

Когда проект настроен, перейдите в личный кабинет и нажмите «Управление SEO».

-12

Выберите блок «Статистика» → «Поисковая видимость».

-13

Сервис построит график с динамикой общей поисковой видимости по ключевым словам, по которым посетители из поиска переходили на сайт. Эти данные берутся из Яндекс Метрики.

В таблице под графиком можно посмотреть позиции и спрос по конкретным запросам в мобильном и десктопном поиске.

-14

Динамику видимости сайта в поиске за выбранный период можно посмотреть на дашборде «Результаты рекламы»:

-15

Динамика видимости за последние 30 дней отображается на графике в списке проектов:

-16

Чтобы протестировать возможности платформы и увеличить видимость сайта в поисковых системах за короткий срок, подключите бесплатный тест SEO на 2 недели. Предоплата не нужна. Специалисты PromoPult выполнят задачи по базовой оптимизации, разместят ссылки на трастовых сайтах, предоставят контент под информационные запросы. По результатам примете решение, продолжать ли продвижение дальше.

Как понять, что сайт теряет видимость

Главный признак снижения видимости сайта – падение органического трафика. Если сайт стал реже появляться в выдаче или опустился на худшие позиции, количество переходов из поиска снижается. Это можно отследить в системах аналитики – Google Analytics или Яндекс Метрике.

Еще один косвенный признак снижения видимости – падение продаж. Однако оно не всегда связано с уменьшением трафика из поиска. Причиной могут быть технические сбои на сайте, проблемы в работе колл-центра или другие факторы, не имеющие отношения к SEO. Чтобы выяснить, влияет ли снижение видимости на продажи, проверьте статистику посещаемости в системах аналитики и позиции сайта в поисковой выдаче.

Какие факторы влияют на видимость ресурса в выдаче и как улучшить показатель

Для улучшения видимости сайта нужна комплексная оптимизация сайта. В нее входит работа с контентом, подбор семантики, техническая оптимизация, улучшение внешних и внутренних факторов. Ниже дадим основные рекомендации по каждому из этих направлений.

В идеале нужно работать «по всем фронтам», чтобы добиться высоких результатов. Если такой возможности нет, сосредоточьтесь в первую очередь на слабых местах проекта. Определить их поможет аудит сайта.

Контент и семантическое ядро

Контент должен соответствовать тематике страницы и ожиданиям аудитории. Если пользователи задерживаются на сайте, читают материалы и выполняют целевые действия, поисковые системы воспринимают это как сигнал о его ценности. А это повышает шансы ресурса занять высокие позиции в выдаче.

Если материалы неинтересны, устарели или полностью скопированы, посетители быстро уйдут. Плохие поведенческие факторы – это сигнал для ПС, что страница не удовлетворяет запросу аудитории. Позиции такого ресурса будут падать.

Рекомендации для работы с семантикой

  • Добавляйте в ядро не только высокочастотные запросы, но и низкочастотные – узкие фразы с небольшим количеством показов, но высокой конверсией. Пример: «купить iPhone 16 в Москве с доставкой». По ним легче выйти в топ и получить целевой трафик. Бесплатные сервисы для сбора ключевых слов: Яндекс Вордстат, Google Trends, бесплатный подборщик семантики в PromoPult.
  • Анализируйте ключевые слова, по которым продвигаются конкуренты, и включайте подходящие в свое семантическое ядро. Сервисы для анализа: SEO модуль PromoPult, PR-CY, Keys.so, Arsenkin Tools, Пиксель тулс.
  • Для расширения ядра используйте парсеры поисковых подсказок и фраз ассоциаций. Они помогут найти дополнительные ключи, которые вы могли упустить при сборе основной семантики.
  • Кластеризуйте запросы. Группируйте ключевые слова по тематикам и создавайте отдельные посадочные страницы для каждой группы. Это повысит релевантность страниц и поможет избежать каннибализации ключей, когда разные страницы сайта начинают конкурировать между собой в выдаче по одинаковым запросам. Сервисы для кластеризации: PromoPult, Пиксель Тулс, Arsenkin Tools.

Для увеличения охвата аудитории используйте разные типы запросов:

  • Коммерческие («купить велосипед», «заказать SEO-продвижение») – ориентированы на готовность к покупке. Используйте их для товарных карточек, категорий и продающих страниц.
  • Информационные («как выбрать велосипед», «что такое SEO») – используются, когда пользователь ищет ответ на вопрос или какую-либо информацию. Коммерческие проекты используют такие запросы для привлечения дополнительного трафика в блог компании, а из блога перенаправляют пользователей на услуги или товары.
  • Геозапросы («купить велосипед в Москве», «SEO-продвижение СПб») – привлекают локальных клиентов. Включайте эти ключи в ядро, если у вас региональный бизнес.

Регулярно обновляйте семантическое ядро, так как запросы меняются со временем: одни теряют популярность, другие набирают. Проверяйте актуальность ключевых слов раз в 3–6 месяцев с помощью Google Trends и Яндекс Вордстат, удаляйте устаревшие и добавляйте новые.

Отдельно стоит сказать про сезонность и тренды – не забывайте учитывать их тоже. Пример: туфли на платформе попали в модные обзоры блогеров, и спрос на них резко повысился. В вашем магазине есть этот товар, и чтобы получить посетителей из поиска, вы добавляете релевантные ключевые слова в ядро и оптимизируете под них карточку товара.

Рекомендации для работы с контентом

  • Создайте блог с полезными материалами – это поможет привлечь трафик из органического поиска. Информационные запросы обычно проще продвигать, чем коммерческие, поэтому такой формат станет отличным инструментом для роста аудитории. Включайте в статьи ссылки на свои продукты, чтобы потенциальные клиенты могли легко перейти к покупке.
  • Используйте мультимедиа – изображения, видео, инфографику и схемы. Они делают контент более наглядным, удерживают внимание и повышают вовлеченность, что положительно влияет на поведенческие факторы. Видео и картинки также могут попасть в отдельные блоки выдачи Яндекса («Видео», «Картинки»).
-17
  • Оптимизируйте метатеги и заголовки – это повысит кликабельность в поисковой выдаче. Title и description должны содержать ключевые запросы и кратко, но привлекательно описывать содержание страницы, мотивируя пользователей кликнуть. Заголовки (H1-H6) помогают структурировать текст и делают его удобным для чтения.
  • Уделяйте внимание факторам E-E-A-T. ПС оценивают опыт (Experience), экспертизу (Expertise), авторитетность (Authoritativeness) и достоверность (Trustworthiness) контента. Указывайте авторов, добавляйте ссылки на проверенные источники – это повысит доверие к материалам.
  • Анализируйте интент запроса. Поисковые системы определяют, какой формат контента ожидает пользователь: обзор, руководство, список товаров и т. д. Перед созданием статьи изучите топ-10 по ключевому запросу. Например, если по запросу «лучший смартфон 2025» преобладают обзоры, то карточка товара не принесет трафика. А если по запросу «купить iPhone 16» в выдаче интернет-магазины, информационная статья не попадет в топ.

Техническое состояние сайта

К основным техническим параметрам, влияющим на видимость, относятся:

  • Скорость загрузки – если страницы сайта медленно открываются, показатель отказов будет увеличиваться, так как пользователи не готовы ждать долгой загрузки.
  • Адаптивность ресурса – доля мобильного трафика растет год от года, поэтому важно, чтобы сайт правильно отображался на всех устройствах, а не только на ПК. Если дизайн и верстка неадаптивные, поведенческие факторы будут ухудшаться.
  • SSL-сертификат (HTTPS) – обязательный стандарт безопасности. Если сайт работает без SSL (HTTP), браузер будет показывать, что соединение небезопасно, а ПС могут понизить ресурс в выдаче.
  • Ошибки в коде – серьезные ошибки привести к сбоям в работе сайта.
  • Карта сайта и файл robots.txt. Если они некорректно настроены или вообще отсутствуют, это приведет к неправильной индексации сайта. В поиск могут попасть дубли и служебные страницы, которые не нужны в выдаче.

Что сделать для увеличения видимости

Проверьте сайт на технические ошибки и устраните все недочеты.

  • Увеличьте скорость загрузки. Для оптимизации сжимайте изображения без потери качества (например, через TinyPNG, Fotor, Optimizilla), уменьшите вес скриптов, включите кэширование. Проверить скорость, с которой открываются страницы, можно в PageSpeed Insights – стремитесь к тому, чтобы показатели находились в зеленой зоне.
  • Сделайте сайт адаптивным. Проверить адаптивность страниц можно в Яндекс Вебмастере. Используйте дизайн и верстку, которые корректно отображаются на любых устройствах.
  • Настройте индексацию страниц. Закройте дубли и все ненужные страницы в robots.txt. Если на сайте есть дубли, воспользуйтесь тегом rel="canonical" – он показывает поисковикам, какую версию страниц нужно считать основной.
  • Создайте карту сайта. Добавьте ее в Google Search Console и Яндекс Вебмастер, чтобы поисковики быстрее индексировали новые и обновленные страницы.
  • Проверьте валидность кода. Проверить код можно через Validator W3C. Сервис покажет, где и в каком файле есть ошибки и даст рекомендации по их исправлению. Исправьте серьезные проблемы, которые могут мешать работе сайта.
-18

Проверка валидности кода в Validator W3C

Регулярно проводите аудит технического состояния сайта, чтобы вовремя находить проблемы и устранять их до того, как они начнут негативно влиять на видимость в поиске.

Структура и навигация, внутренняя оптимизация и UX

Понятная структура сайта помогает быстро искать информацию и ориентироваться на страницах. Это положительно сказывается на ПФ.

Ошибки в структуре, влияющие на видимость:

  • Отсутствие внутренней перелинковки. Если на страницах нет ссылок на другие материалы сайта, это снижает глубину просмотра и уменьшает время, проведенное пользователем на ресурсе. Кроме того, перелинковка – отличный инструмент для распределения веса между страницами, поэтому пренебрегать ей не стоит.
  • Неоптимизированные теги. Title и description показываются в сниппете. Если они не привлекательны и не содержат ключевых запросов, кликабельность сниппета может быть низкой.
  • Отсутствие четкой иерархии на сайте. Запутанная и нелогичная структура усложняет поисковым ботам процесс индексации сайта. Пользователям тоже сложно ориентироваться на таком ресурсе.
-19

Пример сайта с плохой структурой и навигацией. В меню нет четкой структуры и иерархии, много лишних ссылок, в шапке все скомкано, верстка кривовата и создается общее ощущение хаоса

-20

Сайт с хорошей структурой. Товары разбиты по категориям, есть внутренний поиск, информация о гарантии и доставке. Номер телефона в шапке на видном месте, блоки не наезжают друг на друга

Что сделать для увеличения видимости

Как улучшить UX и внутреннюю оптимизацию:

  • Улучшите мобильную версию. Интегрируйте интуитивные и распространенные жесты для взаимодействия с сайтом – свайпы для перелистывания, «щипки» для уменьшения/увеличения картинок. Кнопки и ссылки должны легко нажиматься пальцем на экране, добавьте вложенное верхнее меню, которое раскрывается при нажатии.
  • Сделайте тексты читабельными – используйте понятный шрифт, контрастные цвета, абзацы, заголовки, списки и изображения.
  • CTA-кнопки разместите на видном месте, сделайте их заметными и контрастными.
  • Упростите формы: сократите количество полей до минимума (например, имя + телефон/email), добавьте подсказки для заполнения.
  • Избавьтесь от навязчивых pop-up окон и рекламы, которая перекрывает контент и не закрывается.

Внешние ссылки на сайт

Ссылки и упоминания сайта на сторонних ресурсах, включая соцсети и СМИ, играют важную роль в продвижении. Если на сайт ссылаются авторитетные и тематически близкие площадки, поисковые системы воспринимают это как знак его ценности. Отсутствие качественной ссылочной массы, наоборот, может снизить доверие к ресурсу.

Что сделать для увеличения видимости

Что важно учитывать при формировании ссылочного профиля:

  • Качество доноров. Ссылки с тематически релевантных и авторитетных сайтов приносят пользу, а со спамных – наоборот, могут навредить. Перед размещением проверяйте площадки через Ahrefs или CheckTrust.
  • Естественность роста. Если за короткое время сайт получает слишком много ссылок, это может насторожить поисковые алгоритмы. Наращивайте ссылочную массу постепенно, без резких скачков.
  • Разнообразие анкоров. Если вставлять в анкоры только ключевые слова, поисковики могут заподозрить манипуляцию. Оптимально чередовать брендовые названия, URL, общие фразы («подробнее тут», «источник»).
  • Разнообразие типов ссылок. Полезно, когда в профиле есть не только dofollow-ссылки, но и nofollow, UGC. Это делает ссылочную массу естественной и снижает риск санкций.
  • Распределение ссылок по сайту. Если все внешние ссылки ведут только на главную страницу, это выглядит неестественно. Лучше, когда ссылки указывают и на внутренние страницы: статьи, категории, товары.

Вот способы получения внешних ссылок, которые не нарушают правила поисковых систем:

  • Гостевой постинг. Размещайте экспертные статьи с естественной ссылкой на свой сайт в блогах и СМИ. Главное – предлагать качественный контент, а не рекламные тексты.
  • Крауд-маркетинг. Отвечайте на вопросы на форумах, в соцсетях и комментариях к статьям. Добавляйте ссылки только там, где они действительно уместны и помогают пользователям.
  • Публикации в СМИ. Если у вас есть интересные исследования, кейсы или новости, отправляйте их в отраслевые издания. Это даст не только ссылку, но и охват аудитории.
  • Каталоги и справочники. Добавьте ссылки на сайт в Яндекс Бизнес, Google My Business, тематические каталоги.
  • Перелинковка между своими проектами. Если у вас несколько сайтов одной тематики, можно связать их между собой. Главное – не делать это массово, чтобы не получить санкции ПС.
  • Социальные сигналы. Ссылки из соцсетей не передают вес, но они привлекают трафик, повышают узнаваемость и могут стать дополнительным источником лидов.

В PromoPult есть две технологии ссылочной оптимизации, которые приводят к быстрому росту видимости в поиске Яндекса и Google – PBN-ссылки и PromoPult Max. Обе обеспечивают увеличение позиций сайта и рост органического трафика уже в первые недели продвижения. Протестировать технологии можно бесплатно в течение двух недель. Предоплата не нужна, вы принимаете решение, продолжать ли продвижение дальше, по результатам.

Поведенческие факторы

Поисковики анализируют, как пользователи взаимодействуют с сайтом, и учитывают несколько ключевых метрик:

  • Показатель отказов – процент посетителей, покинувших сайт сразу после захода. Высокий показатель может указывать на нерелевантный контент, медленную загрузку или неудобный интерфейс.
  • Время на сайте – чем дольше пользователь изучает страницы, тем выше вероятность, что он нашел полезную информацию. Если посетители быстро уходят, это может сигнализировать о низком качестве контента.
  • Глубина просмотра – количество страниц, просмотренных за одно посещение. Если глубина низкая, это может говорить о плохой навигации или слабой внутренней перелинковке.

Что сделать для увеличения видимости

Чтобы улучшить поведенческие факторы, сначала нужно понять, что вызывает у пользователей затруднения, с каких страниц они чаще уходят, на каких участках задерживают свое внимание. В этом поможет Вебвизор – инструмент Яндекс Метрики. Он показывает, как посетители ведут себя на страницах сайта: на какие кнопки и ссылки нажимают, до какого места прокручивают страницу. Внимание пользователей показано в виде тепловой карты. Красным выделены точки, куда посетители нажимают чаще всего.

-21

Кроме Вебвизора, пригодится статистика систем аналитик – Google Analytics или Яндекс Метрики. Изучите основные точки выхода – это страницы, с которых пользователи покидают сайт. Проанализируйте эти страницы – возможно, на них неактуальный или неинтересный контент, есть технические ошибки или тяжелые файлы, которые мешают загрузке.

Как улучшить поведенческие факторы:

  • Разместите важные элементы (CTA-кнопки, формы, контакты и так далее) на участках, где сосредоточено наибольшее внимание пользователей.
  • Структурируйте информацию на сайте, разместите важные страницы в 1-2 клика от главной, добавьте хлебные крошки (breadcrumbs) для удобной навигации.
  • Настройте внутреннюю перелинковку. В статьях поставьте ссылки на дополнительные материалы по теме, под статьями и карточками товаров добавьте блоки с похожими материалами.
  • Оптимизируйте контент, чтобы его было легко читать. Разбавляйте текст картинками и видео. В карточки товаров добавьте отзывы, рейтинги, информацию о доставке и оплате.

CTR в поиске

На видимость сайта влияет и CTR в поиске. Если сайт вышел в топ, но люди не кликают по нему, для поисковика это может быть сигналом, что страница не соответствует запросу и не интересна пользователям. Со временем такой сайт может просесть в позициях. Чтобы этого не случилось, нужно сделать сниппет привлекательным.

Как сделать кликабельный сниппет

  • Пропишите цепляющий Title и Description. Они должны быть информативными, содержать ключевые слова и привлекать внимание.
  • Используйте микроразметку – с ее помощью можно добавить к сниппету рейтинг, цену, отзывы и другие элементы. Это повышает шансы на то, что посетитель заметит ваш сайт в выдаче и кликнет по нему.
-22
  • Установите фавикон (favicon). Это значок сайта, который отображается в сниппете в поисковой выдаче и рядом с названием страницы в браузере.
-23

Пример фавикона в выдаче

Чем привлекательнее сниппет, тем больше шансов, что люди по нему кликнут и перейдут на сайт.

Локальное SEO

Локальные факторы ранжирования – это сигналы, которые поисковые системы учитывают для определения позиций в геозависимых запросах. Они важны для компаний с физическими офисами, магазинами, кафе, салонами и другими точками, работающими в определенных регионах.

Если бизнес ориентирован на конкретный город или район, оптимизация под локальный поиск поможет увеличить его видимость в этом регионе. Например, по запросу «пиццерия рядом» или «сантехник в Суздале» будут показываться сайты, которые оптимизированы под местоположение пользователя.

-24

Что сделать для увеличения видимости в локальном поиске

  • Заполните профиль компании в геосервисах Google и Яндекса. Карточки компаний в Google My Business и Яндекс Бизнесе часто появляются в поисковой выдаче и на картах, поэтому важно оформить их правильно и поддерживать актуальность информации.
-25

Карточки компаний из Яндекс Бизнеса в поисковой выдаче

  • Добавьте сайт в локальные каталоги и справочники. Помимо Google и Яндекса, разместите информацию о компании в популярных локальных каталогах: 2ГИС, Zoon, Flamp, Yell – для бизнеса в России; TripAdvisor, Островок, Booking – для туристической сферы; в отраслевых каталогах – например, для медицинских клиник это ProDoctorov и NaPopravku.
  • Оптимизируйте сайт для локального поиска. Чтобы сайт ранжировался по локальным запросам («кафе рядом», «ремонт обуви в центре города»), нужно упоминать город и район в заголовках, метатегах, тексте, URL страниц; заполнить страницу «Контакты» ; добавить микроразметку; размещать локальный контент – новости города и обзоры местных мероприятий.

Частые ошибки, которые мешают росту видимости сайтаДубли страниц

Когда на сайте появляются несколько версий одной и той же страницы, поисковые системы могут не понять, какая из них является основной. Это приводит к тому, что позиции этих страниц в поисковой выдаче «размываются», и ресурс теряет свою видимость.

Дубли могут возникать по нескольким причинам:

  • Версии с www и без www, а также http и https – если не настроить правильный редирект, поисковики будут воспринимать их как отдельные страницы.
  • Параметры в URL (например, ?sort=price или ?page=2) – часто используются для фильтров и сортировки товаров. Они могут привести к созданию множества похожих URL, ведущих на одинаковые страницы.
  • Особенности CMS – некоторые системы управления контентом автоматически генерируют несколько ссылок на один и тот же материал.

Как исправить: настроить 301-редирект на основную версию страницы, использовать тег canonical для указания приоритетного URL, закрыть ненужные параметры в robots.txt.

Каннибализация ключевых слов

Каннибализация ключевых слов происходит, когда несколько страниц на сайте оптимизированы под одинаковые поисковые запросы. В результате они начинают конкурировать между собой, что может привести к нестабильным позициям в поисковой выдаче.

Исправить каннибализацию можно следующими способами:

  • Проанализируйте метатеги и контент. Проверьте title, description, заголовки и текст на страницах. Каждая страница должна иметь уникальный контент. Измените заголовки и теги так, чтобы каждая страница была оптимизирована под разные запросы.
  • Удалите или объедините страницы. Если страницы конкурируют по схожим запросам, удалите одну из них или объедините их. Например, если у вас есть страницы «Ремонт холодильников в Москве» и «Ремонт холодильников недорого», и они попадают под каннибализацию, лучше оставить одну страницу, например, «Ремонт холодильников в Москве недорого», а вторую удалить.
  • Настройте редирект. Если удалить страницы нельзя, настройте 301-редирект со второстепенных страниц на основную. Это сохранит трафик и позиции, а также предотвратит потерю ссылочной массы.

Переспам ключевыми словами

Переспам – это избыточное повторение в тексте ключевых слов или фраз с целью улучшить видимость страницы в поисковой выдаче. На практике это выглядит как попытка «обмануть» поисковые системы. Современные алгоритмы поисковиков уже научились выявлять такие попытки и активно им противодействуют. В частности, в Яндексе под это заточен алгоритм «Баден-Баден».

Пример переспама: «Купить корпусную мебель в Москве. Наш интернет-магазин предлагает купить корпусную мебель в Москве недорого. Если вы хотите купить корпусную мебель в Москве, у нас есть широкий выбор».

Переспам в тексте приводит к снижению доверия и интереса аудитории к сайту, ухудшению поведенческих факторов и падению позиций в выдаче. Поисковые системы могут понизить позиции отдельных страниц с избытком ключей или наложить фильтр сразу на весь сайт.

Проверить текст на переспам можно в сервисах Text.ru, Advego, Тургенев. Желательно, чтобы плотность ключей не превышала 3-4%. Если вы обнаружили переспам на странице, исправьте текст: замените слова на синонимы, добавьте LSI-фразы и полезную информацию.

Как анализировать динамику видимости и корректировать стратегию

Чтобы не терять позиции, важно отслеживать динамику видимости и вовремя вносить правки в стратегию продвижения. Для этого регулярно отслеживайте позиции сайта по ключевым запросам с помощью Google Search Console, Яндекс Вебмастера, PromoPult, Серпим, Серпхант и других сервисов. Оценивайте количество запросов в топ-3 и топ-10 – если оно растет, то все в порядке, сайт развивается и видимость становится лучше.

Иногда видимость падает резко и сильно, обычно это связано с санкциями или техническими проблемами:

  • Сайт попал под фильтры поисковых систем. Если это произошло, сайт просядет в выдаче сразу по всем или большинству запросов. Информация о санкциях появится в Яндекс Вебмастере и/или Google Search Console. Если фильтр есть, как можно скорее исправляйте нарушения – снимайте некачественные ссылки, убирайте переспам в текстах, улучшайте контент (действия зависят от того, под какие санкции попал сайт).
  • На сайте появились ошибки. Проверьте техническую оптимизацию. Возможно, сайт стал медленно работать из-за тяжелых скриптов и изображений или хостинг перестал справляться с нагрузкой. Посмотрите, нет ли страниц с ошибками, корректно ли отображается сайт на разных устройствах.

Когда видимость сайта падает плавно или долго не увеличивается, проблема может быть в неправильной или недостаточно активной стратегии продвижения. Здесь важно комплексно оценить проект и начать работать с его «слабыми» местами. Например, если с контентом и технической частью все в порядке, возможно, нужно усилить внешнюю оптимизацию – нарастить качественные ссылки.

A/B-тестирование в SEO

A/B-тестирование (или сплит-тест) – это способ проверки изменений на сайте. Одна версия страницы остается без изменений (контрольная), а в другую вносят доработки (тестовая). Это помогает понять, какие изменения реально улучшают позиции в поиске и поведенческие факторы. Сервисы для запуска сплит-тестов: Optimizely, Roistat, Пиксель Тулс.

Какие элементы можно тестировать:

  • Заголовки и метатеги – Title, Description, H1-H6, атрибуты alt для изображений.
  • Структуру контента – расположение текста, форматирование, длину абзацев, расположение картинок.
  • Навигацию – меню, хлебные крошки, внутреннюю перелинковку.
  • Призывы к действию – кнопки, формы обратной связи.

Главное правило – тестировать только один элемент за раз, чтобы точно определить его влияние на SEO.

Как проводить A/B-тестирование:

  • Определите гипотезу для проверки. Например, изменение метатегов должно увеличить позиции в топ-10 Яндекса на 20%.
  • Выберите страницы для тестирования – чем их больше, тем точнее результат. Внесите изменения в тестовый вариант, контрольный оставьте неизменным.
  • Запустите тест и следите за ключевыми метриками.

Длительность тестирования зависит от сайта, но в среднем на один сплит-тест должно уходить не менее двух недель.

Как добиться высокой видимости сайта в поисковых системах: чек-лист

  • Определите текущий уровень видимости с помощью Вебмастера, Google Search Console, PromoPult или других сервисов.
  • Проанализируйте контент, технические параметры, внешние ссылки и поведенческие факторы.
  • Соберите расширенное семантическое ядро, включающее высоко-, средне- и низкочастотные запросы.
  • Кластеризуйте ключи и создавайте под них релевантные посадочные страницы.
  • Оптимизируйте метатеги (title, description) и заголовки (H1-H6).
  • Публикуйте контент, который соответствует запросам пользователей. Обновляйте устаревшие материалы и дополняйте их новой информацией.
  • Используйте мультимедийный контент (изображения, видео) для удержания пользователей.
  • Добавьте микроразметку для увеличения CTR сниппета в выдаче.
  • Улучшите скорость загрузки страниц и адаптируйте сайт для всех устройств, сервис для проверки – PageSpeed Insights.
  • Настройте безопасное соединение (SSL-сертификат).
  • Оптимизируйте код и разметку, проверка валидности – Validator W3C.
  • Настройте robots.txt и sitemap.xml, чтобы поисковики индексировали только нужные вам страницы.
  • Настройте внутреннюю перелинковку для распределения веса сайта и удобной навигации.
  • Отслеживайте поведенческие факторы через Вебвизор, Google Analytics и Яндекс Метрику.
  • Наращивайте ссылочную массу. Проверить качество доноров можно в Ahrefs или CheckTrust.
  • Продвигайте сайт через СМИ, блоги, форумы и соцсети.
  • Оптимизируйте сайт под локальный поиск, добавьте ссылку на него в каталоги, Google My Business, Яндекс Бизнес.
  • Добавляйте интерактивные элементы (онлайн-чаты, комментарии, отзывы), чтобы удерживать пользователей.
  • Регулярно оценивайте позиции по ключевым словам и динамику их изменений.