Добавить в корзинуПозвонить
Найти в Дзене

Реальные ОВР на ОГЭ по химии 2024 (задание 20). Авторская технология. 11-му классу читать запрещается!

Вы хотите познавать химию и профессионально, и с удовольствием? Тогда вам сюда! Автор методики системно-аналитического изучения химии Богунова В.Г. раскрывает тайны решения задач, делится секретами мастерства при подготовке к ОГЭ, ЕГЭ, ДВИ, олимпиадам Хочешь сдать ЕГЭ по химии и биологии на 90+? WhatsApp репетитора Богуновой В.Г. +7(903)186-74-55 Сайт репетитора Богуновой В.Г. Репетитор Богунова В.Г. ВК Телеграмм-канал репетитора Богуновой В.Г. Начну с последней фразы в названии статьи. Это почему же "11-му классу читать запрещается", да еще статью про ОВР?! Все очень просто! В 9-м классе на ОГЭ в 20-м задании дается готовое уравнение ОВР. Ученик должен всего лишь расставить коэффициенты. В 11-м классе на ЕГЭ нужно НАПИСАТЬ уравнение ОВР в 29, 31 и 32 заданиях (возможно, и в 34-й задаче). При написании уравнения ОВР нужно уметь не только расставлять коэффициенты, но и определять продукты реакции. У меня опубликовано огромное количество статей по теме написания уравнений ОВР методом

Вы хотите познавать химию и профессионально, и с удовольствием? Тогда вам сюда! Автор методики системно-аналитического изучения химии Богунова В.Г. раскрывает тайны решения задач, делится секретами мастерства при подготовке к ОГЭ, ЕГЭ, ДВИ, олимпиадам

Хочешь сдать ЕГЭ по химии и биологии на 90+? WhatsApp репетитора Богуновой В.Г. +7(903)186-74-55

Сайт репетитора Богуновой В.Г.

Репетитор Богунова В.Г. ВК

Телеграмм-канал репетитора Богуновой В.Г.

Начну с последней фразы в названии статьи. Это почему же "11-му классу читать запрещается", да еще статью про ОВР?! Все очень просто!

В 9-м классе на ОГЭ в 20-м задании дается готовое уравнение ОВР. Ученик должен всего лишь расставить коэффициенты.

В 11-м классе на ЕГЭ нужно НАПИСАТЬ уравнение ОВР в 29, 31 и 32 заданиях (возможно, и в 34-й задаче). При написании уравнения ОВР нужно уметь не только расставлять коэффициенты, но и определять продукты реакции.

У меня опубликовано огромное количество статей по теме написания уравнений ОВР методом полуреакций. Меня этому научили в Университете. Еще в студенческие годы я буквально влюбилась в технологию полуреакций и уже будучи успешным преподавателем внесла в нее (технологию) много чего своего. (Читайте статьи, смотрите ролики - там все по полочкам разложено).

Я категорически не признаю никакие другие методы написания и расстановки коэффициентов типа "чисто электронный баланс".

Много лет я учила методу полуреакций не только 11-й, но и 9-й класс. И все было нормально. Ребята писали уравнения ОВР быстрее собственных учителей химии. Но..., пришло ОНО - ОГЭ! И понеслось... Учителя стали придумывать некие карточки, которые нужно заучивать на память, появились какие-то "чек-листы". (Слово какое-то странное. Не смотря на то, что оно (это слово) пришло к нам из продвинутого Запада, но, честно говоря, чек-лист (тьфу!) попахивает колхозным сельпо. Так и хочется попросить завесить грамм 200 реакций обмена и добавить пару плиточек амфотерных оксидов, присыпанных медным купоросом).

Абитуриентские родители тоже немного офигевать начали. Недаром, в последние годы появилось выражение "яжемать".

"Мой Леша (имя изменено) не будет с вами заниматься, потому что вы на занятии даете контроль в ущерб времени занятия и не даете домашнее задание! Моему сыну такой формат занятий не подходит!"

А то ничего, что поурочный контроль (обязательный) занимает всего 20 минут из 240 минут занятия, домашнее задание - 80 тестов и задач в неделю по авторской методичке плюс домашний тематический контроль 50 заданий. Леша вообще не делал домашнее задание. Зачем?! Проще маме сказать, что "домашку плохой репетитор не задал, пойдем к другому преподавателю, который задает мало и стоит дешево". Кстати, это было в 2019 году. У меня тогда многие ученики на бюджет поступили. Были и 100-балльники. Я писала статьи об этих детках. А что же Леша? Со мной он не общался больше, но ребята-всезнайки сказали мне, что завалил Леша и химию, и биологию! Я не злорадствую, но неприятно видеть, как взрослая "яжемать" под статьями об успехах деток, исходя завистью и злобой, писала всякие гадости. Конечно, такие комментарии я безжалостно уничтожаю, а негодяев блокирую!

Это я к тому рассказываю, чтобы вы поняли - не тот ученик сейчас пошел! Конечно, я не обо всех - разные детки бывают, но... сейчас 9-й класс обучать гораздо сложнее, чем даже 3-5 лет назад.

Поэтому я решила не напрягать детские мозги методом полуреакций, от которого плачут даже некоторые взрослые химички (не понятно почему - это же вкусная конфета!). Если в задании уже все написано, не будем огород городить - обойдемся маленькой скромненькой клумбой домашнего розлива. Это я об авторской технологии расстановки коэффициентов в уравнениях ОВР, представленных на ОГЭ.

Как всегда, эксперимент проводила на своих учениках. И, о радость! Слабая и более чем ленивая Маша (имя изменено) начала выполнять 20-е задание ОГЭ без единой ошибки и вчера вышла с экзамена с довольной улыбкой на лице!

А вот 11-му классу я запрещаю читать статью об этой технологии! У вас на ЕГЭ такой лафы не будет! Так что, ноги в руки - и вперед грызть гранит метода полуреакций!

Однако, вернемся к нашим баранам. Это я не об абитуриентах 9-го класса, разумеется, а о заданиях ОГЭ по химии, представленных в 20-й линии. Познакомлю вас не только с реальными заданиями, но и собственно с технологией расстановки коэффициентов.

Задание 20(1)

20 (ОГЭ 2024). Используя метод электронного баланса, расставьте коэффициенты в уравнении реакции, схема которой
HBr + HNO3 → NO2 + HBrO3 + H2O
Определите окислитель и восстановитель
Реальное 20-е задание ОГЭ по химии 2024. Решает репетитор Богунова В.Г.
Реальное 20-е задание ОГЭ по химии 2024. Решает репетитор Богунова В.Г.

Только не нужно сразу пугаться и кричать по поводу того, что в решении написано слишком много. Много - не мало! Три четверти написанного - это анализ (он записывается в черновике). В листы ответа нужно внести только электронный баланс, окислитель-восстановитель и полное молекулярное уравнение с коэффициентами.

А теперь - авторская технология (по шагам)

1. Определяем атомы элементов, изменивших степени окисления. Считаем степени окисления. Определяем окислитель и восстановитель (окислитель снижает степень окисления, восстановитель - повышает)
2. Записываем строки изменения степени окисления для окислителя и восстановителя с учетом отданных или принятых электронов
3. Составляем электронный баланс по НОК, исходя из аксиомы Σе (от восстановителя) = Σе (к окислителю)
4. Суммируем левые и правые части строк (у меня рука не поднимается написать, что это - полуреакции), с учетом коэффициентов
5. Составляем первичное молекулярное уравнение (с учетом веществ по условию задания). Проверяем равенство атомов-неучастников
6. По разнице атомов кислорода до и после реакции дописываем число молекул воды
7. Окончательная проверка - по числу атомов водорода до и после реакции

Это только кажется сложным. На самом деле. - очень все легко. В сентябре буду анализировать демоверсию ОГЭ 2025, распишу это задание более подробно и помещу лист из рабочей тетради для тренировки

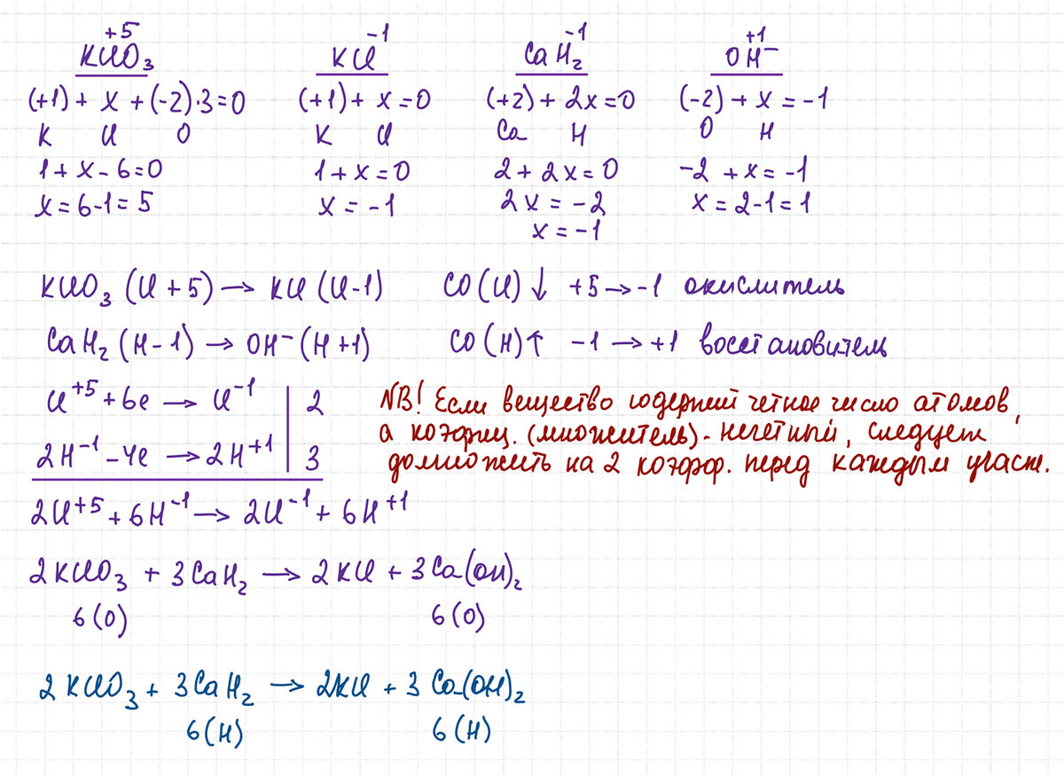
Задание 20(2)

20 (ОГЭ 2024). Используя метод электронного баланса, расставьте коэффициенты в уравнении реакции, схема которой
KClO3 + CaH2 → Ca(OH)2 + KCl
Определите окислитель и восстановитель
Реальное 20-е задание ОГЭ по химии 2024. Решает репетитор Богунова В.Г.
Реальное 20-е задание ОГЭ по химии 2024. Решает репетитор Богунова В.Г.

Задание 20(3)

20 (ОГЭ 2024). Используя метод электронного баланса, расставьте коэффициенты в уравнении реакции, схема которой
P + HBrO3 + H2O → H3PO4 + HBr
Определите окислитель и восстановитель
Реальное 20-е задание ОГЭ по химии 2024. Решает репетитор Богунова В.Г.
Реальное 20-е задание ОГЭ по химии 2024. Решает репетитор Богунова В.Г.
Хочешь понять и полюбить химию как я? Приходи ко мне на курс! И ты научишься решать самые сложные задачи, писать самые запутанные уравнения реакций. Сдашь ОГЭ на "пять", а ЕГЭ - на 100!

Понравилась статья? Скоро будет продолжение. Самое интересное, как всегда, впереди! Успехов и удачи! До встречи на Яндекс Дзен! Не забывайте подписаться на мой канал и поставить лайк!

Репетитор по химии и биологии кбн В.Богунова