Найти в Дзене
Светлана Маразенкова

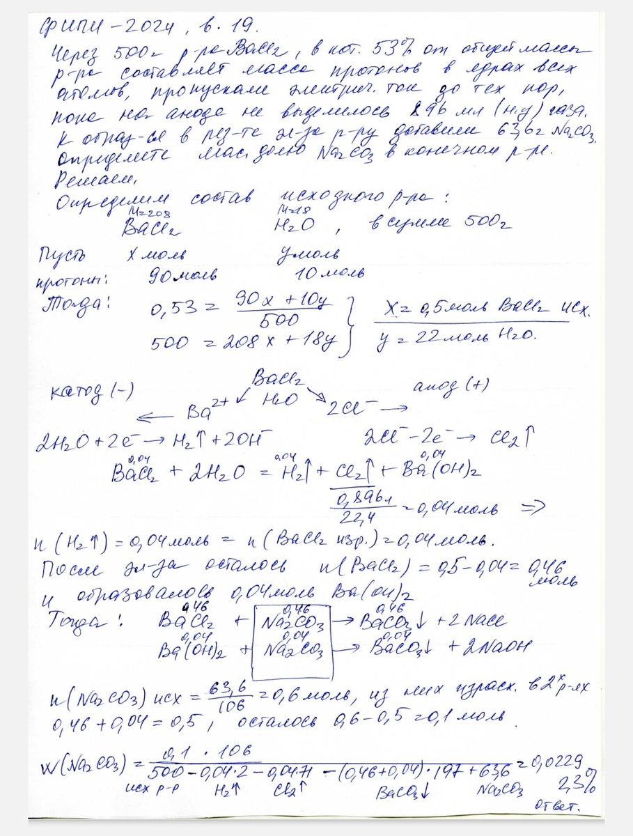
ЕГЭ по химии. Электролиз в 34-й задаче

Не то, чтобы процесс электролиза был чем-то нерешаемым или страшным. Просто нужно разбираться в закономерностях этого процесса и уметь составлять итоговое уравнение происходящей ОВР. Вот три 34-е задачи из сборника ФИПИ-2024 на тему электролиза: А здесь есть подборка качественных видео о том, как выглядит процесс электролиза на практике. Мой курс по 34-й задаче здесь. Успехов!

Не то, чтобы процесс электролиза был чем-то нерешаемым или страшным. Просто нужно разбираться в закономерностях этого процесса и уметь составлять итоговое уравнение происходящей ОВР.

Вот три 34-е задачи из сборника ФИПИ-2024 на тему электролиза:

-2
-3

А здесь есть подборка качественных видео о том, как выглядит процесс электролиза на практике.

Мой курс по 34-й задаче здесь.

Успехов!

-4