Добавить в корзинуПозвонить
Найти в Дзене
Будни репетитора

А вы умеете складывать смешанные числа?

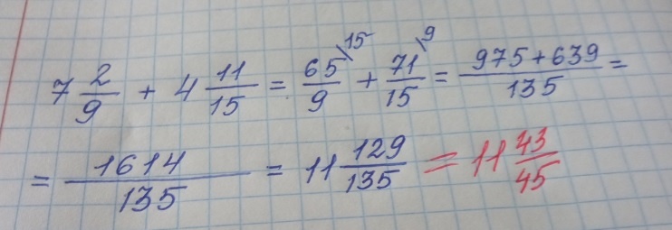
Впору создавать новую подборку "Справочное бюро" или "Вопрос-ответ" и тп, так много вопросов задаётся в мессенджерах и здесь Хотя, на канале уже есть подборка "Найти и обезвредить" Сюда и поместим эти вопросы. Один из последних: Переписала своей рукой, ибо в присланном файле вычисление выполнялось на трети листа, там были пояснения вроде таких Итак, анализируем решение: Оно верное. За исключением одного- ответ немного другой (он написан красной пастой), то есть помним, что в математике принято сокращать дробь, если это возможно Претензии у меня, как у учителя : Во-первых, выбранный способ решения. Он не рациональный, то есть громоздкий, приводящий к ненужным вычислениям и затягивающий (во времени) всё решение. Ну это всё равно, что идти пешком из Архангельской области в Москву. Нет, я не осуждаю Михаила Васильевича (если что, то я про Ломоносова), но, уверена, что, если бы в его время был доступен другой вид транспорта, то он бы им непеременно воспользовалься. Ведь постарался же он до
Впору создавать новую подборку "Справочное бюро" или "Вопрос-ответ" и тп, так много вопросов задаётся в мессенджерах и здесь
Хотя, на канале уже есть подборка "Найти и обезвредить"
Найти и обезвредить | Будни репетитора | Дзен

Сюда и поместим эти вопросы. Один из последних:

"Можно ли ТАК складывать смешанные числа?"

-2

Переписала своей рукой, ибо в присланном файле вычисление выполнялось на трети листа, там были пояснения вроде таких

-3

Итак, анализируем решение:

Оно верное. За исключением одного- ответ немного другой (он написан красной пастой), то есть помним, что в математике принято сокращать дробь, если это возможно

Претензии у меня, как у учителя :

Во-первых, выбранный способ решения. Он не рациональный, то есть громоздкий, приводящий к ненужным вычислениям и затягивающий (во времени) всё решение. Ну это всё равно, что идти пешком из Архангельской области в Москву.

Нет, я не осуждаю Михаила Васильевича (если что, то я про Ломоносова), но, уверена, что, если бы в его время был доступен другой вид транспорта, то он бы им непеременно воспользовалься. Ведь постарался же он догнать торговый обоз. Но добирался до пункта назначения три недели. В наше время этот же путь на машине можно проделать на машине менее, чем за сутки.

Вот скажите: зачем нам в наше время идти пешком, если мы можем сделать это быстрее: на машине, автобусе и тд?

Так и в предложенном задании.

Во-вторых, посмотрите какой общий знаменатель нашёл ученик? А ведь есть другой, наименьший знаменатель.

Итак, более короткое решение

-4
а вот и правило, если забыли
-5
Есть вопросы? Обращайтесь!

До встречи!