Добавить в корзинуПозвонить
Найти в Дзене

Исследование астероидов приближает разгадку пятой силы Вселенной

В 2023 году миссия NASA OSIRIS-REx совершила настоящий прорыв, доставив на Землю образцы с астероида Бенну. Это событие открыло новые горизонты не только в изучении состава небесных тел, но и в исследовании фундаментальных законов физики. Международная группа ученых, возглавляемая специалистами из Лос-Аламосской национальной лаборатории, использовала данные слежения за Бенну для проверки гипотезы о существовании пятой фундаментальной силы Вселенной. Ю-Дай Цай, ведущий автор исследования, подчеркивает: "Анализ траектории Бенну может полностью изменить наше понимание Стандартной модели физики, гравитации и темной материи". Действительно, малейшие отклонения в движении астероида могут стать ключом к разгадке тайн мироздания. Для достижения максимальной точности ученые использовали комбинацию наземных и космических наблюдений. Оптические и радиолокационные данные позволили восстановить траекторию Бенну с момента его открытия в 1999 году. OSIRIS-REx дополнил эту информацию высокоточными изм
Оглавление
Астероид Бенну в окружении космических собратьев. Изображение предоставлено NASA.
Астероид Бенну в окружении космических собратьев. Изображение предоставлено NASA.

Миссия OSIRIS-REx: ключ к новым открытиям

В 2023 году миссия NASA OSIRIS-REx совершила настоящий прорыв, доставив на Землю образцы с астероида Бенну. Это событие открыло новые горизонты не только в изучении состава небесных тел, но и в исследовании фундаментальных законов физики. Международная группа ученых, возглавляемая специалистами из Лос-Аламосской национальной лаборатории, использовала данные слежения за Бенну для проверки гипотезы о существовании пятой фундаментальной силы Вселенной.

Ю-Дай Цай, ведущий автор исследования, подчеркивает: "Анализ траектории Бенну может полностью изменить наше понимание Стандартной модели физики, гравитации и темной материи". Действительно, малейшие отклонения в движении астероида могут стать ключом к разгадке тайн мироздания.

Точность измерений - залог успеха

Для достижения максимальной точности ученые использовали комбинацию наземных и космических наблюдений. Оптические и радиолокационные данные позволили восстановить траекторию Бенну с момента его открытия в 1999 году. OSIRIS-REx дополнил эту информацию высокоточными измерениями в X-диапазоне.

Интересно, что точность определения положения Бенну достигла нескольких сантиметров на расстоянии миллионов километров от Земли. Это сравнимо с тем, как если бы мы могли разглядеть песчинку на пляже с высоты орбиты МКС.

На пути к новой физике

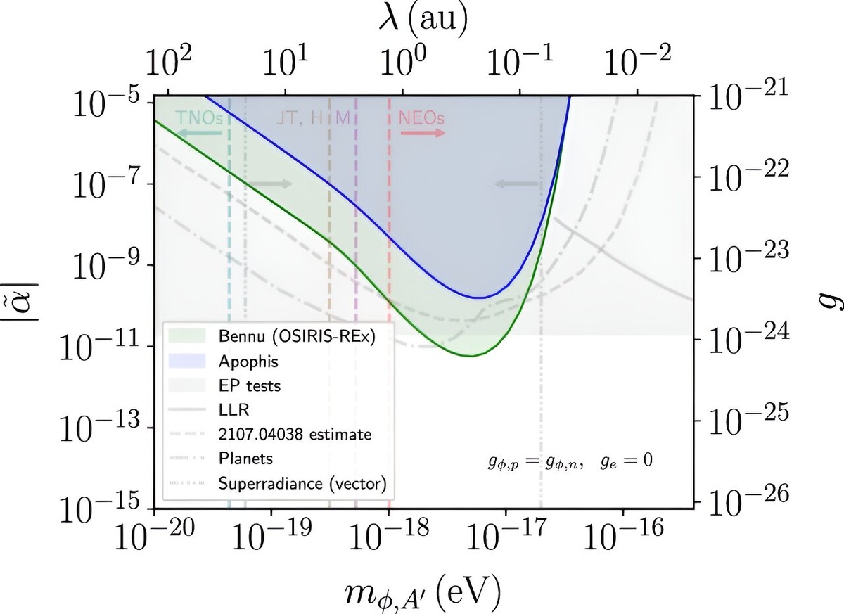
Санни Вагноцци, соавтор исследования из Университета Тренто, отмечает: "Полученные нами ограничения на пятую силу типа Юкавы - одни из самых строгих на сегодняшний день". Это открывает новые возможности в поиске сверхлегких бозонов, темной материи и других расширений Стандартной модели.

История повторяется?

Изучение аномалий в движении небесных тел уже приводило к великим открытиям в прошлом. Достаточно вспомнить, как наблюдения за орбитой Урана привели к открытию Нептуна. Сегодня ученые надеются, что исследование астероидов поможет раскрыть тайны темной материи и темной энергии, которые, по современным представлениям, составляют около 95% массы-энергии Вселенной.

Любопытно, что если бы темная материя была видимой, ночное небо выглядело бы совершенно иначе. Мы бы наблюдали огромные светящиеся гало вокруг галактик, напоминающие гигантские медузы в космическом океане.

-2

Диаграмма, иллюстрирующая пределы мощности и охвата гипотетических пятых сил. Источник: исследование в журнале Communications Physics, 2024 год.

Взгляд в будущее: миссия к Апофису

Успех исследований Бенну вдохновил ученых на новые амбициозные проекты. Следующей целью станет астероид Апофис, который в 2029 году пролетит всего в 32 000 километрах от Земли. Это расстояние меньше, чем орбита геостационарных спутников!

Космический аппарат OSIRIS-APEX будет изучать влияние гравитации Земли на Апофис, что предоставит уникальные данные для проверки теорий о пятой силе. Кроме того, ученые рассматривают возможность использования квантовых технологий для повышения точности измерений.

Стоит отметить, что если бы Апофис был размером с футбольное поле, то при его максимальном сближении с Землей он выглядел бы на небе размером примерно с полную Луну. Это зрелище могло бы наблюдаться невооруженным глазом из некоторых регионов Земли.

Исследование астероидов открывает перед нами удивительные перспективы. Оно не только помогает лучше понять угрозы из космоса, но и приближает нас к разгадке фундаментальных загадок Вселенной. Кто знает, может быть, именно наблюдения за этими космическими странниками помогут нам совершить следующий квантовый скачок в понимании мироздания?

По материалам Брайан Кинан, Лос-Аламосская национальная лаборатория