Добавить в корзинуПозвонить
Найти в Дзене
programmer's notes (python and more)

Числовые алгоритмы на языке Python. Вычисление производных функций

Доброго времени суток, читатели, зрители моего канала programmer's notes. Не забывайте подписываться и писать свои комментарии к моим статьям и видео. В отличие от интеграла производная вычисляется в конкретной точке. Обычно вычисляют среднее от правой и левой производной (см. рисунок 1). По определению нужно взять приращение функции на данном промежутке и разделить на приращение аргумента. Но чтобы быть более точным мы берём среднюю производных с промежутком до данной точки и промежутком после. Формула из рисунка 1 преобразуется к формуле на рисунке 2. h - длина промежутка. Таким образом мы имеем простую формулу для вычисления производной. Ниже программа вычисляет: 1. Производную (от sin(x)) в заданных точках. 2. cos(x) в тех же точках. Напомню, что производная от sin(x) равна как раз cos(x). 3. Абсолютные отклонения одного значения от другого. Результат выполнения программы: производная от sin(x), cos(x) и отклонения одного от другого. 0.9999999999833332 0.9510565162823558 0.80

Доброго времени суток, читатели, зрители моего канала programmer's notes. Не забывайте подписываться и писать свои комментарии к моим статьям и видео.

Вычисление производной на Python

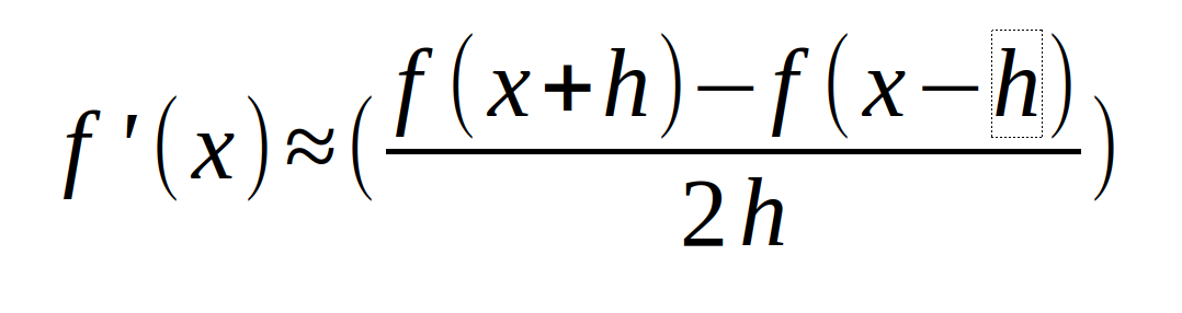
В отличие от интеграла производная вычисляется в конкретной точке. Обычно вычисляют среднее от правой и левой производной (см. рисунок 1). По определению нужно взять приращение функции на данном промежутке и разделить на приращение аргумента. Но чтобы быть более точным мы берём среднюю производных с промежутком до данной точки и промежутком после.

Рисунок 1. Вариант вычислени производной.
Рисунок 1. Вариант вычислени производной.

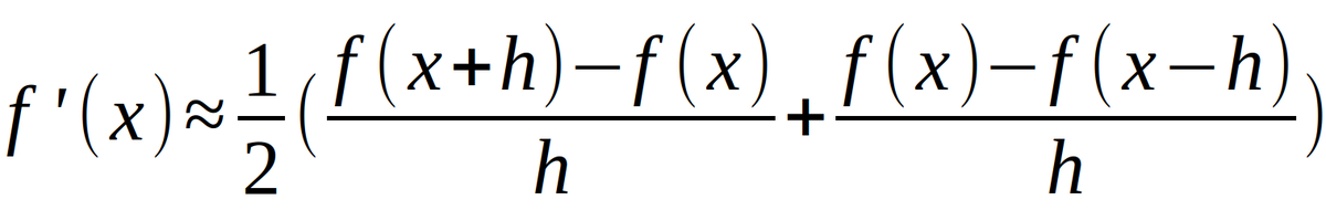
Формула из рисунка 1 преобразуется к формуле на рисунке 2. h - длина промежутка.

Рисунок 2. Окончательная формула вычисления производной
Рисунок 2. Окончательная формула вычисления производной

Таким образом мы имеем простую формулу для вычисления производной.

Ниже программа вычисляет: 1. Производную (от sin(x)) в заданных точках. 2. cos(x) в тех же точках. Напомню, что производная от sin(x) равна как раз cos(x). 3. Абсолютные отклонения одного значения от другого.

Программа вычисления производной. Текст программы см. ниже по ссылке
Программа вычисления производной. Текст программы см. ниже по ссылке
primer300.py

Результат выполнения программы: производная от sin(x), cos(x) и отклонения одного от другого.

0.9999999999833332 0.9510565162823558 0.8090169943575364 0.5877852522817584 0.30901699437646535 0.0 -0.30901699437091423 -0.5877852522873095 -0.8090169943686386 -0.9510565162851313 -0.9999999999898845

1.0 0.9510565162951535 0.8090169943749475 0.5877852522924731 0.30901699437494745 6.123233995736766e-17 -0.30901699437494734 -0.587785252292473 -0.8090169943749473 -0.9510565162951535 -1.0

1.6666779067975313e-11
1.2797762849459104e-11
1.7411072583684017e-11
1.0714762410657386e-11
1.517896919267514e-12
6.123233995736766e-17
4.033107181555806e-12
5.1635362652291406e-12
6.3087313151299895e-12
1.0022205287896213e-11

Как видим, погрешности маленькие, т.е. формула для вычисления производной довольно точна. Заметим, однако, что вычисление производной осуществляется на промежутках, где значение функции изменяются незначительно.

Ну, пока всё!

Пишите свои предложения и замечания, и занимайтесь программированием, а также проектированием баз данных, хотя бы для поддержания уровня интеллекта.

Мы говорим произвоная - подразумевам дифференциал, говорим дифференциал - подразумеваем производная
Мы говорим произвоная - подразумевам дифференциал, говорим дифференциал - подразумеваем производная