Добавить в корзинуПозвонить
Найти в Дзене
Блокнот Краснодар

На шести краснодарских улицах 18 августа исчезнет свет

Здания на шести улицах Краснодара (Красная, Рашпилевская, 70-летия Октября, Думенко, Октябрьская, Красных Партизан) обесточат примерно на два часа – с 8:00 до 10:00. Под отключение попали жилые дома, аптеки, Кубанский казачий хор, Законодательное собрание Краснодарского края, овощной павильон, магазины, сауна, клиники, кафе, киоск и прочие объекты. Подробный график на 18 августа: Ранее редакция публиковала афишу мероприятий на выходные в Краснодаре. Мастер-классы и игровые программы пройдут в Городском Саду, Чистяковской Роще и на Солнечном острове.

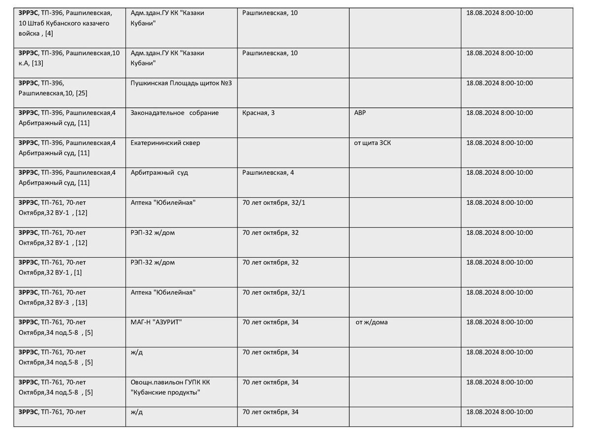
Утром 18 августа на шести краснодарских улицах исчезнет свет в связи работами на сетях. Публикуем список адресов и график отключений.

Здания на шести улицах Краснодара (Красная, Рашпилевская, 70-летия Октября, Думенко, Октябрьская, Красных Партизан) обесточат примерно на два часа – с 8:00 до 10:00.

Под отключение попали жилые дома, аптеки, Кубанский казачий хор, Законодательное собрание Краснодарского края, овощной павильон, магазины, сауна, клиники, кафе, киоск и прочие объекты.

Подробный график на 18 августа:

Ранее редакция публиковала афишу мероприятий на выходные в Краснодаре. Мастер-классы и игровые программы пройдут в Городском Саду, Чистяковской Роще и на Солнечном острове.