Добавить в корзинуПозвонить
Найти в Дзене

Цены на недвижимость в рекламе не равны ценам сделок

Эксперты провели интересное исследование, в котором проанализировали разницу между ценами на жильё, указанными в объявлениях, и реальными сделками. Исследование, проведённое «СберИндекс» и «Домклик», показало, что разрыв в ценах на новостройки меньше, чем на вторичном рынке. По итогам октября 2024 года разрыв в рекламных ценах и ценах сделок на новостройки составил 11,3%, в то время как для готового жилья — 16,5%. Эти расчёты основаны на данных ценовых индексов «Домклик» и ипотечных сделок Сбербанка. Разрыв в регионах, лидирующих по ценам на жильё, следующий: В качестве первых признаков будущего тренда эксперты видят не столько падение цен, сколько сокращение разрыва между предложенной и реальной ценой. Покупателям не следует считать, что рекламные цены — это цены сделок. Им следует изучать реальные цены и торговаться с продавцом до этих цен. Продавцам, если им действительно нужно продать, следует снизить свои ожидания и не закладывать на торг 20% и более. Покупатели сейчас покупают
Оглавление

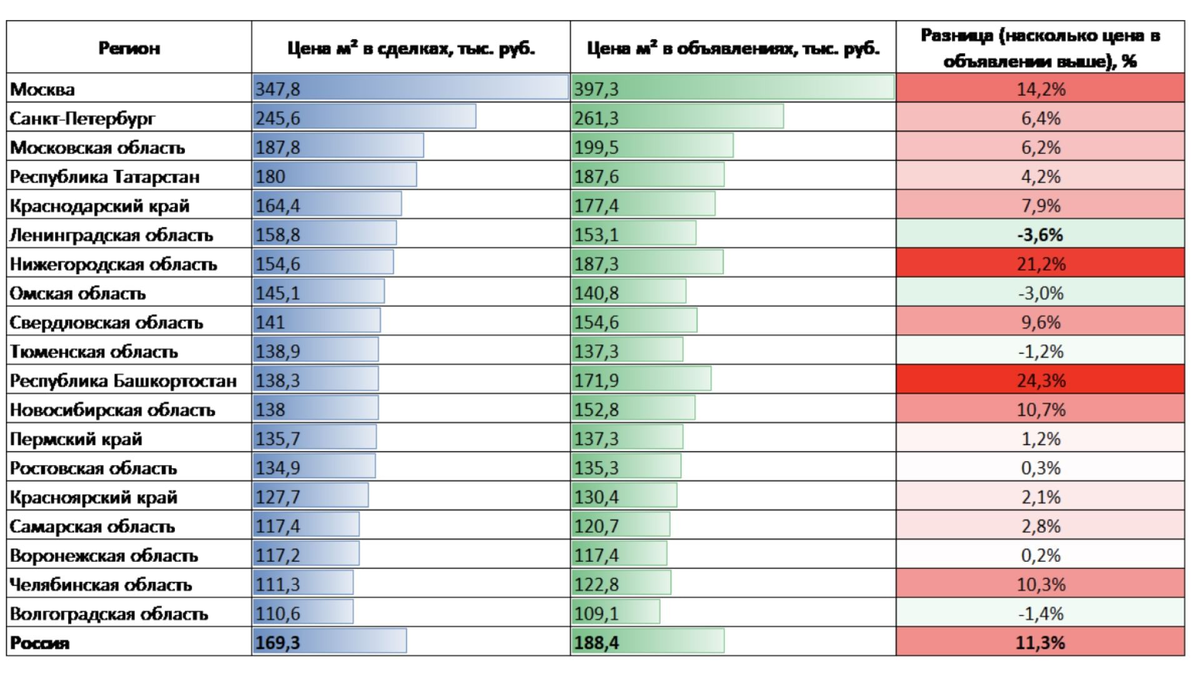
Эксперты провели интересное исследование, в котором проанализировали разницу между ценами на жильё, указанными в объявлениях, и реальными сделками. Исследование, проведённое «СберИндекс» и «Домклик», показало, что разрыв в ценах на новостройки меньше, чем на вторичном рынке.

По итогам октября 2024 года разрыв в рекламных ценах и ценах сделок на новостройки составил 11,3%, в то время как для готового жилья — 16,5%. Эти расчёты основаны на данных ценовых индексов «Домклик» и ипотечных сделок Сбербанка.

Как отличаются цены объявлений и сделок на первичном рынке

Разрыв в регионах, лидирующих по ценам на жильё, следующий:

  • Москва — 14,2%;
  • Краснодарский край — 7,9%;
  • Санкт-Петербург — 6,4%;
  • Московская область — 6,2%;
  • Республика Татарстан — 4,2%.
В качестве первых признаков будущего тренда эксперты видят не столько падение цен, сколько сокращение разрыва между предложенной и реальной ценой.

Разница между рекламными ценами и ценами сделок в новостройках. Источник: blog.domclick.ru
Разница между рекламными ценами и ценами сделок в новостройках. Источник: blog.domclick.ru
Разница на вторичном рынке. Источник: blog.domclick.ru
Разница на вторичном рынке. Источник: blog.domclick.ru

Выводы

Покупателям не следует считать, что рекламные цены — это цены сделок. Им следует изучать реальные цены и торговаться с продавцом до этих цен.

Продавцам, если им действительно нужно продать, следует снизить свои ожидания и не закладывать на торг 20% и более. Покупатели сейчас покупают только те объекты, которые продают по адекватным ценам. Чем дольше продавец стоит на таком рынке, тем дешевле он продаст. Если вы хотите продать, ориентируйтесь на реальные цены сделок, а не на соседа, который стоит больше года в рекламе и не может продать.

Если статья была интересна и полезна, буду благодарна за лайк👍 и подписку!

Ну а если вы в ближайшее время планируете продавать или покупать квартиру в Москве, записывайтесь на бесплатную консультацию:
📱
ватсап/телеграмм +7-989-114-38-48, Ольга Левчук — эксперт по жилой недвижимости в Центральном округе Москвы.