Найти в Дзене

Пример расчёта по новой методике гидравлической схемы с 3-мя типами тройников и одной крестовиной

Дугинов Л.А. L.duginov@mail.ru Ключевые слова: гидравлические схемы с тройниками и крестовинами, новая методика гидравлического расчёта и КМС тройников и крестовин. Введение Рис.1 Гидравлическая схема, содержащая 4 тройника (уз.1-4) и одну крестовину (уз.5) Данный пример расчёта гидравлической схемы, содержащий 4 тройника и крестовину, из которых 2 тройника приточных (узлы 2 и 4),а также 2 тройника на противоток и слияние (узлы 1 и 3) и одну крестовину на слияние 3-х потоков (узел 5). В этом примере используются следующие две новинки для гидравлических расчётов: О новом методе расчёта сложных гидравлических цепей Данный метод решения (как показал многолетний опыт расчётов простых и сложных гидравлических схем) является самым простым, быстрым и надёжным среди методик, методичек и способов, применяемых в современных расчётах систем трубопроводов. Ниже приводится вывод этой итерационной формулы. Для каждого элементарного участка рассчитываемой схемы записываются две формулы,

Дугинов Л.А. L.duginov@mail.ru

Ключевые слова: гидравлические схемы с тройниками и крестовинами, новая методика гидравлического расчёта и КМС тройников и крестовин.

Введение

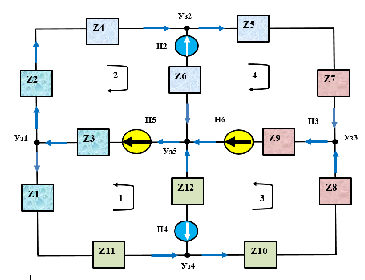
Рис.1 Гидравлическая схема, содержащая 4 тройника (уз.1-4) и одну крестовину (уз.5)

Данный пример расчёта гидравлической схемы, содержащий 4 тройника и крестовину, из которых 2 тройника приточных (узлы 2 и 4),а также 2 тройника на противоток и слияние (узлы 1 и 3) и одну крестовину на слияние 3-х потоков (узел 5). В этом примере используются следующие две новинки для гидравлических расчётов:

  1. новый метод расчёта сложных гидравлических цепей,
  2. новая методика расчёта КМС для всех типов тройников и крестовин.

О новом методе расчёта сложных гидравлических цепей

Данный метод решения (как показал многолетний опыт расчётов простых и сложных гидравлических схем) является самым простым, быстрым и надёжным среди методик, методичек и способов, применяемых в современных расчётах систем трубопроводов. Ниже приводится вывод этой итерационной формулы. Для каждого элементарного участка рассчитываемой схемы записываются две формулы, по которым определяются падения напоров DH:

-2

При n=2 формула (3) превращается в (4), такой формулой удобно пользоваться когда падения напоров на элементарных участках схемы имеют только квадратичную зависимость: DH=Zo*q^2.

Из формулы (2), не решая эту систему уравнений, можно получить ещё одну формулу для расчёта линейного сопротивления любого участка гидравлической цепи:

-3

О новой методике расчёта КМС для всех типов тройников и крестовин.

Для определения КМС на входе и выходе из каналов всех типов тройников и крестовины применены известные формулы из справочника Идельчика И.Е. (л.3) в которых вместо соотношений сечений F1-F12 использованы соотношения скоростей V1-V12. При этом скорости в узлах Uz1,Uz3 и Uz5 приняты (как базовые) равными нулю. Для расчёта КМС входа в 6-й и 12-й ветвях базовые скорости в узлах Vuz2a и Vuz4a считаются по ниже приведённым формулам. В остальных случаях (Vuz2 и Vuz4) считаются как средние между скоростями в соседних ветвях.

Формулы для скоростей потока в узлах схемы № 1, 2, 2а, 3-4, 4а, 5

-4

Рис.2 Тройник с разделением потоков для узла 1

-5
-6

Рис.3 Тройник на слияние потоков для узла 3

-7
-8

Рис.4 Тройник приточный для узла 2

-9
-10

Рис.5 Тройник приточный для узла 4

-11
-12

Рис.6 Крестовина на слияние для узла 5

-13
-14
-15
-16
-17
-18
-19
-20
-21

Таблица 1 Результаты расчёта массовых расходов воды в 12 ветвях гидравлической схемы, показанной на рис.1, в зависимости от длины труб Lk=L1, L2, L3,L4...L12. (Vk3-максимальная скорость для всей схемы (в 3-й ветви))

-22

Выводы

  1. Новый метод расчёта гидравлических схем (по формулам 3-4) позволяет получать стабильные результаты за несколько итераций (5-8), несмотря на коррекцию величин коэффициентов трения, КМС для каждой ветви схемы замещения и напорных элементов Н2 и Н4 (в пределах каждой итерации).
  2. Для определения КМС на входе и выходе из каналов всех типов тройников и крестовины применены известные формулы из справочника Идельчика И.Е. (л.3) в которых вместо соотношений сечений F1-F12 использованы соотношения скоростей V1-V12. Это более удобно для процесса программирования, так как сокращает объём программы и делает более ясной логику их работы.
  3. В табл.1 показана динамика изменения величин массовых расходов qmk, максимальной скорости Vk3 и напорных элементов Н2 и Н4 при уменьшении длины трубы Lk одновременно в каждой ветви схемы от 10 м. до 0.0625 м.
  4. Новый метод расчёта сложных гидравлических схем с тройниками и крестовинами всех типов может быть рекомендован при проектировании водоснабжения и водяного отопления помещений.

СПИСОК ЛИТЕРАТУРЫ

1. Аврух В.Ю., Дугинов Л.А., Карпушина И.Г., Шифрин В.Л. «Математическое моделирование на ЭВМ вентиляционных систем турбогенераторов» - «Электротехника», 1975, №12.

2. Дугинов Л.А., Розовский М.Х. Простой метод расчёта для сложных гидравлических систем., ТПА,-2020. -№2 (107).-50c.

3. Идельчик И.Е. Справочник по гидравлическим сопротивлениям. Москва, «Машиностроение» 1992.

4. Дьяконов В.П. Mathcad8-12 для студентов. Серия «Библиотека студента» М.; СОЛОН-Пресс, 2005.