Добавить в корзинуПозвонить
Найти в Дзене

Задание №29 (бланки второй части) с реального экзамена ЕГЭ по химии 2024 - как оценили различные формы записи и решения заданий

Рассмотрим реальные случаи оценивания задания №29 с экзамена ЕГЭ по химии 2024. Данное задание оценивают очень лояльно. Даже при написании уравнения реакции, которого нет в ответах, задание рассматривают индивидуально, и если реакция подходит под условия задания и ее протекание возможно, то решение задания засчитывают! Пример 1. сероводород, оксид меди (I), оксид железа (III), азотная кислота, оксид хрома (VI). Допустимо использование воды в качестве среды протекания реакции. Из предложенного перечня выберите вещества, между которыми протекает окислительно-восстановительная реакция с выделением бурого газа и образованием соли в растворе. В ответе запишите уравнение только одной из возможных окислительно-восстановительных реакций с участием выбранных веществ. Составьте электронный баланс (запишите уравнения процессов окисления и восстановления), укажите окислитель и восстановитель. За решение задания поставили 2 балла: Обратите внимание на то, что необходимо указывать единичную степен

Рассмотрим реальные случаи оценивания задания №29 с экзамена ЕГЭ по химии 2024. Данное задание оценивают очень лояльно. Даже при написании уравнения реакции, которого нет в ответах, задание рассматривают индивидуально, и если реакция подходит под условия задания и ее протекание возможно, то решение задания засчитывают!

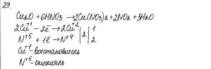
Пример 1. сероводород, оксид меди (I), оксид железа (III), азотная кислота, оксид хрома (VI). Допустимо использование воды в качестве среды протекания реакции.

Из предложенного перечня выберите вещества, между которыми протекает окислительно-восстановительная реакция с выделением бурого газа и образованием соли в растворе. В ответе запишите уравнение только одной из возможных окислительно-восстановительных реакций с участием выбранных веществ. Составьте электронный баланс (запишите уравнения процессов окисления и восстановления), укажите окислитель и восстановитель.

За решение задания поставили 2 балла:

-2

Обратите внимание на то, что необходимо указывать единичную степень окисления Cu⁺¹. В данном задании все написано верно, единичные степени окисления указаны, реакция правильно уравнена, указан окислитель и восстановитель, поэтому поставили максимальный балл за задание.

Пример 2. хромат натрия, бромид натрия, нитрит натрия, серная кислота, ацетат серебра, хлорид аммония. Допустимо использование воды в качестве среды протекания реакции.

Из предложенного перечня выберите вещества окислительно-восстановительная реакция, между которыми протекает с образованием простого вещества и выделением газа. В ответе запишите уравнение только одной из возможных окислительно-восстановительных реакций с участием выбранных веществ. Составьте электронный баланс (запишите уравнения процессов окисления и восстановления), укажите окислитель и восстановитель.

Данное задание было весьма спорным, т.к. здесь подходит две реакции:

1) 2NaBr + 2H₂SO₄→ Na₂SO₄ + Br₂+ SO₂ + 2H₂O
2) 2NaBr + 2NaNO₂ + 2H₂SO₄→ 2Na₂SO₄ + Br₂ + 2NO + 2H₂O

На экзамене за второй ответ, который был не самым простым вариантом, поставили 2 балла.

-3

Пример 3. сульфит калия, хлороводород, йод, перманганат калия, гидросульфат аммония, нитрат бария. Допустимо использование воды в качестве среды протекания реакции.

Из предложенного перечня выберите вещества, между которыми протекает окислительно-восстановительная реакция с обесцвечиванием раствора и выпадением осадка. В результате реакции выделение газа не наблюдается. В ответе запишите уравнение только одной из возможных окислительно-восстановительных реакций с участием выбранных веществ. Составьте электронный баланс (запишите уравнения процессов окисления и восстановления), укажите окислитель и восстановитель.

За решения задания в различных форматах поставили 2 балла:

*Обратим внимание на форму записи окислитель/восстановитель.

Существует много различных мнений о том, как правильно записывать окислитель и восстановитель. Давайте посмотрим на все варианты:

1) окислитель N⁺³
восстановитель Br⁻¹
2) окислитель N⁺³ (KNO₂)
восстановитель Br⁻¹ (KBr)
3) окислитель: KNO₂
восстановитель: KBr

Засчитывают как полный формат записи (указание элемента в степени окисления и вещества, в котором он находится), так и указание только вещества, в котором находится элемент (окислитель или восстановитель) или указание только элемента в степени окисления.

-4
-5

Пример 4. перманганат калия, хлор, нитрит кальция, гидроксид железа (II), бромоводород, оксид серы (IV). Допустимо использование воды в качестве среды протекания реакции.

Из предложенного перечня выберите вещества, между которыми протекает окислительно-восстановительная реакция с образованием в растворе двух солей и кислоты. В ответе запишите уравнение только одной из возможных окислительно-восстановительных реакций с участием выбранных веществ. Составьте электронный баланс (запишите уравнения процессов окисления и восстановления), укажите окислитель и восстановитель.

Пример ответа:

-6

За решение задания в таком формате поставили 0 баллов. Почему?

Реакция не уравнена, полуреакции электронного баланса не указаны. Даже при правильном указании окислителя и восстановителя 1 балл не ставят. В данном случае апелляция не поможет, т.к. по критериям оценивания для того чтобы поставили 1 балл необходимо указать не только окислитель и восстановитель, но и составить электронный баланс:

-7