Найти в Дзене
Виктор Рязанцев

Три простейших строгих опровержения теории относительности

* Одной из причин появления теории относительности (ТО) была попытка объяснения факта зависимости состояния физических тел (магнитных и электрических сил) от скорости их движения v — нарушение относительности Галилея. Эта зависимость была обнаружена физиками 19-го века (Ампер, Фарадей). Вопрос заключался лишь в том, относительно какой системы отсчёта (СО) измерять эту скорость v. В качестве исходной системы отсчёта Эйнштейн [1] принимал ИЗОТРОПНУЮ и ОДНОРОДНУЮ инерционную систему отсчёта ИСО1, т.е., одинаковую во всех направлениях и не зависящую от выбора начала координат. В этой ИСО1 он располагал ось x так, чтобы она совпадала по направлению со скоростью v, но изотропность и однородность самой системы отсчёта сомнению не подвергалась. Нет никакой причины считать исходную систему отсчёта анизотропной и неоднородной, т.к. внешние поля предполагаются отсутствующими. Итак, мы пришли к модели изотропной однородной ИСО, в которой параметры состояния движущихся тел зависят от их скорости v.
Оглавление

Вообще-то опровержений больше, но покажем три простейших

*

3-е место. Неизотропность движущихся систем отсчёта

Одной из причин появления теории относительности (ТО) была попытка объяснения факта зависимости состояния физических тел (магнитных и электрических сил) от скорости их движения v — нарушение относительности Галилея. Эта зависимость была обнаружена физиками 19-го века (Ампер, Фарадей).

Вопрос заключался лишь в том, относительно какой системы отсчёта (СО) измерять эту скорость v.

В качестве исходной системы отсчёта Эйнштейн [1] принимал ИЗОТРОПНУЮ и ОДНОРОДНУЮ инерционную систему отсчёта ИСО1, т.е., одинаковую во всех направлениях и не зависящую от выбора начала координат. В этой ИСО1 он располагал ось x так, чтобы она совпадала по направлению со скоростью v, но изотропность и однородность самой системы отсчёта сомнению не подвергалась. Нет никакой причины считать исходную систему отсчёта анизотропной и неоднородной, т.к. внешние поля предполагаются отсутствующими.

Итак, мы пришли к модели изотропной однородной ИСО, в которой параметры состояния движущихся тел зависят от их скорости v. Вследствие однородности и изотропности системы отсчёта величина отклонения этих параметров от параметров неподвижного состояния не может зависеть ни от выбора начала координат, ни от направления скорости v, а ТОЛЬКО от её абсолютной величины.

Например, ход часов выразится формулой:

t/t0 = f(|v|) (1),

где t, t0, соответственно — показания движущихся и неподвижных часов.

Согласно исследованиям учёных конца 19 — начала 20-го века f(|v|) — однозначная строго монотонная функция.

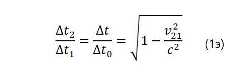
Конкретно, в преобразованиях СТО Эйнштейна:

-2

где c — скорость света,

t1, t2, соответственно — показания часов в исходной и движущейся ИСО,

v21 — скорость ИСО2 относительно исходной ИСО1.

Предположим, что мы имеем 3 тела, движущихся в одном направлении со скоростями v1, v2, v3 относительно ИСО0, причём

v1 = v2 – ∆v,

v3 = v2 + ∆v.

v2 ≠ 0

Очевидно, что, согласно формуле (1), изменение процессов вследствие движения тела1 будет меньше, чем тела2, а тела3 — больше, чем тела2.

Перейдём теперь в ИСО2. Естественно, переход в другую ИСО не может сам по себе изменить ход часов. Все часы, двигавшиеся со скоростями v1, v2, v3, будут идти в прежнем темпе. Нам же интересно, как это будет выглядеть из ИСО2. Глядя из ИСО2, мы будем видеть РАЗНЫЕ скорости процессов в теле1 и теле3 при одной и той же величине относительной скорости |∆v|. Т.е., одинаковые с точки зрения ИСО2 скорости ∆v, но направленные в разные стороны, будут оказывать РАЗНЫЕ воздействия на физические тела.

Таким образом, ПРОИЗВОЛЬНАЯ ИСО, движущаяся относительно ИСО0 и адекватная поведению материи, будет НЕИЗОТРОПНОЙ.

Любая неизотропная СО не может быть эквивалентной изотропной ИСО0. Изотропной и адекватной поведению материи в отсутствии силовых полей может быть лишь одна единственная — абсолютная система отсчёта (АСО). В искусственных изотропных движущихся СО уравнения движения материи будут отличаться от уравнений АСО.

Таким образом, ПРИНЦИП РАВНОПРАВИЯ всех ИСО (принцип относительности), провозглашенный А. Эйнштейном, НЕСОВМЕСТИМ с ФАКТОМ ЗАВИСИМОСТИ состояния тел от СКОРОСТИ их ДВИЖЕНИЯ (утверждаемым и самой СТО, см. ур-ние (1э)).

Формула (1э) получена Эйнштейном для конкретных часов (в общем случае – для конкретных тел, процессы в которых служат показателем времени) из формулы:

-3

где t и t’ соответственно – показания часов в неподвижной и движущейся ИСО.

х – координата часов в исходной ИСО.

Эта формула получена Лоренцем и, другим способом – Эйнштейном.

Лоренц искусственно ввёл так называемое «местное время» для приведения вида уравнений микроскопических электродинамических систем (МЭС) в движущейся ИСО' к тому же виду, что и в неподвижной [2]. Для каждой МЭС это математическое преобразование своё. Ни Лоренц, ни позднее Эйнштейн не исследовали вопрос, возможно ли сшивание этих кусочных выражений в единую физически непротиворечивую функцию.

Эйнштейн получил свои решения не в результате рассмотрения фактического поведения физической системы, а в результате искусственного приведения хода часов и размера объектов к требованию одинаковости скорости света в различных ИСО.

Рассмотрим последовательность действий Эйнштейна [1].

Он берёт две идентичные ИСО и начинает одну из них (ИСО΄) двигать. Читатель, полностью ознакомившейся с его статьёй представляет, что ИСО΄ (как и исходная ИСО) оснащена множеством часов, которые, в процессе придания ей скорости v, меняют темп своего хода в соответствии с формулой (1э). Подразумевается, что стрелки всех часов в обеих ИСО в момент времени t = 0 находились на нулевой отметке. Когда стрелки на часах ИСО0 достигают отметки t, снимаются показания всех часов ИСО΄. Естественно, что, поскольку все точки ИСО΄ предполагаются физически ничем не выделенными (пространство однородно) и действия с часами ИСО΄ абсолютно одинаковыми, то все показания t΄ для разных точек должны совпадать!

Откуда же взялась неидентичность точек ИСО΄?

Как уже было отмечено выше, он искусственно привёл ход часов и размеры объектов к требованию одинаковости скорости света в различных ИСО — знаменитая эйнштейновская синхронизация часов.

Весьма вероятно, что существование такой же формулы у Лоренца придало Эйнштейну уверенность в своих действиях.

Перейдём ко второму опровержению.

2-е место. Применение обратных преобразований = признанию исходной ИСО привилегированной = отрицанию принципа равноправия ИСО

Это опровержение приводится самими сторонниками ТО.

При вопросе, как от ИСО' перейти назад к исходной ИСО, они отвечают: надо использовать преобразование, обратное (1э) или (2лэ)

-4

Тем самым, они делают исходную эйнштейновскую ИСО1 привилегированной!

Если Лоренц ещё мог заявить, что он приводил уравнения в подвижной системе к тому же виду, что и неподвижной (скромно умалчивая об относительности), то Эйнштейн, как школьник, переписавший чужое сочинение (решение), не заметил ловушку: все его рассуждения об отсутствии АСО на самом деле приводят к прямо противоположному результату.

Топ1. Произвольность выбора исходной ИСО = произволу получаемых результатов

Основное интуитивное замечание учёных и простых обывателей, не зашоренных гипнозом сказочных преобразований пространства: от ПРОИЗВОЛЬНОЙ системы при помощи ОДНОЗНАЧНЫХ формул не получится ничего, кроме произвола. Если же формулы неоднозначны, то в чём ценность теории?

Это замечание перекликается с Топ2: когда применять прямое, а когда обратное преобразование?

Заключение

Приведём пример, который, можно сказать, отображает всё выше изложенное.

Если в качестве исходной в расчёте СТО(!) принята СО Солнечной системы, то время на космических аппаратах (КА), движущихся с одинаковой скоростью в направлении созвездия Льва и в направлении созвездия Водолея, будет идти одинаково. Если же в качестве исходной (опять же в СТО!) принять СО космологического излучения, то время (читай — процессы) на КА, движущемся в сторону созвездия Льва будет идти медленнее, чем на Земле, а на КА, движущемся в сторону созвездия Водолея, быстрее. Т.е., в строгом соответствии с СТО процессы в движущихся телах зависят от выбора системы отсчёта! А где же хвалёная ковариантность ТО?

Выводы из этой статьи имеют не только теоретическое, но и практическое значение: расчёты траекторий и поведения КА существенно зависят от того, какая теория и, соответственно — какая система отсчёта выбрана в качестве исходной.

В качестве исходной должна быть принята привилегированная система, см. «Вычисление абсолютной системы отсчёта (АСО). Поправки к оптическим методам определения расстояний» https://dzen.ru/a/ZXC6BJ5fqm0Hy5Tv?share_to=link

Литература

1. Эйнштейн А. К электродинамике движущихся тел // Собрание научных трудов, под редакцией Тамма И.Е., М. Наука, 1966, Т. 1, С. 6 – 35.

2. Лоренц Г.А. «Электромагнитные явления в системе, движущейся с любой скоростью, меньшей скорости света». Proc. Acad., Amsterdam, 1904, V 6, P. 809. Пер. http://ivanik3.narod.ru/Lorenc/EMfenomen.pdf .