Найти в Дзене
Темная ночь

Финансовая математика

1. Принцип неравноценности денег во времени заключается в том, что … равные по абсолютной величине денежные суммы, относящиеся к различным моментам времени, оцениваются по разным критериям 2. Наращение – это процесс … увеличения капитала за счет присоединения процентов 3. Проценты за весь срок ссуды определяются по формуле … 1 4. Установите соответствие между методами начисления простых процентов и расчетами сроков ссуды: Британский метод - 365/365 – точные проценты с точным числом дней в году Французский метод - 365/360 – обыкновенные проценты с точным числом дней в году Германский метод - 360/360 – обыкновенные проценты с приближенным числом дней в году 5. Определите последовательность расчета величины процентов депозита по французскому методу начисления простых процентов: 1) вычислить общий срок депозита при временной базе К = 365 2) найти наращенную сумму S, используя вариант обыкновенных процентов с точным числом дней ссуды 3) определить проценты 6. Абсолютная величина дохода от

1. Принцип неравноценности денег во времени заключается в том, что …

равные по абсолютной величине денежные суммы, относящиеся к различным моментам времени, оцениваются по разным критериям

2. Наращение – это процесс …

увеличения капитала за счет присоединения процентов

3. Проценты за весь срок ссуды определяются по формуле …

Проценты за весь срок ссуды определяются по формуле …
Проценты за весь срок ссуды определяются по формуле …

1

4. Установите соответствие между методами начисления простых процентов и расчетами сроков ссуды:

Британский метод - 365/365 – точные проценты с точным числом дней в году

Французский метод - 365/360 – обыкновенные проценты с точным числом дней в году

Германский метод - 360/360 – обыкновенные проценты с приближенным числом дней в году

5. Определите последовательность расчета величины процентов депозита по французскому методу начисления простых процентов:

1) вычислить общий срок депозита при временной базе К = 365

2) найти наращенную сумму S, используя вариант обыкновенных процентов с точным числом дней ссуды

3) определить проценты

6. Абсолютная величина дохода от предоставления денег в долг в любой его форме в финансовых расчетах – это …

Процентные деньги или проценты в финансовых расчетах

7. В качестве основной единицы времени в финансовых расчетах принято использовать …

года

8. К видам процентных ставок в зависимости от исходной базы начисления процентов относят … процентные ставки (укажите 2 варианта ответа)

простую

сложную

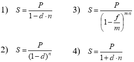
9. Наращенная сумма с использованием простой учетной ставки определяется по формуле …

Наращенная сумма с использованием простой учетной ставки определяется по формуле …
Наращенная сумма с использованием простой учетной ставки определяется по формуле …

1

10. Проценты в финансовых расчетах – это …

абсолютная величина дохода от предоставления денег в долг в любой его форме

11. Расчет первоначальной суммы по известной наращенной сумме – это …

дисконтирование

12. Точное число дней финансовой операции можно определить … (укажите 2 варианта ответа)

используя прямой счет фактических дней между датами

используя специальные таблицы

13. Процентная ставка за фиксированный отрезок времени – это отношение суммы …

процентных денег к величине ссуды

14. Отношение наращенной суммы к величине первоначальной суммы – это … наращения

множитель

15. Коммерческий процент – это расчет процентов исходя из продолжительности …

года в 360 дней

месяца в 30 дней

16. Основная модель сложных процентов определяется по формуле …

Основная модель сложных процентов определяется по формуле …
Основная модель сложных процентов определяется по формуле …

1

17. Если ссуду в размере 100 тыс. руб. взять на 2 года под 20 %, то сумма к возврату будет равна …

144 тыс. руб.

18. В финансовых расчетах инфляцию учитывают корректировкой … ставки

процентной

19. Формула сложных процентов с неоднократным начислением процентов в течение года имеет вид

Формула сложных процентов с неоднократным начислением процентов в течение года имеет вид …
Формула сложных процентов с неоднократным начислением процентов в течение года имеет вид …

3

20. Формула сложных процентов с использованием переменных процентных ставок имеет вид …

Формула сложных процентов с использованием переменных процентных ставок имеет вид …
Формула сложных процентов с использованием переменных процентных ставок имеет вид …

3

21. … цен показывает, во сколько раз выросли цены

индекс

22. Начисление по схеме сложных процентов предпочтительнее при сроке финансовой операции …

более года

23. Номинальная ставка – это процентная ставка, при которой начисление процентов происходит … раз в год

несколько раз

24. Смешанный метод расчета определяется по формуле …

Смешанный метод расчета определяется по формуле …
Смешанный метод расчета определяется по формуле …

2

25. В финансовых расчетах для сложных процентов обесцененная инфляцией сумма равна

В финансовых расчетах для сложных процентов обесцененная инфляцией сумма равна …
В финансовых расчетах для сложных процентов обесцененная инфляцией сумма равна …

3

26. Определите последовательность нахождения общей суммы процентов депозита на конец срока, если при открытии депозита клиентом 18 марта на счет была положена сумма 300 тыс. руб., 25 марта того же года на счет добавлена сумма 150 тыс. руб., 20 апреля вкладчик снял сумму 90 тыс. руб. и 20 ноября счет был закрыт:

1) определить сроки хранения поступающих на счет сумм

2) определить движение средств на конец срока депозита

3) определить наращенные суммы на конец срока депозита

4) вычислить общую наращенную сумму

5) определить общую сумму процентов

27. Финансовая рента имеет такие параметры, как … (укажите 4 варианта ответа)

срок ренты

период ренты

член ренты

процентная ставка

28. Формула современной величины годовой ренты постнумерандо имеет вид

Формула современной величины годовой ренты постнумерандо имеет вид …
Формула современной величины годовой ренты постнумерандо имеет вид …

3

29. Денежные поступления, сконцентрированные в конце каждого из равных периодов, – это …

поток постнумерандо

30. Установите последовательность элементов алгоритма составления уравнения по принципу эквивалентности для выкупа ренты:

срок ренты

период ренты

член ренты

процентная ставка

1) начертить временную шкалу

2) отметить на временной шкале заданные даты и платежи

3) определить базовую дату

4) составить уравнение, применив формулы современной стоимости заменяемых рент

5) решить уравнение относительно искомого параметра

31. Последовательные во времени платежи и поступления называются … платежей

потоком

32. Наращенная сумма ренты постнумерандо для р-срочной ренты, когда число начислений процентов и число платежей не совпадают, рассчитывается по формуле …

Наращенная сумма ренты постнумерандо для р-срочной ренты, когда число начислений процентов и число платежей не совпадают, рассчитывается по формуле …
Наращенная сумма ренты постнумерандо для р-срочной ренты, когда число начислений процентов и число платежей не совпадают, рассчитывается по формуле …

4

33. Задачи замены одних потоков платежей другими используются в случаях …

консолидации платежей

изменения сроков платежей

34. Если ссуда в размере 100 тыс. руб. выдана на 2 года под 20 % годовых, то проценты за год составят …

44 тыс. руб

35. Если основную сумму долга 100 тыс. руб. необходимо погасить в течении 2 лет равными частями по ставке 20 %, то погасительный платеж за 1 год составит …

62 тыс. руб.

36. Если ссуду в размере 100 тыс. руб. под 20 % годовых необходимо погашать ежегодно в течении 2 лет выплатой равными частями основного долга, то выплата процентов за второй год составит …

10 тыс. руб.

37. Установите последовательность элементов алгоритма составления плана погашения кредита с равномерными выплатами основной суммы долга:

межбанковском кредитовании

лизинге

1) определить сумму разового погашения основного долга

2) вычислить сумму процентов за кредит в рассматриваемый период

3) определить погасительный платеж за период

4) рассчитать остаток основного долга на конец периода

38. Установите последовательность элементов алгоритма составления плана погашения кредита равными погасительными платежами:

межбанковском кредитовании

лизинге

1) определить сумму разового погашения основного долга

2) вычислить сумму процентов за кредит в рассматриваемый период

3) определить погасительный платеж за период

4) рассчитать остаток основного долга на конец периода

1) определить величину погасительного платежа основного долга

2) вычислить сумму процентов за кредит в рассматриваемый период

3) рассчитать остаток основного долга

4) рассчитать погасительный платеж за период

39. Если ссуда в размере 100 тыс. руб. выдана с 1 марта по 1 сентября под 20 % годовых и в счет погашения долга внесено 1 июня 50 тыс. руб., то остаток долга на конец срока, рассчитанный актуарным методом с приближенным числом дней в году, равен …

55 000 руб.

40. Кредит используется предприятием для …

пополнения собственных источников финансирования

41. Если ссуду в размере 100 тыс. руб. необходимо погасить в течении 4 лет равными частями, то погашение основного долга равными суммами ежегодно составит …

25 тыс. руб.