Π”ΠΎΠ±Π°Π²ΠΈΡ‚ΡŒ Π² ΠΊΠΎΡ€Π·ΠΈΠ½ΡƒΠŸΠΎΠ·Π²ΠΎΠ½ΠΈΡ‚ΡŒ
Найти Π² Π”Π·Π΅Π½Π΅
Π‘ΠΈΠ±Π»ΠΈΠΎΡ‚Π΅ΠΊΠ° программиста

πŸ₯· ΠŸΡƒΡ‚ΡŒ ML-самурая: ΠΎΡ‚ школьной ΠΌΠ°Ρ‚Π΅ΠΌΠ°Ρ‚ΠΈΠΊΠΈ Π΄ΠΎ ΠΏΠ΅Ρ€Π΅Π΄ΠΎΠ²ΠΎΠ³ΠΎ машинного обучСния

Π’ ΡΡ‚Π°Ρ‚ΡŒΠ΅ Ρ€Π°Π·Π»ΠΎΠΆΠ΅Π½ΠΎ всС ΠΏΠΎ ΠΏΠΎΠ»ΠΎΡ‡ΠΊΠ°ΠΌ: ΠΊΠ°ΠΊ ΠΈΠ· ΠΎΠ±Ρ‹Ρ‡Π½ΠΎΠ³ΠΎ Ρ‡ΡƒΠ²Π°ΠΊΠ°, ΠΊΠΎΡ‚ΠΎΡ€Ρ‹ΠΉ Π΅Π»Π΅-Π΅Π»Π΅ ΡˆΠΊΠΎΠ»ΡŒΠ½ΡƒΡŽ ΠΌΠ°Ρ‚Π΅ΠΌΠ°Ρ‚ΠΈΠΊΡƒ ΠΏΠΎΠΌΠ½ΠΈΡ‚, ΡΡ‚Π°Ρ‚ΡŒ настоящим ML-самураСм. И знаСшь, Ρ‡Ρ‚ΠΎ самоС ΠΊΡ€ΡƒΡ‚ΠΎΠ΅? Никакой Π·Π°Π½ΡƒΠ΄Π½ΠΎΠΉ Ρ‚Π΅ΠΎΡ€ΠΈΠΈ – Ρ‚ΠΎΠ»ΡŒΠΊΠΎ Ρ‚ΠΎ, Ρ‡Ρ‚ΠΎ Ρ€Π΅Π°Π»ΡŒΠ½ΠΎ Π½ΡƒΠΆΠ½ΠΎ для Ρ€Π°Π±ΠΎΡ‚Ρ‹. Автор Ρ€Π°Π·Π±ΠΈΠ» вСсь ΠΏΡƒΡ‚ΡŒ Π½Π° этапы, Ρ‚ΠΈΠΏΠ° ΡƒΡ€ΠΎΠ²Π½Π΅ΠΉ Π² ΠΈΠ³Ρ€Π΅. ΠΠ°Ρ‡ΠΈΠ½Π°Π΅ΡˆΡŒ с простого, Π° ΠΏΠΎΡ‚ΠΎΠΌ – Π±Π°Ρ†, ΠΈ Ρ‚Ρ‹ ΡƒΠΆΠ΅ Π² нСйросСтях ΡˆΠ°Ρ€ΠΈΡˆΡŒ! И Π΅Ρ‰Π΅ Ρ‚Π°ΠΌ Π΅ΡΡ‚ΡŒ совСты, ΠΊΠ°ΠΊ Π½Π΅ ΡΠ΄ΡƒΡ‚ΡŒΡΡ Π½Π° ΠΏΠΎΠ»ΠΏΡƒΡ‚ΠΈ ΠΈ Π΄ΠΎΠΉΡ‚ΠΈ Π΄ΠΎ Ρ„ΠΈΠ½ΠΈΡˆΠ°. Π’ ΠΎΠ±Ρ‰Π΅ΠΌ, Ссли Ρ‚Ρ‹ всС Π΅Ρ‰Π΅ мнСшься насчСт ML ΠΈΠ·-Π·Π° ΠΌΠ°Ρ‚Π΅ΠΌΠ°Ρ‚ΠΈΠΊΠΈ, ΠΎΠ±ΡΠ·Π°Ρ‚Π΅Π»ΡŒΠ½ΠΎ Ρ‡Π΅ΠΊΠ½ΠΈ эту ΡΡ‚Π°Ρ‚ΡŒΡŽ. Π£Π²Π΅Ρ€Π΅Π½, послС Π½Π΅Π΅ Ρ‚Ρ‹ поймСшь, Ρ‡Ρ‚ΠΎ всС Π²ΠΎΠ·ΠΌΠΎΠΆΠ½ΠΎ, ΠΈ Π·Π°ΠΌΠΎΡ‚ΠΈΠ²ΠΈΡ€ΡƒΠ΅ΡˆΡŒΡΡ Π½Π° ΠΏΠΎΠ»Π½ΡƒΡŽ. Π”Π°Π²Π°ΠΉ, Ρ‡ΠΈΡ‚Π°ΠΉ ΠΈ Π²ΠΏΠ΅Ρ€Π΅Π΄ – ΠΊ свСтлому ML-Π±ΡƒΠ΄ΡƒΡ‰Π΅ΠΌΡƒ! МашинноС ΠΎΠ±ΡƒΡ‡Π΅Π½ΠΈΠ΅ (ML) находится Π½Π° стыкС ΠΊΠΎΠΌΠΏΡŒΡŽΡ‚Π΅Ρ€Π½Ρ‹Ρ… Π½Π°ΡƒΠΊ ΠΈ ΠΌΠ°Ρ‚Π΅ΠΌΠ°Ρ‚ΠΈΠΊΠΈ. ML ΠΈΡΠΏΠΎΠ»ΡŒΠ·ΡƒΠ΅Ρ‚ слоТныС матСматичСскиС ΠΊΠΎΠ½Ρ†Π΅ΠΏΡ†ΠΈΠΈ для создания Π°Π»Π³ΠΎΡ€ΠΈΡ‚ΠΌΠΎΠ², способных ΠΎΠ±ΡƒΡ‡Π°Ρ‚ΡŒΡΡ Π½Π° Π΄Π°Π½Π½Ρ‹Ρ… ΠΈ Π΄Π΅Π»Π°Ρ‚ΡŒ ΠΏΡ€ΠΎΠ³Π½ΠΎΠ·Ρ‹. Насколько высокий ΡƒΡ€ΠΎΠ²Π΅Π½ΡŒ матСматичСских Π·Π½Π°Π½ΠΈΠΉ Π½ΡƒΠΆΠ½ΠΎ ΠΈΠΌΠ΅Ρ‚ΡŒ, Ρ‡Ρ‚ΠΎΠ±Ρ‹ Π±Π΅Π· Ρ‚Ρ€ΡƒΠ΄Π° Ρ€Π°Π·ΠΎΠ±Ρ€Π°Ρ‚ΡŒΡΡ Π² ΠΏΠ΅Ρ€Π΅Π΄ΠΎΠ²Ρ‹Ρ… ΠΌΠ΅Ρ‚ΠΎΠ΄Π°Ρ… машинного обучСния? ΠŸΠΎΡΠΌΠΎΡ‚Ρ€ΠΈΡ‚Π΅ Π»ΡŽΠ±ΡƒΡŽ ΡΠ΅Ρ€ΡŒΠ΅Π·Π½ΡƒΡŽ ML-ΡΡ‚Π°Ρ‚ΡŒΡŽ Π½Π° arx
ОглавлСниС

Π’ ΡΡ‚Π°Ρ‚ΡŒΠ΅ Ρ€Π°Π·Π»ΠΎΠΆΠ΅Π½ΠΎ всС ΠΏΠΎ ΠΏΠΎΠ»ΠΎΡ‡ΠΊΠ°ΠΌ: ΠΊΠ°ΠΊ ΠΈΠ· ΠΎΠ±Ρ‹Ρ‡Π½ΠΎΠ³ΠΎ Ρ‡ΡƒΠ²Π°ΠΊΠ°, ΠΊΠΎΡ‚ΠΎΡ€Ρ‹ΠΉ Π΅Π»Π΅-Π΅Π»Π΅ ΡˆΠΊΠΎΠ»ΡŒΠ½ΡƒΡŽ ΠΌΠ°Ρ‚Π΅ΠΌΠ°Ρ‚ΠΈΠΊΡƒ ΠΏΠΎΠΌΠ½ΠΈΡ‚, ΡΡ‚Π°Ρ‚ΡŒ настоящим ML-самураСм. И знаСшь, Ρ‡Ρ‚ΠΎ самоС ΠΊΡ€ΡƒΡ‚ΠΎΠ΅? Никакой Π·Π°Π½ΡƒΠ΄Π½ΠΎΠΉ Ρ‚Π΅ΠΎΡ€ΠΈΠΈ – Ρ‚ΠΎΠ»ΡŒΠΊΠΎ Ρ‚ΠΎ, Ρ‡Ρ‚ΠΎ Ρ€Π΅Π°Π»ΡŒΠ½ΠΎ Π½ΡƒΠΆΠ½ΠΎ для Ρ€Π°Π±ΠΎΡ‚Ρ‹. Автор Ρ€Π°Π·Π±ΠΈΠ» вСсь ΠΏΡƒΡ‚ΡŒ Π½Π° этапы, Ρ‚ΠΈΠΏΠ° ΡƒΡ€ΠΎΠ²Π½Π΅ΠΉ Π² ΠΈΠ³Ρ€Π΅. ΠΠ°Ρ‡ΠΈΠ½Π°Π΅ΡˆΡŒ с простого, Π° ΠΏΠΎΡ‚ΠΎΠΌ – Π±Π°Ρ†, ΠΈ Ρ‚Ρ‹ ΡƒΠΆΠ΅ Π² нСйросСтях ΡˆΠ°Ρ€ΠΈΡˆΡŒ! И Π΅Ρ‰Π΅ Ρ‚Π°ΠΌ Π΅ΡΡ‚ΡŒ совСты, ΠΊΠ°ΠΊ Π½Π΅ ΡΠ΄ΡƒΡ‚ΡŒΡΡ Π½Π° ΠΏΠΎΠ»ΠΏΡƒΡ‚ΠΈ ΠΈ Π΄ΠΎΠΉΡ‚ΠΈ Π΄ΠΎ Ρ„ΠΈΠ½ΠΈΡˆΠ°. Π’ ΠΎΠ±Ρ‰Π΅ΠΌ, Ссли Ρ‚Ρ‹ всС Π΅Ρ‰Π΅ мнСшься насчСт ML ΠΈΠ·-Π·Π° ΠΌΠ°Ρ‚Π΅ΠΌΠ°Ρ‚ΠΈΠΊΠΈ, ΠΎΠ±ΡΠ·Π°Ρ‚Π΅Π»ΡŒΠ½ΠΎ Ρ‡Π΅ΠΊΠ½ΠΈ эту ΡΡ‚Π°Ρ‚ΡŒΡŽ. Π£Π²Π΅Ρ€Π΅Π½, послС Π½Π΅Π΅ Ρ‚Ρ‹ поймСшь, Ρ‡Ρ‚ΠΎ всС Π²ΠΎΠ·ΠΌΠΎΠΆΠ½ΠΎ, ΠΈ Π·Π°ΠΌΠΎΡ‚ΠΈΠ²ΠΈΡ€ΡƒΠ΅ΡˆΡŒΡΡ Π½Π° ΠΏΠΎΠ»Π½ΡƒΡŽ. Π”Π°Π²Π°ΠΉ, Ρ‡ΠΈΡ‚Π°ΠΉ ΠΈ Π²ΠΏΠ΅Ρ€Π΅Π΄ – ΠΊ свСтлому ML-Π±ΡƒΠ΄ΡƒΡ‰Π΅ΠΌΡƒ!

МашинноС ΠΎΠ±ΡƒΡ‡Π΅Π½ΠΈΠ΅ (ML) находится Π½Π° стыкС ΠΊΠΎΠΌΠΏΡŒΡŽΡ‚Π΅Ρ€Π½Ρ‹Ρ… Π½Π°ΡƒΠΊ ΠΈ ΠΌΠ°Ρ‚Π΅ΠΌΠ°Ρ‚ΠΈΠΊΠΈ. ML ΠΈΡΠΏΠΎΠ»ΡŒΠ·ΡƒΠ΅Ρ‚ слоТныС матСматичСскиС ΠΊΠΎΠ½Ρ†Π΅ΠΏΡ†ΠΈΠΈ для создания Π°Π»Π³ΠΎΡ€ΠΈΡ‚ΠΌΠΎΠ², способных ΠΎΠ±ΡƒΡ‡Π°Ρ‚ΡŒΡΡ Π½Π° Π΄Π°Π½Π½Ρ‹Ρ… ΠΈ Π΄Π΅Π»Π°Ρ‚ΡŒ ΠΏΡ€ΠΎΠ³Π½ΠΎΠ·Ρ‹. Насколько высокий ΡƒΡ€ΠΎΠ²Π΅Π½ΡŒ матСматичСских Π·Π½Π°Π½ΠΈΠΉ Π½ΡƒΠΆΠ½ΠΎ ΠΈΠΌΠ΅Ρ‚ΡŒ, Ρ‡Ρ‚ΠΎΠ±Ρ‹ Π±Π΅Π· Ρ‚Ρ€ΡƒΠ΄Π° Ρ€Π°Π·ΠΎΠ±Ρ€Π°Ρ‚ΡŒΡΡ Π² ΠΏΠ΅Ρ€Π΅Π΄ΠΎΠ²Ρ‹Ρ… ΠΌΠ΅Ρ‚ΠΎΠ΄Π°Ρ… машинного обучСния? ΠŸΠΎΡΠΌΠΎΡ‚Ρ€ΠΈΡ‚Π΅ Π»ΡŽΠ±ΡƒΡŽ ΡΠ΅Ρ€ΡŒΠ΅Π·Π½ΡƒΡŽ ML-ΡΡ‚Π°Ρ‚ΡŒΡŽ Π½Π° arxiv.org, Π½Π°ΠΏΡ€ΠΈΠΌΠ΅Ρ€ эту: Ссли Ρ„ΠΎΡ€ΠΌΡƒΠ»Ρ‹ Π² Π½Π΅ΠΉ Π½Π΅ каТутся Π²Π°ΠΌ ΠΈΠ΅Ρ€ΠΎΠ³Π»ΠΈΡ„Π°ΠΌΠΈ, Ρ‚ΠΎ с вашим ΡƒΡ€ΠΎΠ²Π½Π΅ΠΌ ΠΌΠ°Ρ‚Π΅ΠΌΠ°Ρ‚ΠΈΠΊΠΈ всС Π² порядкС.

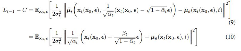
   Но Ссли Π½Π°Π·Π½Π°Ρ‡Π΅Π½ΠΈΠ΅ Ρ‚Π°ΠΊΠΈΡ… Π²Ρ‹Ρ€Π°ΠΆΠ΅Π½ΠΈΠΉ для вас Π·Π°Π³Π°Π΄ΠΎΡ‡Π½ΠΎ, Ρ‚ΠΎ ΠΌΠ°Ρ‚Π΅ΠΌΠ°Ρ‚ΠΈΠΊΡƒ придСтся ΠΏΠΎΠ΄Ρ‚ΡΠ½ΡƒΡ‚ΡŒ
Но Ссли Π½Π°Π·Π½Π°Ρ‡Π΅Π½ΠΈΠ΅ Ρ‚Π°ΠΊΠΈΡ… Π²Ρ‹Ρ€Π°ΠΆΠ΅Π½ΠΈΠΉ для вас Π·Π°Π³Π°Π΄ΠΎΡ‡Π½ΠΎ, Ρ‚ΠΎ ΠΌΠ°Ρ‚Π΅ΠΌΠ°Ρ‚ΠΈΠΊΡƒ придСтся ΠΏΠΎΠ΄Ρ‚ΡΠ½ΡƒΡ‚ΡŒ

Π˜Π·ΡƒΡ‡Π΅Π½ΠΈΠ΅ Ρ„ΡƒΠ½Π΄Π°ΠΌΠ΅Π½Ρ‚Π°Π»ΡŒΠ½ΠΎΠΉ ΠΌΠ°Ρ‚Π΅ΠΌΠ°Ρ‚ΠΈΠΊΠΈ ΠΏΠΎΡ…ΠΎΠΆΠ΅ Π½Π° Ρ‚ΠΎ, ΠΊΠ°ΠΊ ΠΌΡ‹ учимся Ρ‡ΠΈΡ‚Π°Ρ‚ΡŒ. Как Ρ‚ΠΎΠ»ΡŒΠΊΠΎ ΠΌΡ‹ научимся Ρ‡ΠΈΡ‚Π°Ρ‚ΡŒ, ΠΏΠ΅Ρ€Π΅Π΄ Π½Π°ΠΌΠΈ открываСтся Ρ†Π΅Π»Ρ‹ΠΉ ΠΌΠΈΡ€ Π½ΠΎΠ²Ρ‹Ρ… Π·Π½Π°Π½ΠΈΠΉ. Π‘Π΅Π· этого Π½Π°Π²Ρ‹ΠΊΠ° доступ ΠΊ этим знаниям Π·Π°ΠΊΡ€Ρ‹Ρ‚. Π’ΠΎΡ‡Π½ΠΎ Ρ‚Π°ΠΊ ΠΆΠ΅, Π±Π΅Π· понимания основ ΠΌΠ°Ρ‚Π΅ΠΌΠ°Ρ‚ΠΈΠΊΠΈ Π½Π΅Π²ΠΎΠ·ΠΌΠΎΠΆΠ½ΠΎ Π΄Π²ΠΈΠ³Π°Ρ‚ΡŒΡΡ дальшС Π² машинном ΠΎΠ±ΡƒΡ‡Π΅Π½ΠΈΠΈ – всС дальнСйшиС Ρ‚Π΅ΠΌΡ‹ Π±ΡƒΠ΄ΡƒΡ‚ просто нСдоступны.

Π‘Ρ‚Π°Ρ‚ΡŒΡ ΠΏΠΎ Ρ‚Π΅ΠΌΠ΅

πŸ”’ ΠœΠ°Ρ‚Π΅ΠΌΠ°Ρ‚ΠΈΠΊΠ° для Data Science: Π½Π΅ΠΎΠ±Ρ…ΠΎΠ΄ΠΈΠΌΡ‹ΠΉ ΠΌΠΈΠ½ΠΈΠΌΡƒΠΌ

ΠœΠ°Ρ‚Π΅ΠΌΠ°Ρ‚ΠΈΠΊΠ° для ML: Ρ‡Ρ‚ΠΎ Π΄Π΅ΠΉΡΡ‚Π²ΠΈΡ‚Π΅Π»ΡŒΠ½ΠΎ Π½ΡƒΠΆΠ½ΠΎ Π·Π½Π°Ρ‚ΡŒ

ДороТная ΠΊΠ°Ρ€Ρ‚Π° для ΠΏΠ΅Ρ€Π΅Ρ…ΠΎΠ΄Π° ΠΎΡ‚ школьной ΠΌΠ°Ρ‚Π΅ΠΌΠ°Ρ‚ΠΈΠΊΠΈ ΠΊ ΠΏΠ΅Ρ€Π΅Π΄ΠΎΠ²ΠΎΠΌΡƒ ML Π²ΠΊΠ»ΡŽΡ‡Π°Π΅Ρ‚ 4 основных этапа.

1. Базовая ΠΌΠ°Ρ‚Π΅ΠΌΠ°Ρ‚ΠΈΠΊΠ°

Базовая ΠΌΠ°Ρ‚Π΅ΠΌΠ°Ρ‚ΠΈΠΊΠ°. Π€ΡƒΠ½Π΄Π°ΠΌΠ΅Π½Ρ‚Π°Π»ΡŒΠ½Π°Ρ ΠΌΠ°Ρ‚Π΅ΠΌΠ°Ρ‚ΠΈΠΊΠ° Π½Π΅ΠΎΠ±Ρ…ΠΎΠ΄ΠΈΠΌΠ° для понимания Ρ‚ΠΎΠ³ΠΎ, ΠΊΠ°ΠΊ Ρ€Π°Π±ΠΎΡ‚Π°ΡŽΡ‚ ΠΌΠΎΠ΄Π΅Π»ΠΈ машинного обучСния ΠΈ ΠΊΠ°ΠΊ ΠΎΠ½ΠΈ ΠΎΠ±ΡƒΡ‡Π°ΡŽΡ‚ΡΡ Π½Π° Π΄Π°Π½Π½Ρ‹Ρ…. Для Π±ΠΎΠ»ΡŒΡˆΠΈΠ½ΡΡ‚Π²Π° людСй этот этап – самый слоТный, ΠΏΠ΅Ρ€Π΅Π»ΠΎΠΌΠ½Ρ‹ΠΉ ΠΌΠΎΠΌΠ΅Π½Ρ‚ Π½Π° ΠΏΡƒΡ‚ΠΈ ΠΊ ΠΌΠ°ΡˆΠΈΠ½Π½ΠΎΠΌΡƒ ΠΎΠ±ΡƒΡ‡Π΅Π½ΠΈΡŽ. ИмСнно Π½Π° этой ступСни ΠΌΠ½ΠΎΠ³ΠΈΠ΅ Π±Ρ€ΠΎΡΠ°ΡŽΡ‚ ΠΎΠ±ΡƒΡ‡Π΅Π½ΠΈΠ΅. Π’ Π½Π΅ΠΎΠ±Ρ…ΠΎΠ΄ΠΈΠΌΡƒΡŽ ΠΌΠ°Ρ‚Π΅ΠΌΠ°Ρ‚ΠΈΡ‡Π΅ΡΠΊΡƒΡŽ Π±Π°Π·Ρƒ входят:

1.1. АлгСбра

АлгСбра – Ρ„ΡƒΠ½Π΄Π°ΠΌΠ΅Π½Ρ‚Π°Π»ΡŒΠ½Ρ‹ΠΉ Ρ€Π°Π·Π΄Π΅Π» ΠΌΠ°Ρ‚Π΅ΠΌΠ°Ρ‚ΠΈΠΊΠΈ, ΠΊΠΎΡ‚ΠΎΡ€Ρ‹ΠΉ Ρ„ΠΎΡ€ΠΌΠΈΡ€ΡƒΠ΅Ρ‚ основу для Π±ΠΎΠ»ΡŒΡˆΠΈΠ½ΡΡ‚Π²Π° матСматичСских ΠΎΠΏΠ΅Ρ€Π°Ρ†ΠΈΠΉ ΠΈ вычислСний Π² машинном ΠΎΠ±ΡƒΡ‡Π΅Π½ΠΈΠΈ. ΠšΠ»ΡŽΡ‡Π΅Π²Ρ‹Π΅ ΠΊΠΎΠ½Ρ†Π΅ΠΏΡ†ΠΈΠΈ:

  • УравнСния ΠΈ нСравСнства – Π²Π°ΠΆΠ½ΠΎ ΡƒΠΌΠ΅Ρ‚ΡŒ Ρ€Π΅ΡˆΠ°Ρ‚ΡŒ Π»ΠΈΠ½Π΅ΠΉΠ½Ρ‹Π΅ ΠΈ Π½Π΅Π»ΠΈΠ½Π΅ΠΉΠ½Ρ‹Π΅ уравнСния, Ρ‚Π°ΠΊ ΠΊΠ°ΠΊ ΠΎΠ½ΠΈ часто Π²ΠΎΠ·Π½ΠΈΠΊΠ°ΡŽΡ‚ ΠΏΡ€ΠΈ ΠΎΠ±ΡƒΡ‡Π΅Π½ΠΈΠΈ ΠΌΠΎΠ΄Π΅Π»Π΅ΠΉ, Π½Π°ΠΏΡ€ΠΈΠΌΠ΅Ρ€, Π² Π·Π°Π΄Π°Ρ‡Π°Ρ… ΠΎΠΏΡ‚ΠΈΠΌΠΈΠ·Π°Ρ†ΠΈΠΈ.
  • ΠŸΠΎΠ»ΠΈΠ½ΠΎΠΌΡ‹ – ΠΌΠ½ΠΎΠ³ΠΈΠ΅ Ρ„ΡƒΠ½ΠΊΡ†ΠΈΠΈ, ΠΊΠΎΡ‚ΠΎΡ€Ρ‹Π΅ ΠΈΡΠΏΠΎΠ»ΡŒΠ·ΡƒΡŽΡ‚ΡΡ Π² машинном ΠΎΠ±ΡƒΡ‡Π΅Π½ΠΈΠΈ, ΠΌΠΎΠ³ΡƒΡ‚ Π±Ρ‹Ρ‚ΡŒ ΠΏΡ€ΠΈΠ±Π»ΠΈΠΆΠ΅Π½Ρ‹ ΠΏΠΎΠ»ΠΈΠ½ΠΎΠΌΠ°ΠΌΠΈ.
  • Π›ΠΎΠ³Π°Ρ€ΠΈΡ„ΠΌΡ‹ ΠΈ экспонСнты – ΡˆΠΈΡ€ΠΎΠΊΠΎ ΠΈΡΠΏΠΎΠ»ΡŒΠ·ΡƒΡŽΡ‚ΡΡ Π² функциях Π°ΠΊΡ‚ΠΈΠ²Π°Ρ†ΠΈΠΈ Π½Π΅ΠΉΡ€ΠΎΠ½Π½Ρ‹Ρ… сСтСй, расчСтах вСроятностСй ΠΈ Π·Π°Π΄Π°Ρ‡Π°Ρ… ΠΎΠΏΡ‚ΠΈΠΌΠΈΠ·Π°Ρ†ΠΈΠΈ.

1.2. ΠœΠ°Ρ‚Π΅ΠΌΠ°Ρ‚ΠΈΡ‡Π΅ΡΠΊΠΈΠΉ Π°Π½Π°Π»ΠΈΠ·

ΠœΠ°Ρ‚Π΅ΠΌΠ°Ρ‚ΠΈΡ‡Π΅ΡΠΊΠΈΠΉ Π°Π½Π°Π»ΠΈΠ· – Π΄ΠΈΡ„Ρ„Π΅Ρ€Π΅Π½Ρ†ΠΈΠ°Π»ΡŒΠ½ΠΎΠ΅ ΠΈ ΠΈΠ½Ρ‚Π΅Π³Ρ€Π°Π»ΡŒΠ½ΠΎΠ΅ исчислСниС Ρ„ΡƒΠ½ΠΊΡ†ΠΈΠΉ ΠΎΠ΄Π½ΠΎΠΉ ΠΏΠ΅Ρ€Π΅ΠΌΠ΅Π½Π½ΠΎΠΉ. ΠŸΠΎΠΌΠΎΠ³Π°Π΅Ρ‚ ΠΏΠΎΠ½ΠΈΠΌΠ°Ρ‚ΡŒ ΠΏΠΎΠ²Π΅Π΄Π΅Π½ΠΈΠ΅ Ρ„ΡƒΠ½ΠΊΡ†ΠΈΠΉ ΠΈ ΠΈΡ… измСнСния. Π’ машинном ΠΎΠ±ΡƒΡ‡Π΅Π½ΠΈΠΈ эти понятия часто Π²ΡΡ‚Ρ€Π΅Ρ‡Π°ΡŽΡ‚ΡΡ Π² Π·Π°Π΄Π°Ρ‡Π°Ρ…, связанных с настройкой Π³ΠΈΠΏΠ΅Ρ€ΠΏΠ°Ρ€Π°ΠΌΠ΅Ρ‚Ρ€ΠΎΠ² ΠΌΠΎΠ΄Π΅Π»ΠΈ ΠΈ ΠΌΠΈΠ½ΠΈΠΌΠΈΠ·Π°Ρ†ΠΈΠ΅ΠΉ ошибок:

  • ΠŸΡ€Π΅Π΄Π΅Π»Ρ‹ ΠΈ Π½Π΅ΠΏΡ€Π΅Ρ€Ρ‹Π²Π½ΠΎΡΡ‚ΡŒ – Π²Π°ΠΆΠ½Ρ‹ для понимания Ρ„ΡƒΠ½ΠΊΡ†ΠΈΠΉ ΠΏΠΎΡ‚Π΅Ρ€ΡŒ ΠΈ Ρ‚ΠΎΠ³ΠΎ, ΠΊΠ°ΠΊ ΠΎΠ½ΠΈ зависят ΠΎΡ‚ ΠΏΠ°Ρ€Π°ΠΌΠ΅Ρ‚Ρ€ΠΎΠ² ΠΌΠΎΠ΄Π΅Π»ΠΈ.
  • ΠŸΡ€ΠΎΠΈΠ·Π²ΠΎΠ΄Π½Ρ‹Π΅ – ΡˆΠΈΡ€ΠΎΠΊΠΎ ΠΈΡΠΏΠΎΠ»ΡŒΠ·ΡƒΡŽΡ‚ΡΡ Π² Π·Π°Π΄Π°Ρ‡Π°Ρ… ΠΎΠΏΡ‚ΠΈΠΌΠΈΠ·Π°Ρ†ΠΈΠΈ, Π³Π΄Π΅ Π½Π΅ΠΎΠ±Ρ…ΠΎΠ΄ΠΈΠΌΠΎ ΠΌΠΈΠ½ΠΈΠΌΠΈΠ·ΠΈΡ€ΠΎΠ²Π°Ρ‚ΡŒ Ρ„ΡƒΠ½ΠΊΡ†ΠΈΠΈ ΠΏΠΎΡ‚Π΅Ρ€ΡŒ с ΠΏΠΎΠΌΠΎΡ‰ΡŒΡŽ ΠΌΠ΅Ρ‚ΠΎΠ΄ΠΎΠ² Π³Ρ€Π°Π΄ΠΈΠ΅Π½Ρ‚Π½ΠΎΠ³ΠΎ спуска.
  • Π˜Π½Ρ‚Π΅Π³Ρ€Π°Π»Ρ‹ – ΠΏΡ€ΠΈΠΌΠ΅Π½ΡΡŽΡ‚ΡΡ для нахоТдСния ΠΏΠ»ΠΎΡ‰Π°Π΄Π΅ΠΉ ΠΏΠΎΠ΄ ΠΊΡ€ΠΈΠ²Ρ‹ΠΌΠΈ ΠΈ Π² вСроятностных расчСтах, Π½Π°ΠΏΡ€ΠΈΠΌΠ΅Ρ€, ΠΏΡ€ΠΈ вычислСнии Ρ„ΡƒΠ½ΠΊΡ†ΠΈΠΉ распрСдСлСния.

Π‘Ρ‚Π°Ρ‚ΡŒΡ ΠΏΠΎ Ρ‚Π΅ΠΌΠ΅

πŸ“ˆ Для Ρ‡Π΅Π³ΠΎ Π½ΡƒΠΆΠ΅Π½ матСматичСский Π°Π½Π°Π»ΠΈΠ· Π² машинном ΠΎΠ±ΡƒΡ‡Π΅Π½ΠΈΠΈ

1.3. ЛинСйная Π°Π»Π³Π΅Π±Ρ€Π°

ЛинСйная Π°Π»Π³Π΅Π±Ρ€Π° – ваТнСйший инструмСнт для Ρ€Π°Π±ΠΎΡ‚Ρ‹ с ΠΌΠ½ΠΎΠ³ΠΎΠΌΠ΅Ρ€Π½Ρ‹ΠΌΠΈ Π΄Π°Π½Π½Ρ‹ΠΌΠΈ ΠΈ построСния слоТных ΠΌΠΎΠ΄Π΅Π»Π΅ΠΉ. Π›Π΅ΠΆΠΈΡ‚ Π² основС ΠΌΠ½ΠΎΠ³ΠΈΡ… Π°Π»Π³ΠΎΡ€ΠΈΡ‚ΠΌΠΎΠ² машинного обучСния, особСнно Ρ‚Π΅Ρ…, Ρ‡Ρ‚ΠΎ Ρ€Π°Π±ΠΎΡ‚Π°ΡŽΡ‚ с большими объСмами Π΄Π°Π½Π½Ρ‹Ρ…. ΠžΡΠ½ΠΎΠ²Π½Ρ‹Π΅ Ρ‚Π΅ΠΌΡ‹:

  • Π’Π΅ΠΊΡ‚ΠΎΡ€Ρ‹ ΠΈ ΠΌΠ°Ρ‚Ρ€ΠΈΡ†Ρ‹ – ΠΏΡ€ΠΈΠΌΠ΅Π½ΡΡŽΡ‚ΡΡ для прСдставлСния Π΄Π°Π½Π½Ρ‹Ρ… (Π½Π°ΠΏΡ€ΠΈΠΌΠ΅Ρ€, Π²Π΅ΠΊΡ‚ΠΎΡ€Ρ‹ ΠΏΡ€ΠΈΠ·Π½Π°ΠΊΠΎΠ²).
  • ΠžΠΏΠ΅Ρ€Π°Ρ†ΠΈΠΈ Π½Π°Π΄ ΠΌΠ°Ρ‚Ρ€ΠΈΡ†Π°ΠΌΠΈ – Π·Π½Π°Π½ΠΈΠ΅ ΠΎΠΏΠ΅Ρ€Π°Ρ†ΠΈΠΉ слоТСния, умноТСния, транспонирования ΠΌΠ°Ρ‚Ρ€ΠΈΡ† Π½Π΅ΠΎΠ±Ρ…ΠΎΠ΄ΠΈΠΌΠΎ для Ρ€Π°Π±ΠΎΡ‚Ρ‹ с Π°Π»Π³ΠΎΡ€ΠΈΡ‚ΠΌΠ°ΠΌΠΈ машинного обучСния.
  • ΠžΠΏΡ€Π΅Π΄Π΅Π»ΠΈΡ‚Π΅Π»ΠΈ ΠΈ ΠΎΠ±Ρ€Π°Ρ‚Π½Ρ‹Π΅ ΠΌΠ°Ρ‚Ρ€ΠΈΡ†Ρ‹ – ΠΈΡΠΏΠΎΠ»ΡŒΠ·ΡƒΡŽΡ‚ΡΡ Π² Π½Π΅ΠΊΠΎΡ‚ΠΎΡ€Ρ‹Ρ… Π°Π»Π³ΠΎΡ€ΠΈΡ‚ΠΌΠ°Ρ…, Ρ‚Π°ΠΊΠΈΡ… ΠΊΠ°ΠΊ ΠΌΠ΅Ρ‚ΠΎΠ΄ Π½Π°ΠΈΠΌΠ΅Π½ΡŒΡˆΠΈΡ… ΠΊΠ²Π°Π΄Ρ€Π°Ρ‚ΠΎΠ².
  • БобствСнныС значСния ΠΈ собствСнныС Π²Π΅ΠΊΡ‚ΠΎΡ€Ρ‹ – ΠΏΡ€ΠΈΠΌΠ΅Π½ΡΡŽΡ‚ΡΡ Π² ΠΌΠ΅Ρ‚ΠΎΠ΄Π°Ρ… сниТСния размСрности Π΄Π°Π½Π½Ρ‹Ρ… (Π½Π°ΠΏΡ€ΠΈΠΌΠ΅Ρ€, PCA – ΠΌΠ΅Ρ‚ΠΎΠ΄ Π³Π»Π°Π²Π½Ρ‹Ρ… ΠΊΠΎΠΌΠΏΠΎΠ½Π΅Π½Ρ‚).

Π‘Ρ‚Π°Ρ‚ΡŒΡ ΠΏΠΎ Ρ‚Π΅ΠΌΠ΅

βˆ€ Как линСйная Π°Π»Π³Π΅Π±Ρ€Π° ΠΈΡΠΏΠΎΠ»ΡŒΠ·ΡƒΠ΅Ρ‚ΡΡ Π² машинном ΠΎΠ±ΡƒΡ‡Π΅Π½ΠΈΠΈ?

1.4. ВСория вСроятностСй ΠΈ статистика

Π˜Π³Ρ€Π°ΡŽΡ‚ ΠΊΠ»ΡŽΡ‡Π΅Π²ΡƒΡŽ Ρ€ΠΎΠ»ΡŒ Π² ΠΏΠΎΠ½ΠΈΠΌΠ°Π½ΠΈΠΈ Ρ‚ΠΎΠ³ΠΎ, ΠΊΠ°ΠΊ Ρ€Π°Π±ΠΎΡ‚Π°ΡŽΡ‚ ΠΌΠΎΠ΄Π΅Π»ΠΈ машинного обучСния ΠΈ ΠΊΠ°ΠΊ ΠΈΠ½Ρ‚Π΅Ρ€ΠΏΡ€Π΅Ρ‚ΠΈΡ€ΠΎΠ²Π°Ρ‚ΡŒ ΠΈΡ… Ρ€Π΅Π·ΡƒΠ»ΡŒΡ‚Π°Ρ‚Ρ‹. ΠžΡΠ½ΠΎΠ²Π½Ρ‹Π΅ ΠΌΠΎΠΌΠ΅Π½Ρ‚Ρ‹:

  • ΠžΡΠ½ΠΎΠ²Ρ‹ Ρ‚Π΅ΠΎΡ€ΠΈΠΈ вСроятностСй – Π²Π΅Ρ€ΠΎΡΡ‚Π½ΠΎΡΡ‚ΡŒ событий, условныС вСроятности, байСсовская статистика – всС это ΠΊΡ€ΠΈΡ‚ΠΈΡ‡Π½ΠΎ для создания вСроятностных ΠΌΠΎΠ΄Π΅Π»Π΅ΠΉ.
  • РаспрСдСлСния вСроятностСй – Π½ΠΎΡ€ΠΌΠ°Π»ΡŒΠ½ΠΎΠ΅ распрСдСлСниС, распрСдСлСниС ΠŸΡƒΠ°ΡΡΠΎΠ½Π° ΠΈ Π΄Ρ€ΡƒΠ³ΠΈΠ΅ – часто ΠΈΡΠΏΠΎΠ»ΡŒΠ·ΡƒΡŽΡ‚ΡΡ для модСлирования случайных процСссов.
  • ΠžΡ†Π΅Π½ΠΊΠ° ΠΏΠ°Ρ€Π°ΠΌΠ΅Ρ‚Ρ€ΠΎΠ² ΠΈ Π³ΠΈΠΏΠΎΡ‚Π΅Π· – Π½Π΅ΠΎΠ±Ρ…ΠΎΠ΄ΠΈΠΌΠΎ ΠΏΠΎΠ½ΠΈΠΌΠ°Ρ‚ΡŒ, ΠΊΠ°ΠΊ ΠΎΡ†Π΅Π½ΠΈΠ²Π°Ρ‚ΡŒ ΠΏΠ°Ρ€Π°ΠΌΠ΅Ρ‚Ρ€Ρ‹ ΠΌΠΎΠ΄Π΅Π»Π΅ΠΉ ΠΈ ΠΏΡ€ΠΎΠ²Π΅Ρ€ΡΡ‚ΡŒ Π³ΠΈΠΏΠΎΡ‚Π΅Π·Ρ‹, Π½Π°ΠΏΡ€ΠΈΠΌΠ΅Ρ€, ΠΈΡΠΏΠΎΠ»ΡŒΠ·ΡƒΡ тСстированиС Π³ΠΈΠΏΠΎΡ‚Π΅Π· ΠΈ Π΄ΠΎΠ²Π΅Ρ€ΠΈΡ‚Π΅Π»ΡŒΠ½Ρ‹Π΅ ΠΈΠ½Ρ‚Π΅Ρ€Π²Π°Π»Ρ‹.
  • ΠšΠΎΡ€Ρ€Π΅Π»ΡΡ†ΠΈΡ ΠΈ ковариация – ΠΏΠΎΠΌΠΎΠ³Π°ΡŽΡ‚ Π²Ρ‹ΡΠ²ΠΈΡ‚ΡŒ связи ΠΌΠ΅ΠΆΠ΄Ρƒ ΠΏΠ΅Ρ€Π΅ΠΌΠ΅Π½Π½Ρ‹ΠΌΠΈ, Ρ‡Ρ‚ΠΎ Π²Π°ΠΆΠ½ΠΎ ΠΏΡ€ΠΈ Π²Ρ‹Π±ΠΎΡ€Π΅ ΠΏΡ€ΠΈΠ·Π½Π°ΠΊΠΎΠ² для ΠΌΠΎΠ΄Π΅Π»ΠΈ.

Π‘Ρ‚Π°Ρ‚ΡŒΡ ΠΏΠΎ Ρ‚Π΅ΠΌΠ΅

🎲 ВСория вСроятностСй: Π³Π΄Π΅ ΠΎΠ½Π° ΠΈΡΠΏΠΎΠ»ΡŒΠ·ΡƒΠ΅Ρ‚ΡΡ ΠΈ Π½ΡƒΠΆΠ½Π° Π»ΠΈ ΠΎΠ½Π° рядовому Ρ€Π°Π·Ρ€Π°Π±ΠΎΡ‚Ρ‡ΠΈΠΊΡƒ

1.5. ΠžΡΠ½ΠΎΠ²Ρ‹ ΠΌΠ½ΠΎΠ³ΠΎΠΌΠ΅Ρ€Π½ΠΎΠ³ΠΎ Π°Π½Π°Π»ΠΈΠ·Π°

ΠžΡΠ½ΠΎΠ²Ρ‹ ΠΌΠ½ΠΎΠ³ΠΎΠΌΠ΅Ρ€Π½ΠΎΠ³ΠΎ Π°Π½Π°Π»ΠΈΠ·Π° – ΠΈΠ½Ρ‚Π΅Π³Ρ€Π°Π»ΡŒΠ½ΠΎΠ΅ ΠΈ Π΄ΠΈΡ„Ρ„Π΅Ρ€Π΅Π½Ρ†ΠΈΠ°Π»ΡŒΠ½ΠΎΠ΅ исчислСниС для Ρ„ΡƒΠ½ΠΊΡ†ΠΈΠΉ с нСсколькими ΠΏΠ΅Ρ€Π΅ΠΌΠ΅Π½Π½Ρ‹ΠΌΠΈ. Π—Π½Π°Π½ΠΈΠ΅ ΠΌΠ½ΠΎΠ³ΠΎΠΌΠ΅Ρ€Π½ΠΎΠ³ΠΎ Π°Π½Π°Π»ΠΈΠ·Π° Π²Π°ΠΆΠ½ΠΎ для Ρ€Π°Π±ΠΎΡ‚Ρ‹ со слоТными модСлями машинного обучСния, Π³Π΄Π΅ трСбуСтся оптимизация Π² ΠΌΠ½ΠΎΠ³ΠΎΠΌΠ΅Ρ€Π½Ρ‹Ρ… пространствах. НСобходимыС Ρ‚Π΅ΠΌΡ‹:

  • ЧастныС ΠΏΡ€ΠΎΠΈΠ·Π²ΠΎΠ΄Π½Ρ‹Π΅ – ΠΈΡΠΏΠΎΠ»ΡŒΠ·ΡƒΡŽΡ‚ΡΡ Π² ΠΌΠ½ΠΎΠ³ΠΎΠΌΠ΅Ρ€Π½Ρ‹Ρ… Π·Π°Π΄Π°Ρ‡Π°Ρ… ΠΎΠΏΡ‚ΠΈΠΌΠΈΠ·Π°Ρ†ΠΈΠΈ для расчСта Π³Ρ€Π°Π΄ΠΈΠ΅Π½Ρ‚ΠΎΠ² Π² ΠΌΠ΅Ρ‚ΠΎΠ΄Π΅ Π³Ρ€Π°Π΄ΠΈΠ΅Π½Ρ‚Π½ΠΎΠ³ΠΎ спуска.
  • Π“Ρ€Π°Π΄ΠΈΠ΅Π½Ρ‚Ρ‹ ΠΈ гСссианы – Π²Π°ΠΆΠ½Ρ‹ для опрСдСлСния направлСния ΠΈ скорости измСнСния Ρ„ΡƒΠ½ΠΊΡ†ΠΈΠΉ ΠΏΠΎΡ‚Π΅Ρ€ΡŒ Π² ΠΌΠ½ΠΎΠ³ΠΎΠΌΠ΅Ρ€Π½ΠΎΠΌ пространствС ΠΏΠ°Ρ€Π°ΠΌΠ΅Ρ‚Ρ€ΠΎΠ².
  • ΠœΠ½ΠΎΠ³ΠΎΠΌΠ΅Ρ€Π½Ρ‹Π΅ ΠΈΠ½Ρ‚Π΅Π³Ρ€Π°Π»Ρ‹ – ΠΏΡ€ΠΈΠΌΠ΅Π½ΡΡŽΡ‚ΡΡ для расчСта вСроятностСй Π² ΠΌΠ½ΠΎΠ³ΠΎΠΌΠ΅Ρ€Π½Ρ‹Ρ… пространствах ΠΈ Π² ΠΌΠ΅Ρ‚ΠΎΠ΄Π°Ρ… ΠœΠΎΠ½Ρ‚Π΅-ΠšΠ°Ρ€Π»ΠΎ.

2. ΠšΠ»Π°ΡΡΠΈΡ‡Π΅ΡΠΊΠΎΠ΅ машинноС ΠΎΠ±ΡƒΡ‡Π΅Π½ΠΈΠ΅

На этом этапС Π½ΡƒΠΆΠ½ΠΎ Π½Π°ΡƒΡ‡ΠΈΡ‚ΡŒΡΡ ΠΏΠΈΡΠ°Ρ‚ΡŒ ΠΊΠΎΠ΄ для Π±Π°Π·ΠΎΠ²Ρ‹Ρ… ΠΌΠΎΠ΄Π΅Π»Π΅ΠΉ рСгрСссии ΠΈ классификации, Ρ‡Ρ‚ΠΎΠ±Ρ‹ ΡΠ°ΠΌΠΎΡΡ‚ΠΎΡΡ‚Π΅Π»ΡŒΠ½ΠΎ Ρ€Π΅Π°Π»ΠΈΠ·ΠΎΠ²Π°Ρ‚ΡŒ, Π½Π°ΠΏΡ€ΠΈΠΌΠ΅Ρ€, модСль Π»ΠΈΠ½Π΅ΠΉΠ½ΠΎΠΉ рСгрСссии (для прСдсказания числового значСния) ΠΈ логистичСской рСгрСссии (для классификации Π΄Π°Π½Π½Ρ‹Ρ… Π½Π° ΠΊΠ°Ρ‚Π΅Π³ΠΎΡ€ΠΈΠΈ). Π’Π°ΠΊΠΆΠ΅ Π½Π°Π΄ΠΎ Ρ€Π°Π·ΠΎΠ±Ρ€Π°Ρ‚ΡŒΡΡ Π² Π°Ρ€Ρ…ΠΈΡ‚Π΅ΠΊΡ‚ΡƒΡ€Π΅ Π½Π΅Π±ΠΎΠ»ΡŒΡˆΠΈΡ… многослойных нСйросСтСй.

3. Π“Π»ΡƒΠ±ΠΎΠΊΠΎΠ΅ ΠΎΠ±ΡƒΡ‡Π΅Π½ΠΈΠ΅

Надо Π½Π°ΡƒΡ‡ΠΈΡ‚ΡŒΡΡ ΡΠΎΠ·Π΄Π°Π²Π°Ρ‚ΡŒ многослойныС Π½Π΅ΠΉΡ€ΠΎΠ½Π½Ρ‹Π΅ сСти с большим числом ΠΏΠ°Ρ€Π°ΠΌΠ΅Ρ‚Ρ€ΠΎΠ². АрхитСктура сСти Π±ΡƒΠ΄Π΅Ρ‚ ΠΏΠΎΠ΄Π±ΠΈΡ€Π°Ρ‚ΡŒΡΡ ΠΏΠΎΠ΄ ΠΊΠΎΠ½ΠΊΡ€Π΅Ρ‚Π½Ρ‹Π΅ Π·Π°Π΄Π°Ρ‡ΠΈ: ΠΊΠΎΠΌΠΏΡŒΡŽΡ‚Π΅Ρ€Π½ΠΎΠ΅ Π·Ρ€Π΅Π½ΠΈΠ΅, ΠΎΠ±Ρ€Π°Π±ΠΎΡ‚ΠΊΠ° тСкста ΠΈ Ρ‚Π°ΠΊ Π΄Π°Π»Π΅Π΅. Π—Π΄Π΅ΡΡŒ ΡƒΠΆΠ΅ Π½ΡƒΠΆΠ½ΠΎ ΠΏΠΎΠ½ΠΈΠΌΠ°Ρ‚ΡŒ, ΠΊΠ°ΠΊ ΠΎΠΏΡ‚ΠΈΠΌΠΈΠ·ΠΈΡ€ΠΎΠ²Π°Ρ‚ΡŒ ΡΠ΅Ρ‚ΡŒ, Π²Ρ‹Π±ΠΈΡ€Π°Ρ‚ΡŒ ΠΏΡ€Π°Π²ΠΈΠ»ΡŒΠ½Ρ‹Π΅ Π³ΠΈΠΏΠ΅Ρ€ΠΏΠ°Ρ€Π°ΠΌΠ΅Ρ‚Ρ€Ρ‹ ΠΈ ΠΈΡΠΏΠΎΠ»ΡŒΠ·ΠΎΠ²Π°Ρ‚ΡŒ ΠΌΠΎΡ‰Π½Ρ‹Π΅ инструмСнты для Ρ€Π°Π±ΠΎΡ‚Ρ‹ с большими объСмами Π΄Π°Π½Π½Ρ‹Ρ….

4. ΠŸΠ΅Ρ€Π΅Π΄ΠΎΠ²Ρ‹Π΅ Ρ‚Π΅Ρ…Π½ΠΎΠ»ΠΎΠ³ΠΈΠΈ машинного обучСния

Π—Π΄Π΅ΡΡŒ ΠΈΠ·ΡƒΡ‡Π°ΡŽΡ‚ΡΡ самыС соврСмСнныС ΠΈ ΠΏΡ€ΠΎΠ΄Π²ΠΈΠ½ΡƒΡ‚Ρ‹Π΅ ΠΌΠΎΠ΄Π΅Π»ΠΈ: трансформСры, большиС языковыС ΠΌΠΎΠ΄Π΅Π»ΠΈ (LLM), Π΄ΠΈΡ„Ρ„ΡƒΠ·ΠΈΠΎΠ½Π½Ρ‹Π΅ ΠΌΠΎΠ΄Π΅Π»ΠΈ ΠΈ Π΄Ρ€ΡƒΠ³ΠΈΠ΅ новСйшиС ΠΌΠ΅Ρ‚ΠΎΠ΄Ρ‹. ИмСнно ΠΎΠ½ΠΈ Π²Ρ‹Π·Ρ‹Π²Π°ΡŽΡ‚ Ρƒ Π½Π°Ρ‡ΠΈΠ½Π°ΡŽΡ‰ΠΈΡ… интСрСс ΠΊ ΠΌΠ°ΡˆΠΈΠ½Π½ΠΎΠΌΡƒ ΠΎΠ±ΡƒΡ‡Π΅Π½ΠΈΡŽ ΠΈ ΠΏΡ€ΠΈΠ²Π»Π΅ΠΊΠ°ΡŽΡ‚ Π²Π½ΠΈΠΌΠ°Π½ΠΈΠ΅ исслСдоватСлСй ΠΈ Ρ€Π°Π·Ρ€Π°Π±ΠΎΡ‚Ρ‡ΠΈΠΊΠΎΠ² ΠΏΠΎ всСму ΠΌΠΈΡ€Ρƒ.

πŸ€– Π‘ΠΈΠ±Π»ΠΈΠΎΡ‚Π΅ΠΊΠ° Π”Π°Ρ‚Π° БайСнтиста

Π‘ΠΎΠ»ΡŒΡˆΠ΅ ΠΏΠΎΠ»Π΅Π·Π½Ρ‹Ρ… ΠΌΠ°Ρ‚Π΅Ρ€ΠΈΠ°Π»ΠΎΠ² Π²Ρ‹ Π½Π°ΠΉΠ΄Π΅Ρ‚Π΅ Π½Π° нашСм Ρ‚Π΅Π»Π΅Π³Ρ€Π°ΠΌ-ΠΊΠ°Π½Π°Π»Π΅ Β«Π‘ΠΈΠ±Π»ΠΈΠΎΡ‚Π΅ΠΊΠ° Π”Π°Ρ‚Π° БайСнтиста»

πŸ€–πŸŽ“ Π‘ΠΈΠ±Π»ΠΈΠΎΡ‚Π΅ΠΊΠ° DS для собСса

ΠŸΠΎΠ΄Ρ‚ΡΠ½ΡƒΡ‚ΡŒ свои знания ΠΏΠΎ DS Π²Ρ‹ ΠΌΠΎΠΆΠ΅Ρ‚Π΅ Π½Π° нашСм Ρ‚Π΅Π»Π΅Π³Ρ€Π°ΠΌ-ΠΊΠ°Π½Π°Π»Π΅ Β«Π‘ΠΈΠ±Π»ΠΈΠΎΡ‚Π΅ΠΊΠ° DS для собСса»

πŸ€–πŸ§© Π‘ΠΈΠ±Π»ΠΈΠΎΡ‚Π΅ΠΊΠ° Π·Π°Π΄Π°Ρ‡ ΠΏΠΎ DS

Π˜Π½Ρ‚Π΅Ρ€Π΅ΡΠ½Ρ‹Π΅ Π·Π°Π΄Π°Ρ‡ΠΈ ΠΏΠΎ DS для ΠΏΡ€Π°ΠΊΡ‚ΠΈΠΊΠΈ ΠΌΠΎΠΆΠ½ΠΎ Π½Π°ΠΉΡ‚ΠΈ Π½Π° нашСм Ρ‚Π΅Π»Π΅Π³Ρ€Π°ΠΌ-ΠΊΠ°Π½Π°Π»Π΅ Β«Π‘ΠΈΠ±Π»ΠΈΠΎΡ‚Π΅ΠΊΠ° Π·Π°Π΄Π°Ρ‡ ΠΏΠΎ DSΒ»

ΠŸΠΎΡ‡Π΅ΠΌΡƒ Π½Π΅ ΡΡ‚ΠΎΠΈΡ‚ΡŒ ΠΈΠ·ΡƒΡ‡Π°Ρ‚ΡŒ ΠΌΠ°Ρ‚Π΅ΠΌΠ°Ρ‚ΠΈΠΊΡƒ для ML ΠΏΠΎ ΠΎΠ±Ρ‹Ρ‡Π½Ρ‹ΠΌ ΡƒΡ‡Π΅Π±Π½ΠΈΠΊΠ°ΠΌ

Π’ ΠΈΠ½Ρ‚Π΅Ρ€Π½Π΅Ρ‚Π΅ достаточно бСсплатных ΠΌΠ°Ρ‚Π΅Ρ€ΠΈΠ°Π»ΠΎΠ², ΠΈ ΠΏΡ€ΠΈ ΠΆΠ΅Π»Π°Π½ΠΈΠΈ ΠΌΠ°Ρ‚Π΅ΠΌΠ°Ρ‚ΠΈΠΊΡƒ ΠΌΠΎΠΆΠ½ΠΎ ΠΈΠ·ΡƒΡ‡Π°Ρ‚ΡŒ ΡΠ°ΠΌΠΎΡΡ‚ΠΎΡΡ‚Π΅Π»ΡŒΠ½ΠΎ. Π‘Π»Π΅Π΄ΡƒΠ΅Ρ‚, ΠΎΠ΄Π½Π°ΠΊΠΎ, ΠΎΡ‚Π΄Π°Π²Π°Ρ‚ΡŒ ΠΏΡ€Π΅Π΄ΠΏΠΎΡ‡Ρ‚Π΅Π½ΠΈΠ΅ ΠΊΠ½ΠΈΠ³Π°ΠΌ ΠΈ курсам, ΠΊΠΎΡ‚ΠΎΡ€Ρ‹Π΅ ΠΈΠ·Π½Π°Ρ‡Π°Π»ΡŒΠ½ΠΎ создавались с ΡƒΡ‡Π΅Ρ‚ΠΎΠΌ ML-спСцифики. ΠžΠ±Ρ‹Ρ‡Π½Ρ‹Π΅ ΡƒΡ‡Π΅Π±Π½ΠΈΠΊΠΈ Π½Π΅ подходят ΠΏΠΎΡ‚ΠΎΠΌΡƒ, Ρ‡Ρ‚ΠΎ Π΄Π°Π»Π΅ΠΊΠΎ Π½Π΅ ΠΊΠ°ΠΆΠ΄Ρ‹ΠΉ Ρ€Π°Π·Π΄Π΅Π» ΠΌΠ°Ρ‚Π΅ΠΌΠ°Ρ‚ΠΈΠΊΠΈ ΠΈΡΠΏΠΎΠ»ΡŒΠ·ΡƒΠ΅Ρ‚ΡΡ Π² ML ΠΏΠΎΠ»Π½ΠΎΡΡ‚ΡŒΡŽ. НапримСр, ΠΈΠ· Ρ€Π°Π·Π΄Π΅Π»Π° Π΄ΠΈΡ„Ρ„Π΅Ρ€Π΅Π½Ρ†ΠΈΠ°Π»ΡŒΠ½ΠΎΠ³ΠΎ исчислСния для Ρ„ΡƒΠ½ΠΊΡ†ΠΈΠΉ с нСсколькими ΠΏΠ΅Ρ€Π΅ΠΌΠ΅Π½Π½Ρ‹ΠΌΠΈ ΠΎΠ±ΡΠ·Π°Ρ‚Π΅Π»ΡŒΠ½ΠΎ Π½ΡƒΠΆΠ½ΠΎ Π·Π½Π°Ρ‚ΡŒ, ΠΊΠ°ΠΊ Π²Ρ‹Ρ‡ΠΈΡΠ»ΡΡ‚ΡŒ Π³Ρ€Π°Π΄ΠΈΠ΅Π½Ρ‚Ρ‹. Π“Ρ€Π°Π΄ΠΈΠ΅Π½Ρ‚Ρ‹ постоянно ΠΈΡΠΏΠΎΠ»ΡŒΠ·ΡƒΡŽΡ‚ΡΡ Π² ΠΌΠ΅Ρ‚ΠΎΠ΄Π°Ρ… ΠΎΠΏΡ‚ΠΈΠΌΠΈΠ·Π°Ρ†ΠΈΠΈ, Ρ‚Π°ΠΊΠΈΡ… ΠΊΠ°ΠΊ Π³Ρ€Π°Π΄ΠΈΠ΅Π½Ρ‚Π½Ρ‹ΠΉ спуск, ΠΊΠΎΡ‚ΠΎΡ€Ρ‹ΠΉ ΠΏΠΎΠΌΠΎΠ³Π°Π΅Ρ‚ ΠΎΠ±ΡƒΡ‡Π°Ρ‚ΡŒ ΠΌΠΎΠ΄Π΅Π»ΠΈ машинного обучСния. Π’Π°ΠΊΠΆΠ΅ Π²Π°ΠΆΠ½ΠΎ Ρ…ΠΎΡ€ΠΎΡˆΠΎ ΠΏΠΎΠ½ΠΈΠΌΠ°Ρ‚ΡŒ Ρ†Π΅ΠΏΠ½ΠΎΠ΅ ΠΏΡ€Π°Π²ΠΈΠ»ΠΎ диффСрСнцирования слоТных Ρ„ΡƒΠ½ΠΊΡ†ΠΈΠΉ. Π­Ρ‚ΠΈ ΠΊΠΎΠ½Ρ†Π΅ΠΏΡ†ΠΈΠΈ Π»Π΅ΠΆΠ°Ρ‚ Π² основС Π°Π»Π³ΠΎΡ€ΠΈΡ‚ΠΌΠ° ΠΎΠ±Ρ€Π°Ρ‚Π½ΠΎΠ³ΠΎ распространСния ошибки, ΠΊΠΎΡ‚ΠΎΡ€Ρ‹ΠΉ ΠΈΡΠΏΠΎΠ»ΡŒΠ·ΡƒΠ΅Ρ‚ΡΡ для обучСния Π½Π΅ΠΉΡ€ΠΎΠ½Π½Ρ‹Ρ… сСтСй.

Π’ Ρ‚ΠΎ ΠΆΠ΅ врСмя дивСргСнция, Ρ€ΠΎΡ‚ΠΎΡ€, сфСричСскиС ΠΊΠΎΠΎΡ€Π΄ΠΈΠ½Π°Ρ‚Ρ‹ ΠΈ Ρ‚Π΅ΠΎΡ€Π΅ΠΌΠ° Бтокса Π²ΠΎΠΎΠ±Ρ‰Π΅ Π½Π΅ Π²ΡΡ‚Ρ€Π΅Ρ‡Π°ΡŽΡ‚ΡΡ Π² машинном ΠΎΠ±ΡƒΡ‡Π΅Π½ΠΈΠΈ. Π­Ρ‚ΠΈ понятия Π²Π°ΠΆΠ½Ρ‹ Π² Ρ„ΠΈΠ·ΠΈΠΊΠ΅ ΠΈ ΠΌΠ½ΠΎΠ³ΠΈΡ… Π΄Ρ€ΡƒΠ³ΠΈΡ… областях, Π½ΠΎ для Ρ€Π°Π±ΠΎΡ‚Ρ‹ с ML ΠΈΡ… Π·Π½Π°Ρ‚ΡŒ Π½Π΅ Π½ΡƒΠΆΠ½ΠΎ. Π’Ρ€Π΅Π΄Π° ΠΎΡ‚ Π»ΠΈΡˆΠ½ΠΈΡ… Π·Π½Π°Π½ΠΈΠΉ, ΠΊΠΎΠ½Π΅Ρ‡Π½ΠΎ ΠΆΠ΅, Π½Π΅ Π±ΡƒΠ΄Π΅Ρ‚, Π½ΠΎ Ρƒ Ρ‚Π°ΠΊΠΎΠ³ΠΎ ΡˆΠΈΡ€ΠΎΠΊΠΎΠΎΡ…Π²Π°Ρ‚Π½ΠΎΠ³ΠΎ ΠΏΠΎΠ΄Ρ…ΠΎΠ΄Π° Π΅ΡΡ‚ΡŒ Π΄Π²Π° ΡΠ΅Ρ€ΡŒΠ΅Π·Π½Ρ‹Ρ… минуса:

  • Много Π²Ρ€Π΅ΠΌΠ΅Π½ΠΈ Π±ΡƒΠ΄Π΅Ρ‚ ΠΏΠΎΡ‚Ρ€Π°Ρ‡Π΅Π½ΠΎ Π½Π° ΠΈΠ·ΡƒΡ‡Π΅Π½ΠΈΠ΅ аспСктов, ΠΊΠΎΡ‚ΠΎΡ€Ρ‹Π΅ Π½ΠΈΠΊΠΎΠ³Π΄Π° Π½Π΅ пригодятся Π² Ρ€Π°Π±ΠΎΡ‚Π΅.
  • Π§Π΅ΠΌ ΠΎΠ±ΡˆΠΈΡ€Π½Π΅Π΅ ΠΈ слоТнСС ΠΏΡ€ΠΎΠ³Ρ€Π°ΠΌΠΌΠ° ΠΏΠΎΠ΄Π³ΠΎΡ‚ΠΎΠ²ΠΊΠΈ, Ρ‚Π΅ΠΌ Π²Ρ‹ΡˆΠ΅ Π²Π΅Ρ€ΠΎΡΡ‚Π½ΠΎΡΡ‚ΡŒ ΡΠ΄Π°Ρ‚ΡŒΡΡ Ρ€Π°Π½ΡŒΡˆΠ΅ Π²Ρ€Π΅ΠΌΠ΅Π½ΠΈ ΠΈ Π½Π΅ Π΄ΠΎΠΉΡ‚ΠΈ Π΄ΠΎ Ρ†Π΅Π»ΠΈ Π²ΠΎΠΎΠ±Ρ‰Π΅.

А спСциализированныС ΠΊΠ½ΠΈΠ³ΠΈ ΠΈ курсы, Π½Π°ΠΏΡ€ΠΎΡ‚ΠΈΠ², ΠΏΡ€Π΅Π΄Π»Π°Π³Π°ΡŽΡ‚ нСсколько вСсомых прСимущСств (ΠΏΠΎΠΌΠΈΠΌΠΎ сТатой ΠΏΡ€ΠΎΠ³Ρ€Π°ΠΌΠΌΡ‹):

  • ΠŸΡ€Π°ΠΊΡ‚ΠΈΡ‡Π΅ΡΠΊΠΈΠ΅ ΠΏΡ€ΠΈΠΌΠ΅Ρ€Ρ‹ – Ρ€Π°Π±ΠΎΡ‚Π° с Π³Ρ€Π°Π΄ΠΈΠ΅Π½Ρ‚Π½Ρ‹ΠΌ спуском, ΠΌΠ°Ρ‚Ρ€ΠΈΡ†Π°ΠΌΠΈ ΠΏΡ€ΠΈΠ·Π½Π°ΠΊΠΎΠ² ΠΈΠ»ΠΈ вСроятностными модСлями, ΠΊΠΎΡ‚ΠΎΡ€Ρ‹Π΅ ΠΏΠΎΠΌΠΎΠ³Π°ΡŽΡ‚ Π»ΡƒΡ‡ΡˆΠ΅ ΠΏΠΎΠ½ΡΡ‚ΡŒ, ΠΊΠ°ΠΊ матСматичСскиС ΠΊΠΎΠ½Ρ†Π΅ΠΏΡ†ΠΈΠΈ ΠΏΡ€ΠΈΠΌΠ΅Π½ΡΡŽΡ‚ΡΡ Π² машинном ΠΎΠ±ΡƒΡ‡Π΅Π½ΠΈΠΈ.
  • Π Π°Π·Π²ΠΈΡ‚ΠΈΠ΅ ΠΈΠ½Ρ‚ΡƒΠΈΡ‚ΠΈΠ²Π½ΠΎΠ³ΠΎ понимания спСцифичСских матСматичСских ΠΏΠΎΠ΄Ρ…ΠΎΠ΄ΠΎΠ², Π½Π°ΠΏΡ€ΠΈΠΌΠ΅Ρ€, рСгуляризации для прСдотвращСния пСрСобучСния ΠΈΠ»ΠΈ использования Π³Ρ€Π°Π΄ΠΈΠ΅Π½Ρ‚Π½Ρ‹Ρ… ΠΌΠ΅Ρ‚ΠΎΠ΄ΠΎΠ² для ΠΌΠΈΠ½ΠΈΠΌΠΈΠ·Π°Ρ†ΠΈΠΈ Ρ„ΡƒΠ½ΠΊΡ†ΠΈΠΉ ΠΏΠΎΡ‚Π΅Ρ€ΡŒ.
  • Π‘ΠΎΠ²Ρ€Π΅ΠΌΠ΅Π½Π½Ρ‹Π΅ ΠΌΠ΅Ρ‚ΠΎΠ΄Ρ‹ ΠΈ Π°Π»Π³ΠΎΡ€ΠΈΡ‚ΠΌΡ‹. МашинноС ΠΎΠ±ΡƒΡ‡Π΅Π½ΠΈΠ΅ – быстро Ρ€Π°Π·Π²ΠΈΠ²Π°ΡŽΡ‰Π°ΡΡΡ ΠΎΠ±Π»Π°ΡΡ‚ΡŒ, ΠΈ спСциализированныС ΠΊΠ½ΠΈΠ³ΠΈ часто содСрТат новСйшиС ΠΏΠΎΠ΄Ρ…ΠΎΠ΄Ρ‹ ΠΈ ΠΌΠ΅Ρ‚ΠΎΠ΄Ρ‹, ΠΊΠΎΡ‚ΠΎΡ€Ρ‹Π΅ Π΅Ρ‰Π΅ Π½Π΅ вошли Π² ΠΎΠ±Ρ‰ΠΈΠ΅ ΡƒΡ‡Π΅Π±Π½ΠΈΠΊΠΈ ΠΌΠ°Ρ‚Π΅ΠΌΠ°Ρ‚ΠΈΠΊΠΈ.

Как Π½Π΅ ΠΏΠΎΡ‚Π΅Ρ€ΡΡ‚ΡŒ ΠΌΠΎΡ‚ΠΈΠ²Π°Ρ†ΠΈΡŽ

Π§Π΅Π»ΠΎΠ²Π΅ΠΊΡƒ с матСматичСским ΠΎΠ±Ρ€Π°Π·ΠΎΠ²Π°Π½ΠΈΠ΅ΠΌ эта дороТная ΠΊΠ°Ρ€Ρ‚Π° вряд Π»ΠΈ покаТСтся слоТной, Π½ΠΎ для Π±ΠΎΠ»ΡŒΡˆΠΈΠ½ΡΡ‚Π²Π° ΠΎΡΡ‚Π°Π»ΡŒΠ½Ρ‹Ρ… людСй объСм ΠΌΠ°Ρ‚Π΅ΠΌΠ°Ρ‚ΠΈΠΊΠΈ, Π½Π΅ΠΎΠ±Ρ…ΠΎΠ΄ΠΈΠΌΡ‹ΠΉ для ML, выглядит ΠΏΡƒΠ³Π°ΡŽΡ‰ΠΈΠΌ. Π§Ρ‚ΠΎΠ±Ρ‹ Π½Π΅ ΠΏΠΎΡ‚Π΅Ρ€ΡΡ‚ΡŒ ΠΌΠΎΡ‚ΠΈΠ²Π°Ρ†ΠΈΡŽ, стоит ΠΈΠ½ΠΎΠ³Π΄Π° ΠΎΡ‚Π²Π»Π΅ΠΊΠ°Ρ‚ΡŒΡΡ – Π½Π° Ρ‡Ρ‚Π΅Π½ΠΈΠ΅ статСй ΠΎ ΠΏΠ΅Ρ€Π΅Π΄ΠΎΠ²Ρ‹Ρ… исслСдованиях, тСстированиС Π½ΠΎΠ²Ρ‹Ρ… ΠΌΠΎΠ΄Π΅Π»Π΅ΠΉ машинного обучСния ΠΈ экспСримСнты с Π±ΠΈΠ±Π»ΠΈΠΎΡ‚Π΅ΠΊΠ°ΠΌΠΈ. Π­Ρ‚ΠΎ ΠΏΠΎΠΌΠΎΠΆΠ΅Ρ‚ ΠΏΠΎΠ΄Π΄Π΅Ρ€ΠΆΠ°Ρ‚ΡŒ ΠΆΠΈΠ²ΠΎΠΉ интСрСс ΠΈ энтузиазм. Π’Π°ΠΊΠΆΠ΅ Π²Π°ΠΆΠ½ΠΎ ΠΏΠΎΠΌΠ½ΠΈΡ‚ΡŒ, Ρ‡Ρ‚ΠΎ послС Ρ‚ΠΎΠ³ΠΎ, ΠΊΠ°ΠΊ Π²Ρ‹ освоитС Ρ„ΡƒΠ½Π΄Π°ΠΌΠ΅Π½Ρ‚Π°Π»ΡŒΠ½ΡƒΡŽ ΠΌΠ°Ρ‚Π΅ΠΌΠ°Ρ‚ΠΈΡ‡Π΅ΡΠΊΡƒΡŽ Π±Π°Π·Ρƒ ΠΈ классичСскоС машинноС ΠΎΠ±ΡƒΡ‡Π΅Π½ΠΈΠ΅, Π΄Π΅Π»ΠΎ ΠΏΠΎΠΉΠ΄Π΅Ρ‚ Π³ΠΎΡ€Π°Π·Π΄ΠΎ ΠΏΡ€ΠΎΡ‰Π΅: Π²Π°ΠΌ ΡƒΠΆΠ΅ Π±ΡƒΠ΄Π΅Ρ‚ ΠΏΠΎ силам процСсс создания ΠΈ дообучСния ΠΌΠΎΠ΄Π΅Π»Π΅ΠΉ ΠΏΠΎ описаниям Π² публикациях Π½Π° arxiv.org, Π° это ΠΎΡ‚ΠΊΡ€ΠΎΠ΅Ρ‚ Π²Ρ…ΠΎΠ΄ Π² ML-Π½ΠΈΡˆΡƒ Π½Π° Π΄ΠΆΡƒΠ½ΠΈΠΎΡ€ΡΠΊΡƒΡŽ ΠΏΠΎΠ·ΠΈΡ†ΠΈΡŽ.

ΠœΠ°Ρ‚Π΅ΠΌΠ°Ρ‚ΠΈΠΊΠ° для Data Science: ΠΎΡ‚ основ ΠΊ ML

Π₯ΠΎΡ‡Π΅ΡˆΡŒ ΡΡ‚Π°Ρ‚ΡŒ экспСртом Π² Machine Learning ΠΈ Data Science? Начни с Ρ„ΡƒΠ½Π΄Π°ΠΌΠ΅Π½Ρ‚Π°. Наш курс ΠΌΠ°Ρ‚Π΅ΠΌΠ°Ρ‚ΠΈΠΊΠΈ для Data Science раскрываСт ΠΊΠ»ΡŽΡ‡Π΅Π²Ρ‹Π΅ ΠΊΠΎΠ½Ρ†Π΅ΠΏΡ†ΠΈΠΈ, Π½Π΅ΠΎΠ±Ρ…ΠΎΠ΄ΠΈΠΌΡ‹Π΅ для успСха Π² ΠΌΠΈΡ€Π΅ AI ΠΈ ML.

πŸ”’ Π§Ρ‚ΠΎ Ρ‚Ρ‹ ΠΏΠΎΠ»ΡƒΡ‡ΠΈΡˆΡŒ:

  • Π“Π»ΡƒΠ±ΠΎΠΊΠΎΠ΅ ΠΏΠΎΠ½ΠΈΠΌΠ°Π½ΠΈΠ΅ матСматичСских ΠΊΠΎΠ½Ρ†Π΅ΠΏΡ†ΠΈΠΉ, примСняСмых Π² ML
  • Навыки Ρ€Π°Π±ΠΎΡ‚Ρ‹ с Ρ€Π΅Π°Π»ΡŒΠ½Ρ‹ΠΌΠΈ Π΄Π°Π½Π½Ρ‹ΠΌΠΈ ΠΈ модСлями
  • Π£Π²Π΅Ρ€Π΅Π½Π½ΠΎΡΡ‚ΡŒ Π² ΠΈΠ½Ρ‚Π΅Ρ€ΠΏΡ€Π΅Ρ‚Π°Ρ†ΠΈΠΈ слоТных Π°Π»Π³ΠΎΡ€ΠΈΡ‚ΠΌΠΎΠ²

πŸ“Š ΠŸΡ€ΠΎΠ³Ρ€Π°ΠΌΠΌΠ° курса:

  • Школьная ΠΌΠ°Ρ‚Π΅ΠΌΠ°Ρ‚ΠΈΠΊΠ°
  • ΠœΠ°Ρ‚Π΅ΠΌΠ°Ρ‚ΠΈΡ‡Π΅ΡΠΊΠΈΠΉ Π°Π½Π°Π»ΠΈΠ·
  • ЛинСйная Π°Π»Π³Π΅Π±Ρ€Π°
  • ΠšΠΎΠΌΠ±ΠΈΠ½Π°Ρ‚ΠΎΡ€ΠΈΠΊΠ°
  • ВСория вСроятностСй ΠΈ матСматичСская статистика
  • МашинноС ΠΎΠ±ΡƒΡ‡Π΅Π½ΠΈΠ΅

πŸ’‘ ΠžΡΠΎΠ±Π΅Π½Π½ΠΎΡΡ‚ΠΈ обучСния:

  • Π˜Π½Ρ‚Π΅Ρ€Π°ΠΊΡ‚ΠΈΠ²Π½Ρ‹Π΅ задания Π½Π° Ρ€Π΅Π°Π»ΡŒΠ½Ρ‹Ρ… датасСтах
  • Π Π°Π·Π±ΠΎΡ€ кСйсов ΠΈΠ· индустрии
  • ΠŸΠΎΠ΄Π΄Π΅Ρ€ΠΆΠΊΠ° ΠΎΠΏΡ‹Ρ‚Π½Ρ‹Ρ… ΠΌΠ΅Π½Ρ‚ΠΎΡ€ΠΎΠ²

НСзависимо ΠΎΡ‚ Ρ‚Π²ΠΎΠ΅Π³ΠΎ Ρ‚Π΅ΠΊΡƒΡ‰Π΅Π³ΠΎ уровня, этот курс ΠΏΠΎΠΌΠΎΠΆΠ΅Ρ‚ Ρ‚Π΅Π±Π΅ ΠΏΠΎΡΡ‚Ρ€ΠΎΠΈΡ‚ΡŒ ΠΏΡ€ΠΎΡ‡Π½Ρ‹ΠΉ Ρ„ΡƒΠ½Π΄Π°ΠΌΠ΅Π½Ρ‚ для ΠΊΠ°Ρ€ΡŒΠ΅Ρ€Ρ‹ Π² Data Science ΠΈ машинном ΠΎΠ±ΡƒΡ‡Π΅Π½ΠΈΠΈ.

Π˜Π½Ρ‚Π΅Ρ€Π΅ΡΠ½ΠΎ, Ρ…ΠΎΡ‡Ρƒ ΠΏΠΎΠΏΡ€ΠΎΠ±ΠΎΠ²Π°Ρ‚ΡŒ

(function () { let link = document .getElementById ("ad2bc138-0e8a-4ffe-bee2-dd2ff02bae55-https://proglib.io/w/4799ef1d-53"); if (! link) return; let href = link .getAttribute ("href"); if (! href) return; let prefix = link .dataset .prefix; let action = link .dataset .action; link .addEventListener ("click", function (e) { let data = new FormData (); data .append ("url", href); apiFetch (action, { method: "POST", body: data }) .then (function (res) {}) .catch (function (err) { console .error (err); }); }) })();