Добавить в корзинуПозвонить
Найти в Дзене

Решение 34 задачи из демоверсии ЕГЭ 2025

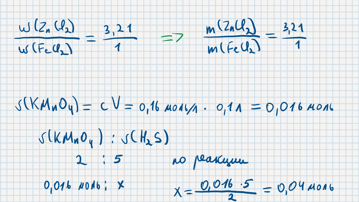
Смесь сульфидов цинка и железа(II) растворили в избытке соляной кислоты, получив раствор, в котором массовая доля соли цинка в 3,21 раза больше массовой доли второй соли. Выделившийся при растворении газ прореагировал в сернокислотной среде точно с 100 мл раствора перманганата калия, концентрация которого 0,16 моль/л. Рассчитайте массовую долю сульфида цинка в исходной смеси сульфидов металлов. В ответе запишите уравнения реакций, которые указаны в условии задачи, и приведите все необходимые вычисления (указывайте единицы измерения искомых физических величин). Напишем уравнения химических реакций. При взаимодействии и сульфида цинка и сульфида железа (II) выделяется сероводород в виде газа. Сероводород с подкисленным перманганатом калия вступает в окислительно-восстановительную реакцию. Для решения задачи необходимо определить количество вещества сероводорода. Для этого определяем количество вещества перманганата калия через концентрацию. После, по соотношению рассчитываем коли
Смесь сульфидов цинка и железа(II) растворили в избытке соляной кислоты, получив раствор, в котором массовая доля соли цинка в 3,21 раза больше массовой доли второй соли. Выделившийся при растворении газ прореагировал в сернокислотной среде точно с 100 мл раствора перманганата калия, концентрация которого 0,16 моль/л. Рассчитайте массовую долю сульфида цинка в исходной смеси сульфидов металлов. В ответе запишите уравнения реакций, которые указаны в условии задачи, и приведите все необходимые вычисления (указывайте единицы измерения искомых физических величин).

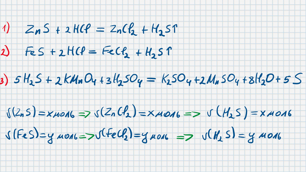
Напишем уравнения химических реакций. При взаимодействии и сульфида цинка и сульфида железа (II) выделяется сероводород в виде газа.

Сероводород с подкисленным перманганатом калия вступает в окислительно-восстановительную реакцию.

Для решения задачи необходимо определить количество вещества сероводорода. Для этого определяем количество вещества перманганата калия через концентрацию. После, по соотношению рассчитываем количество вещества сероводорода.

-2

Далее, составляем систему уравнений. Где, в первом уравнении пишем количество вещества сероводородов из первой и второй реакции составляет 0,04 моль. А, во втором уравнении, как по условию задачи сказано, что масса соли цинка больше в 3,21 раза, чем масса соли железа.

-3

После решения системы уравнений. Определяем массу сульфидов и определяем массовую долю сульфида цинка.

-4

Решение 34 задачи из демоверсии ЕГЭ 2024 года

Мой телеграмм канал для разбора теории школьного курса химии и подготовки к экзаменам https://t.me/renatchemist