Добавить в корзинуПозвонить
Найти в Дзене

История резины

В 1492 году в дебрях Нового Света, среди диких племен, Христофор Колумб обнаружил нечто, что впоследствии перевернёт мир. Индейцы играли мячом из необычного материала, но конкистадоры, ослеплённые блеском золота, не разглядели в нём будущего. Прошли века, и каучук, когда-то отвергнутый, стал основой для создания целого мира новых возможностей. Пока Старый Свет познавал тайны шёлка и пороха, в глубинах Нового Света, среди диких джунглей Амазонии, индейцы уже обладали секретом удивительного материала – каучука. Млечный сок священного дерева гевеи (рис.1), содержащий до 50% каучука (кау чу на языке индейцев означает "слёзы дерева"), был для них настоящим даром природы. Из него они создавали удивительные вещи: непромокаемые лодки, которые скользили по речным просторам, обувь, защищающая ноги от влаги и колючек, и даже мячи для игры, которые высоко подпрыгивали. Каучук был не просто материалом, а частью их культуры, олицетворяя связь с природой. Натуральный каучук представляет собой полимер

В 1492 году в дебрях Нового Света, среди диких племен, Христофор Колумб обнаружил нечто, что впоследствии перевернёт мир. Индейцы играли мячом из необычного материала, но конкистадоры, ослеплённые блеском золота, не разглядели в нём будущего. Прошли века, и каучук, когда-то отвергнутый, стал основой для создания целого мира новых возможностей.

Пока Старый Свет познавал тайны шёлка и пороха, в глубинах Нового Света, среди диких джунглей Амазонии, индейцы уже обладали секретом удивительного материала – каучука. Млечный сок священного дерева гевеи (рис.1), содержащий до 50% каучука (кау чу на языке индейцев означает "слёзы дерева"), был для них настоящим даром природы. Из него они создавали удивительные вещи: непромокаемые лодки, которые скользили по речным просторам, обувь, защищающая ноги от влаги и колючек, и даже мячи для игры, которые высоко подпрыгивали. Каучук был не просто материалом, а частью их культуры, олицетворяя связь с природой.

Рис. 1 – Сбор латекса с каучукового дерева                                                                      источник: https://commons.wikimedia.org/wiki/File:Latex_-_Hevea_-_Cameroun.JPG
Рис. 1 – Сбор латекса с каучукового дерева источник: https://commons.wikimedia.org/wiki/File:Latex_-_Hevea_-_Cameroun.JPG

Натуральный каучук представляет собой полимер изопрена, который получают коагуляцией латекса с последующей сушкой. Его химическая формула (C5H8)n. Из-за большого содержания каучука гевея является основным, но не единственным его источником: к каучуконосным растениям относят также Кок-Сагыз, Тау-Сагыз, Крым-Сагыз (он же Одуванчик осенний) и Фикус каучуконосный, из которого, согласно сказке Николая Носова про Незнайку, коротышки добывали резиновый сок, а уже из него они делали мячи, калоши и воздушные шары.

Но вернёмся в Южную Америку. На дворе стоит 1736 год. Члены Французской экспедиции во главе с Шарлем Мари де ла Кондамином (1701-1774) открывают дерево, выделяющее затвердевающую на воздухе смолу, которую они называют резиной (от лат. resina - смола). В 1745 г. Шарль делает доклад о каучуке во Французской Академии Наук, чем открывает научный и коммерческий интерес к материалу в Европе. Начинаются поиски возможных способов применения этого вещества.

В 1770 году Дзозеф Пристли (1733-1804) – выдающийся химик, открывший кислород, – обнаруживает, что ластик из каучука прекрасно стирает написанное карандашом. Это становится первым повсеместным применением каучука, а данный факт чуть позже ляжет в основу английского слова «rubber» (резина), образованного от глагола «to rub» (стирать, тереть).

Из-за неустойчивости латекса его транспортировка в Новый Свет считается довольно хлопотным делом. В 1790 г. разрабатывается способ консервирования латекса щёлочью. Ирландец Чарльз Макинтош (1766-1843) экспериментирует с нафтой, чтобы придумать другой способ стабилизации каучука. В 1823 году он замечает, что случайно испачканный раствором каучука рукав пиджака стал водонепроницаемым, и решает продолжить изучение этого свойства. Пропитанная ткань, действительно, становится водонепроницаемой, однако имеет липкую поверхность и довольно специфичный запах. Вопрос липкости Макинтош решает за счёт применения дополнительного слоя ткани, но от неприятного запаха избавиться не удаётся.

И хотя об этих свойствах было известно ранее, Чарльз патентует новинку и открывает производство водонепроницаемых плащей, которые с тех пор называются по имени своего разработчика.

В дождливой Шотландии макинтоши становятся популярными, но за её пределами плащи не пользуются спросом. К тому же, они обладают двумя отрицательными качествами: в жару макинтоши становятся липкими, а в мороз они дубеют и трескаются. Решить эту проблему удастся позже, после открытия Чарльза Гудиера.

В 1832 году американский химик Натаниель Хейворд (1808-1865) открывает действие серы на растворы каучука, а его коллега из Германии, Фридрих Зюдерсдорф, обнаруживает, что под действием серы при нагревании улучшаются свойства каучука и снижается его клейкость. Воспользовавшись работами двух ученых, в 1839 г. Чарльз Нельсон Гудиер (1800-1860) открывает процесс вулканизации.

По легенде, жена практически разорившегося Гудиера велела ему прекратить эксперименты с каучуком, на которые он потратил почти всё своё состояние и несколько лет трудов. Не желая ругаться с супругой, Чарльз выкидывает все образцы, но непоколебимая вера в возможные уникальные свойства каучука заставляет его тайком от жены всё-таки продолжить работы. Как-то раз, во время очередных экспериментов с каучуком и серой, внезапно домой возвращается жена Чарльза, и он в спешке бросает все образцы в печь, чтобы скрыть следы своих работ. Какого же было его удивление, когда спёкшийся образец приобрёл нужные свойства. Так было обнаружено, что добавление серы и выдержка при высоких температурах повышает его твёрдость, прочность, эластичность, тепло- и морозостойкость. Этот процесс Гудиер решает назвать вулканизацией в честь древнеримского бога разрушительного огня, Вулкана. По другой версии вулканизация названа так, потому что в те времена серу в основном находили в жерлах потухших вулканов.

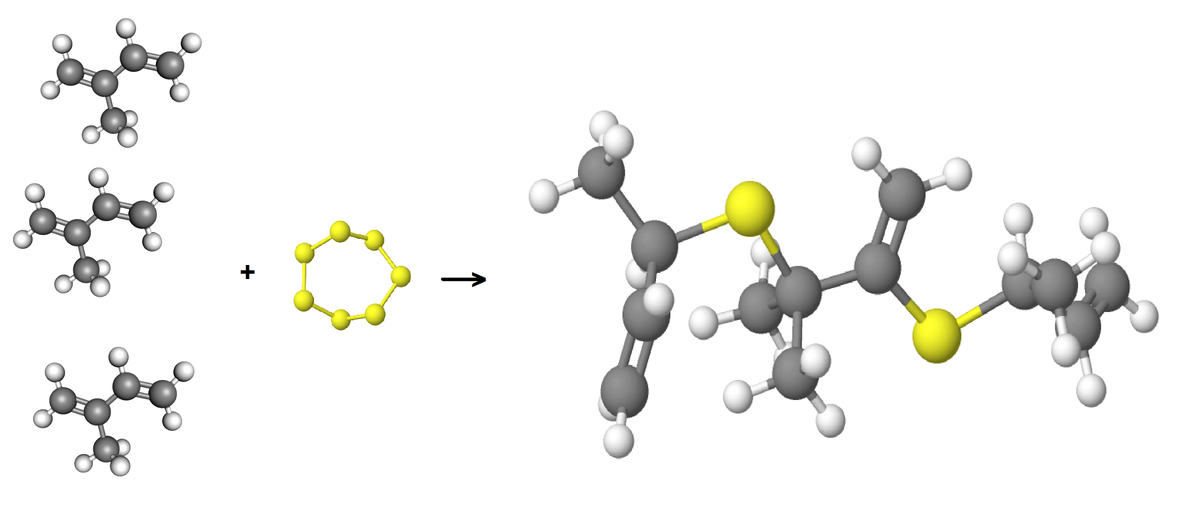
Таким образом, был открыт самый важный процесс в производстве резиновых изделий, во время которого атомы серы вступают во взаимодействие с линейными молекулами каучука (рис.2) и сшивают их друг с другом, образуя гигантские макромолекулы с единой пространственной сеткой, после чего последние утрачивают способность необратимо смещаться друг относительно друга.

Рис. 2 – Схема вулканизации каучука с образованием «серных мостиков»                             (источник: Собственный рисунок с использованием программы MolView)
Рис. 2 – Схема вулканизации каучука с образованием «серных мостиков» (источник: Собственный рисунок с использованием программы MolView)

Основным компонентом резиновой смеси является каучук (натуральный или синтетический) или смесь каучуков, но кроме них в состав смеси входят также различные добавки: вулканизирующие вещества, ускорители, наполнители, пластификаторы и т.д. Подбирая различные виды каучуков и добавок, можно в значительной степени изменять физико-механические свойства резины. Благодаря вулканизации пластичная резиновая смесь приобретает упругие и высокоэластические свойства.

Как дань уважения открытию Чарльза в 1898 году так назовут всемирно известную шинную компанию Goodyear.

В 1846 году 23-летний Роберт Уильям Томсон (1822-1873) получает патент на первую пневматическую резиновую шину («воздушную» шину, как назвал её сам изобретатель). Несмотря на очевидные преимущества пневматической шины, разработка опережает своё время: ещё нет автомобилей, да и велосипеды являются диковинкой, поэтому коммерческого успеха она не находит. Но спустя полвека этот патент ещё напомнит о себе.

После открытия процесса вулканизациии начинается бурный рост добычи натурального каучука в Бразилии, благодаря которому экономика страны совершает головокружительный рост. Нечто подобное случится со странами Ближнего Востока, когда на их территории будут найдены огромные запасы нефти.

Ажиотаж спроса приводит к тому, что на мировых рынках стоимость каучука сравнивается с серебром. Правительство Бразилии, осознав какой счастливый билет они вытянули, единогласно принимает весьма суровый закон о запрете вывоза семян гевеи: за попытку контрабанды семян или молодых деревьев полагается смертная казнь.

Мир накрывает каучуковая лихорадка: тысячи авантюристов устремляются в Бразилию, ведомые желанием быстро разбогатеть. При полном отсутствии начальных вложений в бизнес и примитивной технологии сбора латекса с одного дерева можно снять до 7 кг каучука в год. Для плантаторов это поистине золотая пора.

Самым роскошным городом западного полушария становится город-эльдорадо Манаус – каучуковая столица Бразилии, однако вырученные деньги тратятся не на развитие производства, а на потребление импортных товаров, предметов роскоши и строительство помпезных строений. Так, например, в конце 19 века в Манаусе откроется всемирно известный театр Амазонас – символ прекрасной и безмятежной жизни. И в этом плане в монархиях Персидского залива спустя столетие повторят те же ошибки.

Ряд европейских стран предпринимает попытки добывать каучук в своих колониях из местных каучуконосов, но наладить сколько-нибудь серьёзное производство у них не получается. И в этот самый момент появляется идея высадки деревьев гевеи в Юго-Восточной Азии, где для них был подходящий климат.

И здесь нужно сделать ремарку про Британскую империю. В первой половине 19 века Британия остро нуждается в китайских товарах (чай, шёлк, фарфор и т.д.), но взамен китайцам не нужны товары «варваров» – за всё они требуют только серебряные монеты.

Викторианская эпоха в Англии подарит миру не только промышленную революцию, но и новые традиции. Одной из таких традиций становится пятичасовое чаепитие (five o'clock tea), которое быстро завоёвывает популярность в высшем обществе. Образ вечного чаепития, запечатленный в знаменитой сказке Льюиса Кэролла "Алиса в стране чудес", стал символом этой английской привычки."

Повальное увлечение чаем жителями туманного Альбиона приводит к чудовищному торговому дисбалансу между Китаем и Британией, и последние поспешно ищут альтернативу серебру, и, надо сказать, они находят решение – стараниями Соединённого Королевства Китай плотно подсаживается на опиум, за который они готовы отдать любые свои товары. Две опиумные войны так серьёзно бьют по благополучию Китая, его экономике и обществу, что позже этот период времени войдёт в историю Китая как столетие унижения. Именно в этот момент Британия получит Гонконг, а Россия – территории будущих Приморского и частично Хабаровского краёв.

После этого англичане предпринимают следующую попытку ослабить чайную монополию Китая и засеивают камелией китайской (чайным кустом) свои индийские и цейлонские колонии. Таким образом, хорошо всем известный индийский/цейлонский чай берёт свои корни в Китае.

Но британцы не были бы британцами, если бы не захотели разрушить монополию Бразилии на каучук. Предпринимается несколько попыток, и фортуна, наконец, улыбается британскому исследователю Генри Викгему (1846-1928). Понимая стратегическую важность каучука, в 1876 году он отправляется в рискованную экспедицию вглубь бразильской Амазонии. С помощью местных индейцев ему удаётся собрать и тайно вывезти в Англию около 70 000 семян гевеи. Несмотря на значительные потери при прорастании, оставшиеся саженцы дают начало плантациям каучуконосов в других регионах мира. Британцы высаживают гевею сначала в Шри-Ланке, а затем и в других тропических районах Юго-Восточной Азии. Гевеи в Коломбо и Сингапуре очень скоро начинают давать каучука в четыре раза больше, чем их дикие предки в Амазонии, при этом их стоимость в три раза ниже. Спустя 30 лет азиатские деревья будут давать больше каучукового сырья, чем вся Южная Америка.

Золотой дождь, пролившийся на Бразилию, превратился в ледяной душ. После периода невиданного процветания, связанного с каучуком, наступила эпоха упадка и разочарования. Однако, несмотря на все трудности, каучуковая лихорадка сыграла важную роль в освоении Амазонии, оставив после себя заметный след в истории региона.

В 1887 году 10-летнему сыну ветеринара Джона Бойда Данлопа (1840-1921) врач прописывает катание на велосипеде, но из-за езды по неровным тротуарам у него постоянно из-за этого болит голова. И тут Данлопу приходит в голову гениальная мысль надеть на колесо обручи, сделанные из поливочного шланга и надуть их воздухом. Он патентует новинку, закрывает свою ветклинику и организует собственную компанию по производству шин. Чуть позже патент будет отозван из-за более раннего, но всеми забытого патента Роберта Томсона.

В июне 1889 года в Белфасте весьма посредственный велогонщик Уильям Хьюм выигрывает все три заезда в гонках благодаря установленным на его велосипеде пневматическим шинам. Пожалуй, лучшую рекламу новинке было бы сложно придумать.

В этом же году братья Эдуард и Андре Мишлен, до этого производившие различные резиновые изделия, осваивают новую для себя нишу: производство шин для велосипедов, а в 1891 году они получают патент на производство съёмных пневматических шин для автомобилей. Преимущества новинки очевидны: автомобили с пневматическими шинами обладают лучшей плавностью хода и проходимостью.

Целый ряд усовершенствований шин приводят к повсеместному применению пневматических шин на всех средствах передвижения и бурному развитию шинной промышленности, которой также остро требуется каучук.

Становится очевидно, что возможности производства натурального каучука в самое ближайшее время достигнут своего предела. В разных частях Земли проводятся опыты по созданию искусственного каучука, в том числе над этой проблемой бьются и в царской России. Появляются первые результаты, но за пределы лабораторий технологии не выходят.

Наступает ХХ век. В Германии тоже пробуют создать синтетический каучук, и в 1909 году Фрицу Хофманну (1866-1956) удаётся синтезировать метилкаучук. Хотя его качество значительно уступает натуральному, всё-таки появляются новые производства. Однако из-за плохой тепло-, масло и бензостойкости искусственного каучука, развитие данного направления постепенно сходит на нет.

После убийства сербским националистом эрцгерцога Австро-Венгрии Кайзеровская Германия начинает Первую мировую войну. «Владычица морей» вводит санкции против Второго рейха и тем самым блокирует поставку каучука в страну. Германской армии срочно нужен качественный каучук, и поначалу все надеются на контрабандные поставки, но очень скоро приходит осознание того, что в условиях экономической блокады надеяться можно только на свои силы. Спешно восстанавливаются закрытые производства искусственного каучука, но существенно исправить положение дел до конца войны немцы так и не смогут. С отменой эмбарго потребность в низкокачественном искусственном метилкаучуке полностью пропадает, и с тех пор данный вид каучука не производится.

В то же время только что созданный Советский Союз из-за дипломатической изоляции остро нуждается в каучуке, и страна пытается избавиться от иностранной зависимости в подобном сырье. Есть два основных решения этой проблемы: получать каучук натуральный из собственных каучуконосов или же производить синтетический каучук.

В 1925 г. в Бразилию отправляется специальная экспедиция за семенами гевеи. После успешной доставки семян в СССР на юге черноморского побережья высаживаются саженцы, однако южноамериканские растения не приживаются в нашей холодной для них стране. Тогда агрономы решают развивать выращивание собственных каучуконосов, но содержание каучука в них очень низкое, к тому же они являются травянистыми растениями, а, значит, требуют гораздо большего количества посевных площадей, при этом из-за продовольственных проблем молодая советская власть не может пожертвовать сельскохозяйственными землями.

Поскольку агрономы не смогли освоить получение натурального каучука, эстафету у них перенимают химики, задача которых сводится к разработке синтетического каучука и его производству в промышленных масштабах.

В 1926 году Советское правительство объявляет конкурс на лучший способ промышленного получения синтетического каучука. Для победы нужно представить 2 кг синтетического каучука и разработать схему его получения. Свойства каучука не должны уступать натуральному, а сырьё для него должно быть доступным и дешёвым.

О конкурсе узнаёт выдающийся русский химик Сергей Васильевич Лебедев (1874-1934), который к тому времени уже имеет свои наработки в данной теме, и собирает команду для участия в конкурсе. Уже в следующем году Лебедев С.В. со своим методом получения бутадиенового каучука из этилового спирта занимает первое место. Далее учёный разрабатывает способы получения из него резины и резинотехнических изделий.

30-е годы ХX века. Вторая мировая война ещё не началась, и весь мир с надеждой смотрит в будущее. В 1932 году в Ярославле на первом в СССР заводе синтетического каучука производят первую промышленную партию синтетического каучука.

Только что созданная отрасль набирает обороты, но скоропостижная кончина Сергея Васильевича Лебедева в 1934 году сильно бьёт по её развитию.

Забегая немного вперёд, стоит сказать, что в начале ХXI века завод в Ярославле обанкротится и перестанет существовать, а такие компании, как Goodyear, Dunlop и Michelin станут крупнейшими производителями шин.

Производство синтетического каучука осваивают ещё в двух странах: США и Германии. Но последняя жаждет реванша за проигрыш в Первой мировой войне, и двадцатилетнее перемирие подходит к концу. Во время новой войны бóльшая часть европейских колоний Юго-Восточной Азии оказывается под властью союзника немцев – Японии. Воюющие против Третьего рейха страны лишаются доступа к натуральному каучуку.

Во время Второй мировой войны резиновые уплотнения имеют решающее значение для военной техники. Будь то самолёт, подводная лодка или противогаз – всё это не может работать без резинотехнических изделий. Поэтому в Бразилии наступает вторая волна каучуковой лихорадки, которая на этот раз окажется ещё более скоротечной.

Спрос на прочные и надёжные уплотнения толкает исследователей к изучению новых материалов и производственных процессов. Последующие 20 лет становятся поворотным моментом в отрасли. Появляются новые синтетические каучуки с улучшенными свойствами. Они становятся значительно дешевле. Изобретаются новые виды вулканизации (без использования серы и серосодержащих соединений).

С отправкой человека в космос встаёт вопрос стремительного атрофирования мышц у космонавтов вследствие резко сниженных нагрузок. Чтобы этого не произошло, космонавты должны поддерживать себя в хорошей физической форме, но как это сделать, если самая тяжёлая гантель в космосе становится невесомой? Ответом стали резиновые эспандеры. Их упругость, как на Земле, так и в Космосе остаётся неизменной.

Стоит отметить, что ряд удивительных свойств резины делает её абсолютно уникальным материалом. Любой школьник знает, что при нагреве подавляющее количество веществ расширяется. Но резина обладает прямо противоположным эффектом: при нагреве она сжимается.

На этом эффекте построена модель теплового двигателя, в котором в велосипедном колесе вместо спиц натянуты резинки. Если нагревать резиновые спицы с одной стороны, то за счёт смещения центра колеса колесо приходит во вращение. При вращении спицы выходят из области нагрева и охлаждаются.

Рис. 3 – Модель теплового двигателя                                                                        (источник: https://commons.wikimedia.org/wiki/File:Ericsson_bakelittelefon_1931.jpg)
Рис. 3 – Модель теплового двигателя (источник: https://commons.wikimedia.org/wiki/File:Ericsson_bakelittelefon_1931.jpg)

В ХХI веке молодая отрасль достигает своей зрелости, не переставая предлагать потребителям новые решения. На сегодняшний день самым маленьким серийным резиновым уплотнением является кольцо круглого сечения с внутренним диаметром 0,2 мм и диаметром сечения всего 0,05 мм. В 2019 году в книгу рекордов Гиннеса вошло самое большое уплотнение: кольцо с длиной окружности 364 метра, которое было проложено вокруг средневекового аббатства Тьюксбери в Великобритании.

При работе на строительных площадках довольно часто происходят проколы шин, что приводит к простоям техники. Компания Michelin нашла способ решения данной проблемы, разработав новинку под названием Tweel (рис.4) (акроним от слов английских слов «tire» (шина) и «wheel» (колесо). Продажи начались в 2012 году.

Рис. 4 – Погрузчик с безвоздушными шинами Tweel                                                         (источник:  https://commons.wikimedia.org/wiki/File:MICHELIN_X-Tweel_on_Skid_Steer.jpg
Рис. 4 – Погрузчик с безвоздушными шинами Tweel (источник: https://commons.wikimedia.org/wiki/File:MICHELIN_X-Tweel_on_Skid_Steer.jpg

Tweel отличается постоянным пятном контакта (меньше буксует на скользкой поверхности), высокой стабильностью, снижает эффект «подпрыгивания» и делает ход машины мягче. К недостаткам относят большой вес, повышенное сопротивление качению и невозможность развить большую скорость.

Как бы там ни было, различные шинные компании работают над дальнейшим развитием безвоздушных шин, видя в этом большие перспективы.

С каждым годом мировая потребность в резине увеличивается в среднем на 3%. Шинная промышленность потребляет более половины всего каучука в мире. Примерно 40% всей производимой резины – из натурального каучука, так что каучуковых деревьев в мире меньше не становится, при этом по всему миру продолжают открываться и новые заводы по производству синтетических каучуков.

Вот таким получился путь каучука от экзотической игрушки южноамериканских аборигенов до массового производства несметного количества изделий, применяющихся во всех областях техники и жизни людей.

Материал статьи подготовлен с использованием материалов следующих источников:

1. http://wikipedia.org– свободная энциклопедия Википедия,

2. http://bigenc.ru – Большая российская энциклопедия (портал),

3. http://kp.ru – интернет-издание «Комсомольская правда».

4. Агаянц, Иван Михайлович. Пять столетий каучука и резины [Текст] / Агаянц И. М. - Москва: Модерн - А, 2002. - 431 с.