Добавить в корзинуПозвонить
Найти в Дзене

Фитиновая кислота - как старый враг стал новым другом

Salve Popullus! С вами врач интегративной медицины Высоких Роман Владимирович! В этой статье поговорим о фитиновой кислоте, ее свойствах, значении для нашего организма и практическом применении. Статья содержит сжатую информацию Но прежде чем перейти к статье, я вас попрошу зайти по ссылке (кликните сюда) и подписаться в группу по психологии. Ее ведет психолог, а не любитель! Там вы найдете полезные статьи, разбор сложных тем простым языком в аудиоформате, мотивационные миниатюрные видео для хорошего настроения. Психолог открыт для общения и разбора новых тем, которые вам будут интересны! Фитиновая кислота - представляет собой дигидрогенфосфатный эфир инозитола или мио-инозитол-1,2,3,4,5,6-гексакисфосфат. Цифры 1–6 означают наличие 6 потенциальных сайтов связывания. Такая структура позволяет фитиновой кислоте связывать многие ионы металлов, а так же пептиды, аминокислоты, жирные кислоты и углеводы в устойчивые и малорастворимые комплексы. Фитиновая кислота обладает выраженными хелатным
Оглавление
Изображение взято из интернета
Изображение взято из интернета

Salve Popullus! С вами врач интегративной медицины Высоких Роман Владимирович! В этой статье поговорим о фитиновой кислоте, ее свойствах, значении для нашего организма и практическом применении. Статья содержит сжатую информацию

Но прежде чем перейти к статье, я вас попрошу зайти по ссылке (кликните сюда) и подписаться в группу по психологии. Ее ведет психолог, а не любитель! Там вы найдете полезные статьи, разбор сложных тем простым языком в аудиоформате, мотивационные миниатюрные видео для хорошего настроения. Психолог открыт для общения и разбора новых тем, которые вам будут интересны!

Фитиновая кислота - представляет собой дигидрогенфосфатный эфир инозитола или мио-инозитол-1,2,3,4,5,6-гексакисфосфат. Цифры 1–6 означают наличие 6 потенциальных сайтов связывания. Такая структура позволяет фитиновой кислоте связывать многие ионы металлов, а так же пептиды, аминокислоты, жирные кислоты и углеводы в устойчивые и малорастворимые комплексы. Фитиновая кислота обладает выраженными хелатными свойствами.

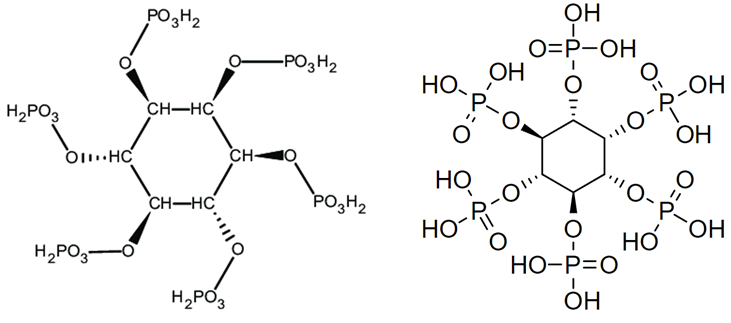
Различные варианты изображения структуры фитиновой кислоты. Изображение взято из интернета
Различные варианты изображения структуры фитиновой кислоты. Изображение взято из интернета

В литературе фитиновая кислота чаще всего обозначается как IP6 (инозитолфосфат) или InsP6

Соли фитиновой кислоты называют фитатами

Сам инозитол относится к семейству витаминов группы В. Ранее инозитол называли витамином В8, но позже статус витамина с него сняли. Сам инозитол чаще всего соединяется с липидами и входит в состав клеточных мембран в виде фосфотидилинозитола.

Различные вариации структуры инозитола. Изображение взято из интернета
Различные вариации структуры инозитола. Изображение взято из интернета

История открытия фитиновой кислоты

Фитиновая кислота открыта в 50-х годах 19 века немецким агрономом Т. Хартигом при изучении семян различных растений. Свое название кислота получила из-за ее особенности синтезироваться и присутствовать только у растений (греческое «Phyto» - растение)

Химическая структура фитиновой кислоты определена в 1914 году Р. Дж. Андерсоном из США

В 1940-х годах обнаружены антинутриентные (снижающие питательность) свойства фитиновой кислоты

И лишь относительно недавно стало известно о важных и полезных для нас свойствах этого вещества

Физические и химические свойства фитиновой кислоты

Указано, что тут показана фитиновая кислота в различных разведениях. Изображение взято из интерета
Указано, что тут показана фитиновая кислота в различных разведениях. Изображение взято из интерета

Представляет из себя светло-желтую или светло-коричневую вязкую жидкость, которая хорошо растворяется в воде. Реже представлена в виде белого аморфного порошка. Не имеет запаха и явного вкуса. Кислотные свойства разнятся от слабых, до более выраженных в зависимости от различных факторов. Вещество химически активно и способно образовывать сложные комплексы со многими металлами. При повышении температуры разрушается слабо. При воздействии сильных кислот, щелочей может частично разрушаться.

Источники фитиновой кислоты

Фитаты содержатся только в растительной пище! Наибольшее количество фитиновой кислоты находится в зрелых семенах, находящиеся в состоянии покое (спячке). В незначительном количестве может содержаться в корнях растений. Содержание фитатов в семенах даже одного вида или сорта может сильно варьировать, что связано с условиями произрастания. Так в семенах пшеницы, которая выросла в разных местах и при разных условиях, может сильно колебаться количество фитиновой кислоты.

В целом, фитиновая кислота является важным хранилищем (консервантом) фосфора и минералов в семенах растений. Так же фитиновая кислота оказывает защитное действие от насекомых и прочих травоядных животных, что уменьшает общие возможные потери семян у растений.

Чаще всего в растениях образуются фитаты: кальция, магния, железа, цинка, меди, калия. Наиболее распространены в семенах смеси фитатов: калия и магния; кальция и магния.

Кроме фитина в семенах присутствуют и другие инозитолфосфаты, но в куда меньшем количестве: IP5, IP4 и с менее выраженной активностью

Перечислим наиболее богаты на фитины источники питания

  • Бобовые. Из бобовых наибольшим количеством фитинов обладает соя
Все бобовые содержат фитиновую кислоту в большом количестве. Фото взято из интернета
Все бобовые содержат фитиновую кислоту в большом количестве. Фото взято из интернета
  • Зерновые культуры, из которых можно выделить: злаки (кукуруза, рожь, овес, пшеница, сорго, просо, рис и тд), гречневая крупа, амарант и тд. Наибольшее кол-во фитиновой кислоты содержится в оболочках семян (различные отруби злаковых). Наименьшее кол-во фитиновой кислоты будет в обработанном зерне: шлифованный рис, манка, белая мука высшего сорта. Но надо понимать, что и содержание полезных элементов в таких продуктах будет значительно меньше.
Все злаки и продукция из них в виде муки, отрубей, выпечки и тп будут содержать фитиновую кислоту. Фото взято из интернета
Все злаки и продукция из них в виде муки, отрубей, выпечки и тп будут содержать фитиновую кислоту. Фото взято из интернета
  • Масляничные культуры и их масла: рапс, лен, подсолнечник, кунжут, горчица и тд
Кунжут, лен, семена подсолнечника являются важной составной здорового питания. Однако, они содержат и большое количество фитиновой кислоты. Фото взято из интернета
Кунжут, лен, семена подсолнечника являются важной составной здорового питания. Однако, они содержат и большое количество фитиновой кислоты. Фото взято из интернета
  • Орехи: наибольшее кол-во в грецких орехах, миндале, кешью и бразильских орехах
Все орехи изобилуют фитиновой кислотой. Фото взято из интернета
Все орехи изобилуют фитиновой кислотой. Фото взято из интернета
  • Семена: мак, тмин, кориандр, тыква и тд
Даже специи в виде семян изобилуют фитиновой кислотой. На фото кориандр и тмин. Фото взято из интернета
Даже специи в виде семян изобилуют фитиновой кислотой. На фото кориандр и тмин. Фото взято из интернета

Фитаза - антагонист фитиновой кислоты

Там где присутствует фитиновая кислота, присутствуют и фитазы. Что же из себя представляют эти вещества?

Фитаза - группа ферментов (белков) из серии фосфотаз, которые отщепляют фосфаты от фитиновой кислоты с образованием более низших форм инозитолфосфатов: IP5, IP4, IP3, IP2, IP1 и мио-инозитол. Низшие формы фитиновой кислоты в меньшей степени связывают кальций, магний, железо и другие элементы.

Фитазы могут быть кислые, нейтральные и щелочные, в зависимости от условий проявления своей активности

Стоит отметить, что фитазы присутствуют в любых семенах растений, у различных микроорганизмов и грибов. У животных, вероятнее всего, фитазы имеют больше микробное происхождение.

На схеме показано действие фитазы, которая отщепляет от фитата фосфаты, кальций, цинк и пептиды, делая их доступными для усвоения. Изображение взято из интернета
На схеме показано действие фитазы, которая отщепляет от фитата фосфаты, кальций, цинк и пептиды, делая их доступными для усвоения. Изображение взято из интернета

Так зачем в семенах растений содержатся одновременно фитиновая кислота и фитазы?

Все дело в жизненном цикле растений. В покое семенам важно надежно сохранить в себе максимум полезных веществ (осуществляет фитиновая кислота), а когда наступает время прорастания, то постепенно отдать все необходимые питательные вещества растущему растению (осуществляют фитазы).

Для активирования фитазы в семенах нужно создать все условия для их прорастания: влажность, тепло, доступ воздуха, частично влияние микроорганизмов. Фитаза быстро разрушается при термической обработке (варка, жарка, запекание и тд), так как это белок

В настоящее время фитазу научились производить в промышленных масштабах из различных плесневых грибов (аспиргил черный) и бактерий. Фитаза активно используется в животноводстве при кормлении домашнего скота злаками.

Нормы потребления фитиновой кислоты и в каком виде она встречается на рынке?

Нормы потребления фитиновой кислоты сильно разнятся в различных странах. Чем больше доля в питании злаковых и бобовых у населения страны, тем выше нормы потребления.

Фитиновая кислота в пищевой промышленности представлена пищевой добавкой Е391

Метаболизм фитатов в организме человека

Человек самостоятельно не вырабатывает фитазы, которые бы могли эффективно переработать в пище фитаты. Но существуют различные приспособительные механизмы, которые все же позволяют с ней справляться. Рассмотрим подробнее эти моменты

В желудке фитаты частично разрушаются под действием соляной кислоты (кислая среда способствует распаду фитатов), высвобождая часть ионов металлов. С другой стороны избыточное кол-во фитатов может угнетать ферменты желудка, снижая их эффективность в переваривании белков

В начальных отделах кишечника фитаты и избыток свободной фитиновой кислоты могут дополнительно связывать минералы, аминокислоты, пептиды и углеводы из пищи в нерастворимые формы. Так же может происходить некоторое угнетение ферментов поджелудочной железы. В кишечнике фитиновая кислота частично всасывается, что показали многие эксперименты. Однако, роль ее внутри организма еще мало изучена.

С дальнейшим ходом пищи возрастает фитазная активность микрофлоры кишечника, которая максимально проявляет себя в толстом кишечнике. При наличии оптимальной микрофлоры фитаты разрушаются с выделением ранее недоступных ионов металлов, инозитола, фосфатов. Фитаты являются важным энергетическим ресурсом для бактерий, а также источником строительных материалов. В человеческой популяции фитазная активность микрофлоры может сильно разниться

Утилизируются фитаты через ЖКТ в виде нерастворимых комплексов. Любопытно, но обилие фосфора в навозе в большей степени обусловлено наличием непереваренной фитазы

В связи с суровой цензурой на яндекс дзен я не могу здесь опубликовать полный текст статьи. Если вас заинтересовала моя статья и вы бы хотели ознакомиться с ней полностью, то переходите по ссылке в мою группу в контакте "ССЫЛКА"