Найти в Дзене

Так ли безопасно чрезкожное коронарное вмешательство (ЧКВ)?

Операцию на "открытом" сердце стали заменять дешевым, быстрым и порой единственно возможным и спасительным ЧКВ, но отдаленные результаты исследования медицинского центра Медицинского центра Питсбурга штата Пенсивальвания говорят в пользу качественно проведенной операции коронарного шунтирования (АКШ) с применением кардиоплегии. Статья в тему приводится ниже, но факт остается фактом - надежно "пришитый" шунт это гарантия долголетия, при условии показаний и переносимости пациентом такой операции, разумеется. В любом случае, следует проконсультироваться со специалистами. КОРОНАРНОЕ ШУНТИРОВАНИЕ В СРАВНЕНИИ С ЧРЕСКОЖНЫМ КОРОНАРНЫМ ВМЕШАТЕЛЬСТВОМ ПРИ МНОГОСОСУДИСТОМ ПОРАЖЕНИИ КОРОНАРНЫХ АРТЕРИЙ Авторы: Suresh R Mulukutla 1, Thomas G Gleason 2, Michael Sharbaugh 2, Ibrahim Sultan 2, Oscar C Marroquin 2, Floyd Thoma 2, Conrad Smith 2, Catalin Toma 2, Joon S Lee 2, Arman Kilic 2 Аннотация. Предыстория: данное исследование было сосредоточено на современных исходах после операции аортокоронарно

Операцию на "открытом" сердце стали заменять дешевым, быстрым и порой единственно возможным и спасительным ЧКВ, но отдаленные результаты исследования медицинского центра Медицинского центра Питсбурга штата Пенсивальвания говорят в пользу качественно проведенной операции коронарного шунтирования (АКШ) с применением кардиоплегии. Статья в тему приводится ниже, но факт остается фактом - надежно "пришитый" шунт это гарантия долголетия, при условии показаний и переносимости пациентом такой операции, разумеется. В любом случае, следует проконсультироваться со специалистами.

Кампус университета Питсбурга, штат Пенсильвания
Кампус университета Питсбурга, штат Пенсильвания

КОРОНАРНОЕ ШУНТИРОВАНИЕ В СРАВНЕНИИ С ЧРЕСКОЖНЫМ КОРОНАРНЫМ ВМЕШАТЕЛЬСТВОМ ПРИ МНОГОСОСУДИСТОМ ПОРАЖЕНИИ КОРОНАРНЫХ АРТЕРИЙ

Авторы:

Suresh R Mulukutla 1, Thomas G Gleason 2, Michael Sharbaugh 2, Ibrahim Sultan 2, Oscar C Marroquin 2, Floyd Thoma 2, Conrad Smith 2, Catalin Toma 2, Joon S Lee 2, Arman Kilic 2

Аннотация. Предыстория: данное исследование было сосредоточено на современных исходах после операции аортокоронарного шунтирования (АКШ) по сравнению с чрескожным коронарным вмешательством (ЧКВ) у пациентов с многососудистым поражением коронарных артерий (МПКА).

Методы. Проведен ретроспективный наблюдательный анализ с сопоставлением коэффициентов склонности. Были включены пациенты с МПКА, перенесшие АКШ или ЧКВ в период с 2010 по 2018 гг. и данные которых были доступны в Национальном реестре сердечно-сосудистых данных или базе данных кардиохирургии взрослых пациентов Общества торакальных хирургов. Первичным результатом была общая выживаемость. Вторичные результаты включали отсутствие повторной госпитализации и повторной реваскуляризации.

Результаты. Из данных по 6163 пациентам с МПКА были составлены две когорты с сопоставимыми коэффициентами склонности по 844 человека в каждой.

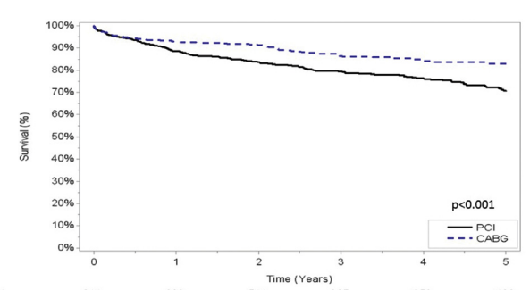
Расчетная годовая смертность составила 11,5% и 7,2% (p < 0,001) в группах ЧКВ и АКШ, соответственно, при общем коэффициенте риска смертности при ЧКВ по сравнению с АКШ, равном 1,64 (95% доверительный интервал [ДИ], 2,10; р < 0,001). Общий коэффициент риска повторной госпитализации для ЧКВ по сравнению с АКШ составил 1,42 (95% ДИ, 1,23–1,64; p < 0,001). Общий коэффициент риска повторной реваскуляризации для ЧКВ по сравнению с КШ составил 4,06 (95% ДИ от 2,39 до 6,91; p < 0,001).

Выживаемость у больных с мультифокальным поражением коронарных артерий, PCI это ЧКВ, а CABG это АКШ, Заметно, что выживаемость лучше во втором случае.
Выживаемость у больных с мультифокальным поражением коронарных артерий, PCI это ЧКВ, а CABG это АКШ, Заметно, что выживаемость лучше во втором случае.

В целом основные неблагоприятные сердечно-сосудистые события и отдельные исходы, такие как смертность, повторная госпитализация и повторная реваскуляризация, все было в пользу АКШ практически во всех основных клинических подгруппах.

То же самое, сосудистые осложнения ниже в группе АКШ.  PCI это ЧКВ, а CABG это АКШ
То же самое, сосудистые осложнения ниже в группе АКШ. PCI это ЧКВ, а CABG это АКШ

Выводы. Данный актуальный анализ групп пациентов, перенесших реваскуляризацию коронарных артерий по поводу МПКА с помощью коэффициентов склонности, демонстрирует значительное преимущество в частоте смертности при выполнении АКШ по сравнению с ЧКВ, и это преимущество согласуется практически во всех основных подгруппах пациентов. Необходимы будущие исследования, отражающие рутинную практику, с целью оценить то, как лучше всего подходить к совместному принятию решений и информированному согласию пациента, когда речь идет о решении по поводу реваскуляризации у любого пациента с МПКА.

Публикация в Ann Thorac Surg. 2019 Aug; 108(2): 474-480.

https://pubmed.ncbi.nlm.nih.gov/31056197/

https://www.annalsthoracicsurgery.org/action/showPdf?pii=S0003-4975%2819%2930420-5