Добавить в корзину
Позвонить
Найти в Дзене
Войти
In ФИЗМАТ
11,2 тыс подписчиков
Подписаться
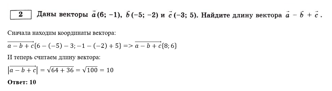
ЕГЭ по математике 2025 год. Профильный уровень. Ященко, 36 вариантов. Вариант 21. Разбор
29 ноября 2024
29 ноя 2024
12,9 тыс
...
Читать далее
Подготовка к ЕГЭ
128,7 тыс интересуются
Следить за темой
61
2
151053215.872.1777473909524.22571