Добавить в корзинуПозвонить
Найти в Дзене
Будни репетитора

Тригонометрия: косинус суммы, разности и двойного угла

Продолжим наш разговор про формулы в тригонометрии. Формулы сложения - это формулы преобразования тригонометрических функций суммы и разности двух аргументов: Например, чтобы найти cos 75, воспользуемся первой формулой и или в задании №13, егэ, профиль воспользуемся сначала и той, и другой формулой А ещё из формулы косинус суммы легко получается формула (задание 7, егэ, профиль) Задание 1 Ответ:5 Можно вывести Задание 2 Ответ: 2 Задание 3 Ответ: 22,08 Задание 4 Ответ: -7 Для самостоятельного решения: Ответы для самопроверки: 1) -24; 2) -1,5; 3) -1,5 До встречи!
Оглавление
Продолжим наш разговор про формулы в тригонометрии.

Формулы сложения

Формулы сложения - это формулы преобразования тригонометрических функций суммы и разности двух аргументов:

Применение

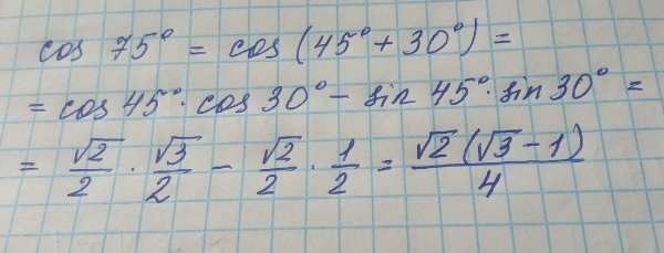
Например, чтобы найти cos 75, воспользуемся первой формулой и

-2

или в задании №13, егэ, профиль воспользуемся сначала и той, и другой формулой

-3

А ещё из формулы косинус суммы легко получается формула

косинус двойного угла

-4

Применение

(задание 7, егэ, профиль)

-5

Задание 1

-6

Ответ:5

Можно вывести

ещё две формулы косинус двойного угла

-7

Задание 2

-8

Ответ: 2

Задание 3

-9

Ответ: 22,08

Задание 4

-10

Ответ: -7

Для самостоятельного решения:
-11
Ответы для самопроверки: 1) -24; 2) -1,5; 3) -1,5

До встречи!