Добавить в корзинуПозвонить
Найти в Дзене
Математика для души

Разбор задания 10 из МЦКО 4 класс

Сегодня мы с вами разберем задание 10 из МЦКО для 4 класс.  Задание 10 относится ко второй части МЦКО, где нужно составить чертеж, написать решение и ответ.  ❗️Решение❗️ Для начала нужно внимательно прочитать задачу и составить по ней чертеж.  В задачах на движение главное, чтобы преподаватели учили детей не только делать чертеж, но и составлять таблицу.  Так как это поможет им в будущем решать более сложные задачи на движение. 📍мы находим время, которое было потрачено А-Б;  📍мы находим время, которое было потрачено Б-В;  📍мы находим скорость Б-В по формуле S:t. На мой взгляд, задача 10 легче, чем задача 9, которую мы разбирали ранее. Но у учеников могут быть проблемы из-за незнания формулы «движения». Мы с вами разобрали вариант по МЦКО для 4 класс 2024г.  Пишите в комментариях, какие задачи вы хотели бы, чтобы я разобрала! 

Сегодня мы с вами разберем задание 10 из МЦКО для 4 класс. 

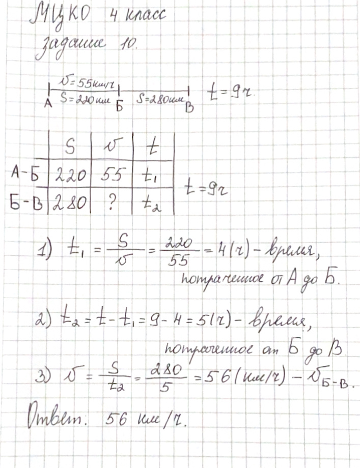
Задание 10 относится ко второй части МЦКО, где нужно составить чертеж, написать решение и ответ. 

Задача 10 из второй части МЦКО 4 класс
Задача 10 из второй части МЦКО 4 класс

❗️Решение❗️

Для начала нужно внимательно прочитать задачу и составить по ней чертеж. 

В задачах на движение главное, чтобы преподаватели учили детей не только делать чертеж, но и составлять таблицу. 

Так как это поможет им в будущем решать более сложные задачи на движение.

Решение задачи 10
Решение задачи 10

📍мы находим время, которое было потрачено А-Б; 

📍мы находим время, которое было потрачено Б-В; 

📍мы находим скорость Б-В по формуле S:t.

На мой взгляд, задача 10 легче, чем задача 9, которую мы разбирали ранее. Но у учеников могут быть проблемы из-за незнания формулы «движения».

Мы с вами разобрали вариант по МЦКО для 4 класс 2024г. 

Пишите в комментариях, какие задачи вы хотели бы, чтобы я разобрала!