Добавить в корзинуПозвонить
Найти в Дзене
Заметки инженера

Расчет на всплытие подземной части зданий и сооружений

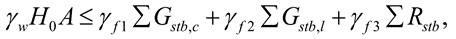
При размещении подземной части ниже уровня грунтовых вод в водонасыщенных грунтах необходимо проверять здание на всплытие. Обычно этот расчет выполняют для паркингов и малоэтажных зданий. Расчет на устойчивость против всплытия производится согласно п. 9.31 СП 22.13330. Давление от грунтовых вод не должно превышать суммарное значение от постоянных и временных нагрузок: где ϒw- удельный вес воды, кН/м ; Н0- расчетная высота напора воды, отсчитываемая от подошвы подземной части сооружения до максимального уровня подземных вод, м; А - площадь подземной части сооружения, м ; ΣGstb,c- сумма нормативных значений постоянных вертикальных удерживающих нагрузок, включая собственный вес несущих конструкций сооружения, кН; ΣGstb,l - сумма нормативных значений временных длительных удерживающих вертикальных нагрузок, включая вес полов и перегородок сооружения, грунта обратной засыпки над обрезами фундаментов и подземной частью сооружения, кН; ΣRstb - сумма нормативных значений у

При размещении подземной части ниже уровня грунтовых вод в водонасыщенных грунтах необходимо проверять здание на всплытие.

Обычно этот расчет выполняют для паркингов и малоэтажных зданий.

Расчет на устойчивость против всплытия производится согласно п. 9.31 СП 22.13330.

Давление от грунтовых вод не должно превышать суммарное значение от постоянных и временных нагрузок:

-2

где ϒw- удельный вес воды, кН/м ;

Н0- расчетная высота напора воды, отсчитываемая от подошвы подземной части сооружения до максимального уровня подземных вод, м;

А - площадь подземной части сооружения, м ;

ΣGstb,c- сумма нормативных значений постоянных вертикальных удерживающих нагрузок, включая собственный вес несущих конструкций сооружения, кН;

ΣGstb,l - сумма нормативных значений временных длительных удерживающих вертикальных нагрузок, включая вес полов и перегородок сооружения, грунта обратной засыпки над обрезами фундаментов и подземной частью сооружения, кН;

ΣRstb - сумма нормативных значений удерживающих вертикальных составляющих сил сопротивления всплытию в основании, включая силы трения, сопротивления свай выдергиванию, натяжения анкеров и др., кН;

ϒf1=0,9, ϒf2=0,85, ϒf3=0,65 - коэффициенты надежности по нагрузке.

Если условие не удовлетворяется то, чтобы не допустить разрушение от всплытия сооружения, необходимо применять следующие мероприятия:

- увеличение собственного веса сооружения или его пригрузка;

- уменьшение поровых давлений под сооружением с помощью устройства дренажа;

- закрепление сооружения в нижележащих слоях грунта с помощью анкеров или свай