Добавить в корзинуПозвонить
Найти в Дзене
суперграссманиан

Задачи по высшей математике. Дифференциальные уравнения

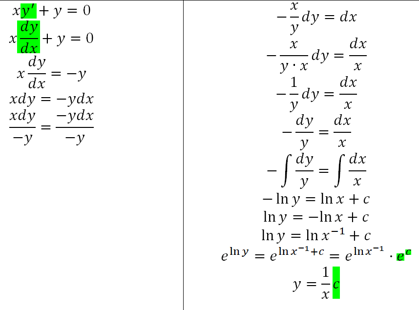
Найти решение задачи Коши. (т.е. решить уравнение и найти при какой константе выполняются начальные заданные условия)
-2
-3
-4
-5

Найти решение задачи Коши. (т.е. решить уравнение и найти при какой константе выполняются начальные заданные условия)

-6
-7
-8

-9
-10
-11
-12
-13
-14
-15
-16
-17
-18
-19
-20
-21
-22
-23
-24
-25