Найти в Дзене
IXBT.com

Астрономы обнаружили звезду с низким содержанием металлов, которая даёт информацию о химической эволюции ранней Вселенной

Астрономы из Корнеллского университета в Итаке (штат Нью-Йорк) провели хемо-динамическое исследование звезды HE 2315−4240 с очень низким содержанием металлов, используя телескоп Магеллана-Клэя в Чили. Результаты исследования, опубликованные на сервере препринтов arXiv, дают важные сведения о природе этой звезды. Звёзды с низким содержанием металлов являются редкими объектами в каталогах, на сегодняшний день обнаружено всего несколько тысяч звёзд с содержанием железа [Fe/H] ниже -2,0. Расширение всё ещё короткого списка звёзд с низким содержанием металлов имеет большое значение для астрономов, поскольку такие объекты могут улучшить знания о химической эволюции Вселенной. HE 2315−4240 является очень бедной металлами звездой на предполагаемом расстоянии около 9300 световых лет от Земли. Учитывая, что звезда плохо изучена и очень мало известно о её свойствах, группа астрономов решила исследовать её с помощью спектрографа Magellan Inamori Kyocera Echelle (MIKE), установленного на телескопе

Астрономы из Корнеллского университета в Итаке (штат Нью-Йорк) провели хемо-динамическое исследование звезды HE 2315−4240 с очень низким содержанием металлов, используя телескоп Магеллана-Клэя в Чили. Результаты исследования, опубликованные на сервере препринтов arXiv, дают важные сведения о природе этой звезды.

Звёзды с низким содержанием металлов являются редкими объектами в каталогах, на сегодняшний день обнаружено всего несколько тысяч звёзд с содержанием железа [Fe/H] ниже -2,0. Расширение всё ещё короткого списка звёзд с низким содержанием металлов имеет большое значение для астрономов, поскольку такие объекты могут улучшить знания о химической эволюции Вселенной.

Источник: DALL-E  📷
Источник: DALL-E 📷

HE 2315−4240 является очень бедной металлами звездой на предполагаемом расстоянии около 9300 световых лет от Земли. Учитывая, что звезда плохо изучена и очень мало известно о её свойствах, группа астрономов решила исследовать её с помощью спектрографа Magellan Inamori Kyocera Echelle (MIKE), установленного на телескопе Magellan-Clay.

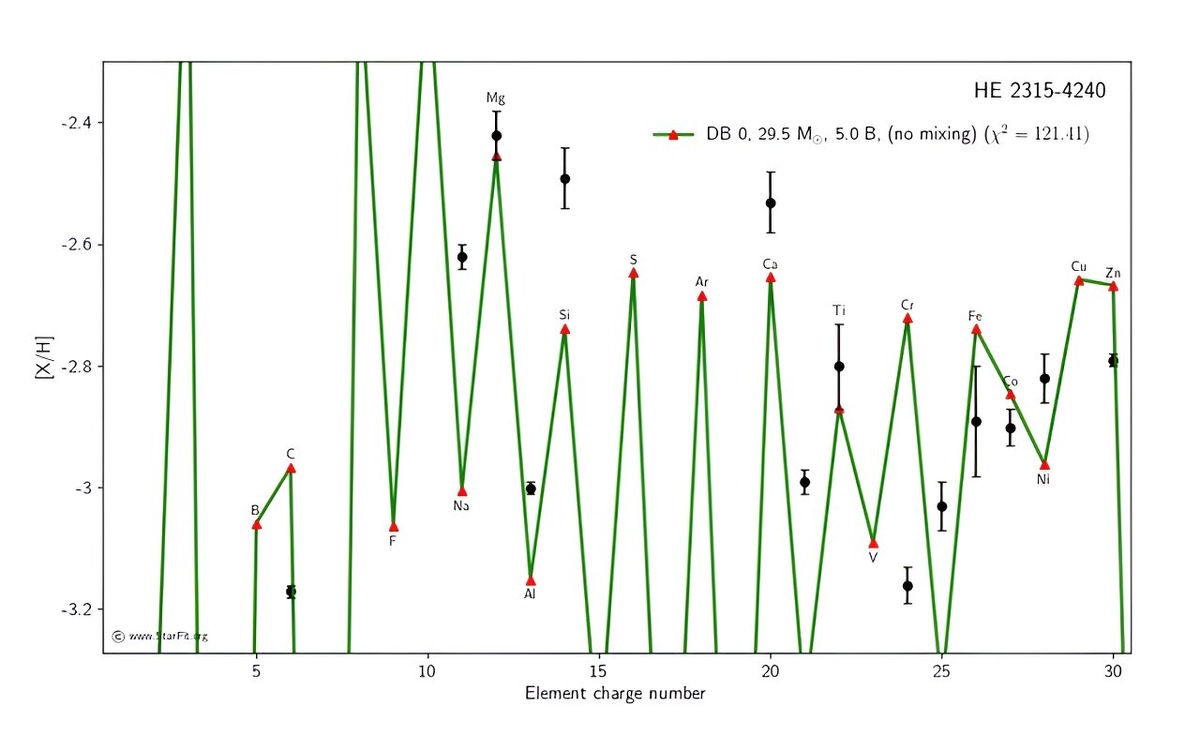
В результате наблюдений астрономы получили содержание 19 элементов. Оказалось, что альфа-элементы, такие как кислород, магний, кремний и титан, имеют более высокое содержание, чем такие как железо, никель и кобальт. Это указывает на то, что звезда образовалась из газа, обогащённого взрывами сверхновых, которые произвели альфа-элементы, но не железо-элементы.

Кроме того, наблюдения показали, что HE 2315−4240 имеет низкие соотношения содержания стронция к барию и углерода к железу. Эти результаты указывают на то, что звезда аккрецирована и сформирована в карликовой галактике. Эффективная температура HE 2315−4240 оценивается в 5181 К, что соответствует типичной температуре поверхности красного гиганта.

Коэффициенты распространённости элементов звезды HE 2315−4240.    
 Источник: Wang et al., 2024.  📷
Коэффициенты распространённости элементов звезды HE 2315−4240. Источник: Wang et al., 2024. 📷

Согласно исследованию, металличность HE 2315−4240, а также обилие магния и кремния указывают на то, что звезда образовалась из газа, обогащённого взрывом сверхновой типа II. Астрономы предполагают, что прародителем, скорее всего, была массивная (около 10 солнечных масс) звезда населения III. Звёзды населения III предполагаются самыми первыми звёздами, которые образовались из первичного газа, который образовался после Большого взрыва. Этот газ состоял из водорода, гелия и лития, и не содержал тяжёлых элементов, которые были созданы в более поздних поколениях звёзд.

На основании проведённого анализа исследователи предполагают, что HE 2315−4240 образовалась за пределами галактического диска, вероятно, в небольшой карликовой галактике, и впоследствии была поглощена растущим Млечным Путём.