Найти в Дзене
Mathematics

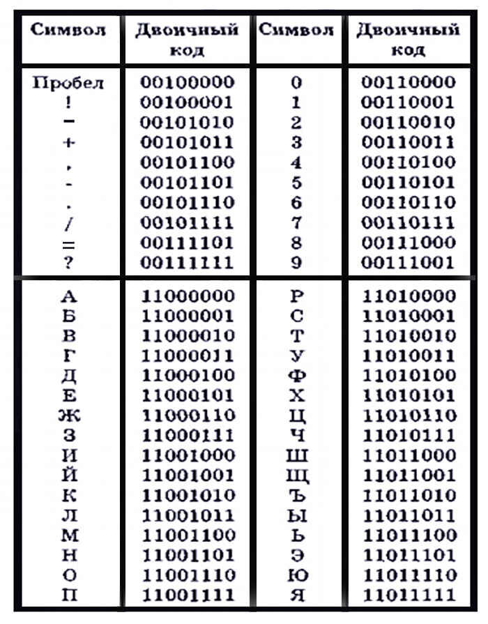
Буквы в двоичном коде.

В принципе тут нет никакого алгоритма, тут надо запоминать. Если чисел бесконечность, то у букв есть свой конец. Сами в этом можете убедиться. Вот загадайте любое число! Готово? А теперь давайте предположим, что это число - х. После этого сами подумайте, есть число, которое на один больше чем х. А для букв сделана определённая таблица. Примерно такая: Конечно есть и английские таблицы, но это смотря где использовать двоичный код. И да. 0123456789 - это символы, а не числа и не цифры. Если не верите, можете убедиться. В прошлой статье я написал про числа. И к примеру: 0 равен 00000000, а не 00110000. 3 это 00000011, а не 00110011. Просто в письме ты используешь цифры как символы Пример: мне 7 лет. А числа нужны в программировании. Ну к примеру: у каждого игрока 10 сердечек в майнкрафте. Вот ещё одна таблица: Как не перепутутать: Считайте всегда по 8 цифр и тогда вы отличие символы (кстати, программа тоже считает по байтам а не битам

В принципе тут нет никакого алгоритма, тут надо запоминать. Если чисел бесконечность, то у букв есть свой конец. Сами в этом можете убедиться. Вот загадайте любое число! Готово? А теперь давайте предположим, что это число - х. После этого сами подумайте, есть число, которое на один больше чем х. А для букв сделана определённая таблица. Примерно такая:

Нашёл в яндекс)))
Нашёл в яндекс)))

Конечно есть и английские таблицы, но это смотря где использовать двоичный код. И да. 0123456789 - это символы, а не числа и не цифры. Если не верите, можете убедиться. В прошлой статье я написал про числа. И к примеру:

0 равен 00000000, а не 00110000.

3 это 00000011, а не 00110011.

Просто в письме ты используешь цифры как символы

Пример: мне 7 лет.

А числа нужны в программировании. Ну к примеру: у каждого игрока 10 сердечек в майнкрафте.

Вот ещё одна таблица:

Ну тоже нашёл в яндексе, не знаю, но мне кажется, что здесь все символы русской клавиатуры.
Ну тоже нашёл в яндексе, не знаю, но мне кажется, что здесь все символы русской клавиатуры.

Как не перепутутать:

Считайте всегда по 8 цифр и тогда вы отличие символы (кстати, программа тоже считает по байтам а не битам