Добавить в корзинуПозвонить
Найти в Дзене

Разбор реальной задачи 34 с ЕГЭ по химии

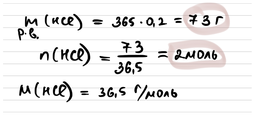
Условие: Смесь оксида лития и нитрида лития, в которой массовая доля атомов лития равна 56%, растворили в 365 г 20%-ной соляной кислоты. При этом образовался практически нейтральный раствор (процессами гидролиза пренебречь). К нему добавили 410 г 20%-ного раствора фосфата натрия. Вычислите массовую долю хлорида натрия в конечном растворе. 1. Запишем, что нам дано. На ЕГЭ по химии не обязательно записывать «дано», но я рекомендую это делать, чтобы не запутаться и более внимательно прочитать задачу 2. Запишем уравнения реакций и формулы, которыми мы будем пользоваться: 3. Для начала найдём массу растворенного вещества HCl, а также его количество вещества: 4. Работаем с массовой долей атомов. Массовая доля атомов определяется по формуле: 5. Введем переменные: 6. Найдём массу Li, Li2O и Li3N Так как масса находится по формуле: m=n*M, а нам известны количества вещества и малярные массы, то получаем: 7. Подставим значения в эту формулу: 8. Работаем с соляной кислотой и уравнениями реакций

Условие:

Смесь оксида лития и нитрида лития, в которой массовая доля атомов

лития равна 56%, растворили в 365 г 20%-ной соляной кислоты. При этом

образовался практически нейтральный раствор (процессами гидролиза

пренебречь). К нему добавили 410 г 20%-ного раствора фосфата натрия.

Вычислите массовую долю хлорида натрия в конечном растворе.

1. Запишем, что нам дано. На ЕГЭ по химии не обязательно записывать

«дано», но я рекомендую это делать, чтобы не запутаться и более

внимательно прочитать задачу

2. Запишем уравнения реакций и формулы, которыми мы будем пользоваться:

3. Для начала найдём массу растворенного вещества HCl, а также его количество вещества:

-2

4. Работаем с массовой долей атомов. Массовая доля атомов определяется по формуле:

Нужно разделить массу атомов лития на массу всех веществ, в которых содержится
литий, тогда мы получим 56%
Нужно разделить массу атомов лития на массу всех веществ, в которых содержится литий, тогда мы получим 56%

5. Введем переменные:

На каждый атом Li приходится по x моль, поэтому умножили на 2 (2 атома Li в Li2O)
На каждый атом Li приходится по x моль, поэтому умножили на 2 (2 атома Li в Li2O)

6. Найдём массу Li, Li2O и Li3N

Так как масса находится по формуле: m=n*M, а нам известны

количества вещества и малярные массы, то получаем:

-5

7. Подставим значения в эту формулу:

-6

8. Работаем с соляной кислотой и уравнениями реакций

Мы уже знаем количество вещества HCl, по условии задачи кислота расходуется целиком и
не остаётся в избытке, поэтому мы смело можем использовать 2 моль, как сумму количества
кислоты на первую и вторую реакцию.
Мы уже знаем количество вещества HCl, по условии задачи кислота расходуется целиком и не остаётся в избытке, поэтому мы смело можем использовать 2 моль, как сумму количества кислоты на первую и вторую реакцию.
По уравнению 1 видно, что, если n(Li2O)=x моль, то n(HCl) будет 2x моль, так как стоит
коэффициент 2. Также и в уравнении 3
По уравнению 1 видно, что, если n(Li2O)=x моль, то n(HCl) будет 2x моль, так как стоит коэффициент 2. Также и в уравнении 3
Суммарное количество вещества HCl
Суммарное количество вещества HCl

9. Составляем систему уравнений:

Основные расчеты завершены, переходим к следующей части задачи: «К нему добавили 410 г 20%-ного раствора фосфата натрия. Вычислите массовую долю хлорида натрия в конечном растворе».
Основные расчеты завершены, переходим к следующей части задачи: «К нему добавили 410 г 20%-ного раствора фосфата натрия. Вычислите массовую долю хлорида натрия в конечном растворе».

10. Фосфат натрия будет реагировать с получившимся в результате двух химических реакций хлоридом лития

Для начала посмотрим какое количество вещества LiСl у нас
получилось. Получили в сумме n(LiCl) = 0,4 + 1,2 = 1,6 моль
Для начала посмотрим какое количество вещества LiСl у нас получилось. Получили в сумме n(LiCl) = 0,4 + 1,2 = 1,6 моль

11. Рассчитаем массу растворённого вещества и количество вещества фосфата натрия

-12

12. Запишем уравнение химической реакции и определим избыток и недостаток

На реакцию с Na3PO4 нам необходимо всего 1,5 моль LiCl (0,5*3=1,5), а у нас есть
1,6 моль, это значит, что LiCl в избытке, а считаем по недостатку
На реакцию с Na3PO4 нам необходимо всего 1,5 моль LiCl (0,5*3=1,5), а у нас есть 1,6 моль, это значит, что LiCl в избытке, а считаем по недостатку

13. Найдём массу искомого NaCl и Li3PO4. Масса Li3PO4 нужна для того, чтобы вычесть её из раствора, так как это осадок.

-14

14. Найдём массу конечного раствора, для этого нарисуем стакан

Масса конечного раствора будет складываться из массы HCl, добавленного Li2O и Li3N,
раствора Na3PO4 и вычитаем осадок Li3PO4
m(Li2O) = 0,2*30 = 6г
m(Li3N)=0,4*35=14г
Масса конечного раствора будет складываться из массы HCl, добавленного Li2O и Li3N, раствора Na3PO4 и вычитаем осадок Li3PO4 m(Li2O) = 0,2*30 = 6г m(Li3N)=0,4*35=14г

m конечного раствора = 365 + 410 + 6 + 14 - 58 = 737 г

15. Находим массовую долю хлорида натрия в оставшемся растворе

-16

Подборка похожих задач для самостоятельного решения

1. Смесь сульфида алюминия и алюминия обработали водой, при

этом выделилось 6,72 л (н.у.) газа. Если эту же смесь растворить

в избытке раствора гидроксида натрия, то выделится 3,36 л

(н.у.) газа. Определите массовую долю алюминия в исходной

смеси.

2. Смесь карбида алюминия и карбида кальция, в которой массовая долю

атомов углерода равна 30%, полностью растворили в 547,5 г соляной

кислоты. При этом соляная кислота прореагировала без остатка. К

образовавшемуся раствору добавили 1260 г 8%-ного раствора

гидрокарбоната натрия до полного завершения реакции. Вычислите

массовую долю кислоты в растворе, в котором растворили исходную смесь.

Ответ: ω(Al) = 26,5%

Ответ: ω(HCl) = 8%

3. Смесь оксида магния и фосфида магния, в которой массовая доля атомов

магния равна 54,4%, растворили в 365 г 34%-ной соляной кислоты. При этом

реагирующие вещества вступили в реакцию полностью. К полученному

раствору добавили 232 г 30%-ного раствора фторида калия. Вычислите

массовую долю хлорида калия в конечном растворе.

Ответ: ω(AlCl3) = 27,5%

4. Смесь сульфида и оксида алюминия, в которой массовая доля атомов

алюминия равна 50%, растворили в 700 г соляной кислоты, взятой в

избытке. Для полного поглощения выделившегося при этом газа

потребовалось 240 г 20%-ного раствора сульфата меди(II). Вычислите

массовую долю соли в растворе, образовавшемся после растворения

сульфида и оксида алюминия в кислоте.

Ответ: ω(KCl) = 14,9%