Добавить в корзинуПозвонить
Найти в Дзене
Проект Гуманист

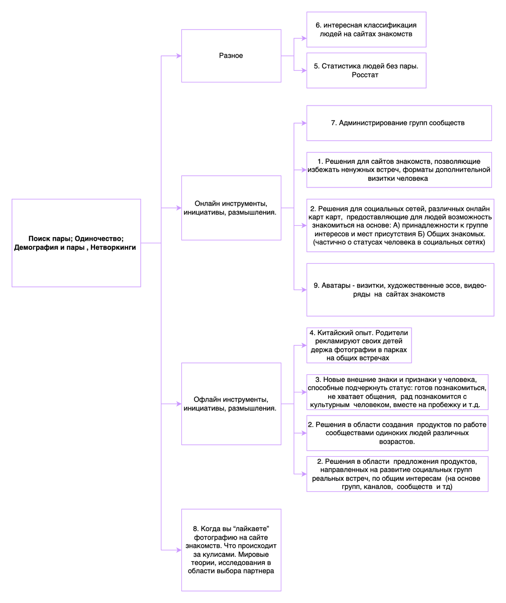
Аватары - визитки, художественные эссе, видео-ряды на сайтах знакомств

В связи с развитием нейронных сетей, в том числе в части генерации изображений, видео, текста - считаю, что в приложениях знакомств, могут быть приняты определенные современные решения, помогающие увеличить шансы в представлении человека. Это поможет избежать проблем потери времени для встреч, заканчивающихся нечем, или даже трагедиями последующих расставаний, по причине различия людей и разности в ожиданиях. Думаю, в ближайшем будущем, появится новые форматы подхода в представлении человека, если хотите симбиоз аватара-описания-представления человека: Доработанные решения, некий микс между вопросами (в том числе простые, переработанные вопросы на основе профессиональных психологических тестов) от нейросети , собственного рассказа или аудиодиктовки о себе, могут создать уже сейчас интересное представление о человеке. Малое внимание в сервисах знакомств уделяется вопросам: Считаю, что для создания долгосрочных отношений, данные вопросы-ответы, сопоставления, алгорит

шедеврум
шедеврум

В связи с развитием нейронных сетей, в том числе в части генерации изображений, видео, текста - считаю, что в приложениях знакомств, могут быть приняты определенные современные решения, помогающие увеличить шансы в представлении человека. Это поможет избежать проблем потери времени для встреч, заканчивающихся нечем, или даже трагедиями последующих расставаний, по причине различия людей и разности в ожиданиях.

Думаю, в ближайшем будущем, появится новые форматы подхода в представлении человека, если хотите симбиоз аватара-описания-представления человека:

  • генерации мини-рассказа, возможна даже и романа о личности ( на основе шаблонов).
  • набора генеративных картинок, фото, с описанием
  • видео ряда, клипа или за плату более сложного видео ряда, напоминающего фильм, или созданного по мотивам фильма.

Доработанные решения, некий микс между вопросами (в том числе простые, переработанные вопросы на основе профессиональных психологических тестов) от нейросети , собственного рассказа или аудиодиктовки о себе, могут создать уже сейчас интересное представление о человеке.

Малое внимание в сервисах знакомств уделяется вопросам:

  • Кто я ? ( психологический портрет)
  • Какие у меня мечты?
  • Как я представляю себе жизнь? (в бытовом плане, отношении к семье, времяпровождение, карьера и тд)
  • Что я хочу получить от партнера?
  • Что я не приемлю в партнере и в отношениях, в себе
  • Что я могу дать партнеру отношениям ( роли в отношениях)
  • Риски в отношении моей личности, что может быть ( болезни, привычки, специфические манеры и тд)

Считаю, что для создания долгосрочных отношений, данные вопросы-ответы, сопоставления, алгоритмы сопоставлений - очень важны.

В настоящее время мало внимания уделяется вопросам идентификации человека в самом широком смысле этого слова.

Не каждый человек способен написать о себе, как, впрочем, и нет видимой необходимости в этом или тренда. Это происходит как виду отсутствия опыта, навыков, так и сложности распознавания себя как личности ( например, в части психологии). Также дополнительная трудность заключается в непонимании возможностей собственной трансформации в будущем, изменения личных качеств, взглядов на жизнь (хотя определенные главные тренды собственного превращения, человек может сформулировать, в отношении в какую личность он превратится, с какими взглядами на жизнь будет в будущем. Непонятен также вопрос откровенности в оценке собственной идентичности, многие в представлении себя хотят выглядеть лучше.

Это может применяться: в социальных сетях, анкетах, мессенджерах, приложениях знакомств и тд

Также, возможно, появится более продвинутое решения, позволяющие делать описание человека на основе обработки личных постов в социальных сетях, мессенджерах.

Конечно, не обойдется без фильтров, таких как : классический , современный, в стиле и тд

Контакты для обмена идеями и продуктивному общению

Telegram @olozman

Телеграм:https://t.me/+gNN5jW9Fwcg3YTYy


Для читателя, ниже предлагаю освежить в памяти и сыграть мысленную игру вариаций личностей, на примере типов и поведенческих факторов.

Темпераменты по Гиппократу

Холерик — быстрый, порывистый, импульсивный, неуравновешенный, подвержен резкой смене настроений, эмоциональным вспышкам. Холерик обладает огромной работоспособностью.

Сангвиник — подвижный, живой, легко переживающий неудачи, стремящийся к смене впечатлений. Обладает выразительной мимикой. Продуктивен в работе, когда она ему интересна.

Меланхолик — сдержан, раним, впечатлителен, склонный к постоянному переживанию даже малозначительных событий, застенчив.

Флегматик — медлителен, трудно переключаемый с одной деятельности на другую, устойчив и постоянен в стремлениях и настроении, скуп на проявление эмоций.

Классификация личности по Гери Чемпен “Пять языков любви”

Классификация личности по Гэри Чемпену, представленная в его книге “Пять языков любви”, выделяет пять основных способов, которыми люди выражают и воспринимают любовь: слова поощрения, время, подарки, помощь и прикосновения. Эти “языки любви” помогают понять, как каждый человек предпочитает получать и давать любовь.Слова поощрения: Для этих людей важны комплименты, поддержка и признание. Они чувствуют себя любимыми, когда слышат положительные слова от своих партнеров.Время: Для них важно проводить качественное время вместе, занимаясь любимыми делами или просто наслаждаясь обществом друг друга.Подарки: Эти люди ценят материальные знаки внимания, такие как подарки, цветы или другие вещи, которые показывают заботу и внимание.Помощь: Они чувствуют любовь через действия, например, помощь в бытовых делах, поддержку в трудные моменты или просто выполнение задач, которые облегчают жизнь партнера.Прикосновения: Для них важны физические контакты, такие как объятия, поцелуи или просто касания, которые передают тепло и близость.Понимание собственного основного языка любви и языка любви партнера помогает улучшить коммуникацию и укрепить отношения. Когда партнеры используют предпочитаемые языки любви друг друга, они чувствуют себя любимыми и ценными, что способствует созданию более глубоких и длительных отношений.

Делении по типу мышления. Типы мышления по А. Курпатову

Типы мышления по А. Курпатову: конструкторы, невротики, центристы, рефлекторы и стероиды. В своей книге «Красная таблетка» Андрей Курпатов выделяет пять типов мышления, которые он называет психобиологическими. Эти типы мышления определяют, как мы воспринимаем мир, принимаем решения и взаимодействуем с другими людьми.

Конструкторы — это люди, которые стремятся к порядку и стабильности. Они любят планировать и организовывать свою жизнь, а также помогать другим людям. Конструкторы часто становятся лидерами и предпринимателями.

Невротики — это люди, которые постоянно беспокоятся и сомневаются. Они склонны к самокритике и перфекционизму, а также к страху перед ошибками. Невротики часто страдают от тревожности и депрессии.

Центристы — это люди, которые ищут баланс между порядком и хаосом. Они не любят крайности и предпочитают умеренность во всём. Центристы часто становятся дипломатами и посредниками.

Рефлекторы — это люди, которые наблюдают за миром и размышляют о нём. Они не спешат принимать решения и предпочитают сначала собрать всю необходимую информацию. Рефлекторы часто становятся учёными и философами.

Стероиды — это люди, которые действуют импульсивно и эмоционально. Они не любят ждать и предпочитают действовать сразу. Стероиды часто становятся спортсменами и актёрами.

Эти типы мышления могут влиять на создание пар и долгосрочность брачных отношений. Например, два конструктора могут хорошо понимать друг друга, но им может быть сложно адаптироваться к изменениям. Два невротика могут поддерживать друг друга, но им может быть трудно справиться с тревогой и депрессией. Два центриста могут найти общий язык, но им может быть скучно друг с другом. Два рефлектора могут ценить размышления друг друга, но им может быть трудно принять решение. Два стероида могут наслаждаться жизнью вместе, но им может быть сложно контролировать свои эмоции.Важно понимать, что эти типы мышления не являются жёсткими категориями. Люди могут сочетать в себе черты разных типов мышления, и это может сделать их более гибкими и адаптивными. Однако знание своих собственных предпочтений и предпочтений партнёра может помочь создать более гармоничные отношения.

Психологические типы личностей по Юнгу и способы взаимодействия с реальностью

Экстраверты

Интроверты

Мышление

Чувство

Ощущение

Интуиция

Классификацию по Карл Леонгард

Карл Леонгард, выдающийся немецкий психиатр, разработал одну из первых типологий личности, основанную на теории акцентуации. Акцентуация указывает на то, что каждая личность обладает набором индивидуальных характеристик, которые могут проявляться с разной интенсивностью.

Леонгард выделил следующие типы акцентуированных личностей:

Демонстративная личность характеризуется способностью к вытеснению, то есть неосознанному психологическому защитному механизму от психотравмирующих фактов. Такие люди могут “забывать” или вытеснять из сознания негативные события.

Педантическая личность проявляет противоположное поведение, имея слабую способность к вытеснению и склонность к навязчивым мыслям. Они часто проверяют и перепроверяют вещи, стремясь найти несуществующие ошибки.Застревающая личность характеризуется “переключением” с одной мысли на другую или с одного переживания на другое. Они могут долго оставаться сосредоточенными на негативных событиях.

Возбудимая личность управляется инстинктивными желаниями и импульсивными действиями, часто демонстрируя нетерпимость к другим.

Гипертимическая личность отличается оптимистичным настроением и удовольствием от общения с другими. Однако, их легкомыслие и чрезмерная доверчивость могут быть негативными чертами.

Дистимическая личность склонна к мрачности и печали, часто впадает в депрессивное состояние и проявляет низкую активность.

Циклотимическая личность характеризуется частой сменой гипертимических и дистимических фаз.

Экзальтированная личность испытывает резкие перепады настроения, обусловленные высокой психологической чувствительностью.

Тревожная личность с детства проявляет скованность, неуверенность в себе и боязливость.

Эмотивная личность характеризуется душевными переживаниями, чувствительностью и мягкостью, но их эмоции всегда связаны с конкретными событиями.

Эта классификация помогает лучше понять разнообразие человеческих характеров и может быть использована в практике психиатров и психологов для диагностики и предотвращения психических заболеваний.

Параноик

Эпилептоид

Гипертим

Истероид

Шизоид

Психастеноид

Сензитив

Гипотим

Конформный тип

Неустойчивый тип

Астеник

Лабильный тип

Циклоид

Психософия Афанасьеву “Синтаксис любви”

Психософия Афанасьева, представленная в его книге “Синтаксис любви”, предлагает уникальный подход к определению личности, основанный на четырех аспектах: Воля, Логика, Физика и Эмоция.

Эти аспекты отражают различные стороны человеческого бытия и определяют, как человек воспринимает мир и взаимодействует с ним.

Воля - это движущая сила личности, ее стержень. Она включает в себя осознание цели собственного существования, наличие смысла, способность к целеполаганию, понимание своего места в мире и усвоение своих задач и желаний.

Логика - это идеи, умозаключения, концепции и т.п., причем не имеет значения, есть ли у них материальное воплощение. Ключевую роль играет сама потребность в анализе, осмыслении и обсуждении чего-либо

.Физика - это все вещественное, значимость материальных благ для человека, отношение к телу и его нуждам, физическому труду и работе в целом.

Эмоция - это вся сфера внутренних переживаний личности, эмоциональный отклик, душевные переживания и чувственная реакция на природу и предметы искусства.

Каждый из этих аспектов имеет свое место в иерархии ценностей человека, и то место, которое занимает аспект в списке приоритетов личности, называется функцией.

Всего функций четыре: “Молот” (наиболее сильная, основная и доминирующая функция), “Река” (более умеренная), “Язва” (название этой функции очень четко описывает ее содержание) и “Пустячок” (самый малозначимый аспект, и, следовательно, мотивация к его удовлетворению отсутствует)

.Определение своего психотипа заключается в расстановке аспектов в порядке от наиболее к наименее приоритетному (то есть по порядку функций) и получении последовательности букв, например, ЭФВЛ или ЛФВЭ. Эти буквы и составляют ваш психотип.Знание своего психотипа и психотипа партнера может помочь в понимании себя и улучшении взаимоотношений.

-2

Ссылки на статьи:

1 https://dzen.ru/a/ZptMquuCYVR0dcWE?share_to=link

2 Текущая статья

3 В разработке

4https://dzen.ru/media/id/5db049fda3f6e400b0fb26e3/vse-metody-horoshi-v-voprose-sozdaniia-semi-osobenno-dlia-liudei-vozrasta-35-plius-kitaiskii-opyt-654c4f74e497022ae86cc540

5https://dzen.ru/media/id/5db049fda3f6e400b0fb26e3/poisk-pary-partnera-kak-odna-iz-slojneishih-problem-statistika-65ffb99774b4ea5e87f93cf2

6https://dzen.ru/media/id/5db049fda3f6e400b0fb26e3/interesnaia-klassifikaciia-polzovatelei-na-saitah-znakomstv-66a5fe595de5626edd6c2e4d

7 В разработке

8 https://dzen.ru/a/ZtvzPf4t7W-b2Q4g?share_to=link

9
https://dzen.ru/a/Zve3oYdLgGcyegEo?share_to=link