Добавить в корзинуПозвонить
Найти в Дзене

Кто и как придумывал массу в физике. Часть II

часть I кликать сюда продолжение... К концу XIX и в начале XX века физика буквально кипела и сотрясалась под напором новых идей физиков (да и разного рода философов) и экспериментальных фактов. Выстроенное Исааком Ньютоном здание физики начало трещать в самом фундаменте. Фундамент классической механики основанный на законах сохранения массы и мгновенном дальнодействии - мягко говоря начал вызывать сомнения. Механика Исаака Ньютона обозначает постоянство массы как для тела, так и для системы тел - независящее от скорости движения, и устанавливает инвариантность массы по отношению к преобразованиям Галилея - в классической механике масса не может изменяться при переходе из одной инерциальной системы отсчета в другую. Масса в механике Исаака Ньютона имеет субстанциональное понимание, характеризующая тело, как существующий материальный физический объект. Нет массы- нет тела, есть тело- есть и масса. Поэтому, увеличение или уменьшение массы тела в механике Исаака Ньютона всегда рассматривал

часть I кликать сюда

продолжение...

К концу XIX и в начале XX века физика буквально кипела и сотрясалась под напором новых идей физиков (да и разного рода философов) и экспериментальных фактов. Выстроенное Исааком Ньютоном здание физики начало трещать в самом фундаменте. Фундамент классической механики основанный на законах сохранения массы и мгновенном дальнодействии - мягко говоря начал вызывать сомнения.

Механика Исаака Ньютона обозначает постоянство массы как для тела, так и для системы тел - независящее от скорости движения, и устанавливает инвариантность массы по отношению к преобразованиям Галилея - в классической механике масса не может изменяться при переходе из одной инерциальной системы отсчета в другую. Масса в механике Исаака Ньютона имеет субстанциональное понимание, характеризующая тело, как существующий материальный физический объект. Нет массы- нет тела, есть тело- есть и масса. Поэтому, увеличение или уменьшение массы тела в механике Исаака Ньютона всегда рассматривалось как приток или отток материи этого тела.

В Ньютоновской механике есть и две другие важные величины используемые в описании движения тел – это импульс и кинетическая энергия. В отличие от массы, каждая из этих величин относительная-так сказать имеющая внешнюю составляющую. Конечно, все физические объекты имеют какую-либо величину импульса и кинетической энергии. Но, значение каждой из этих величин зависит от выбора инерциальной системы отсчёта, относительно которой эти величины существуют.

Исаак Ньютон назвал импульс «количеством движения», являющейся мерой движения тела относительно инерциальной системы отсчёта. Многие думают о импульсе просто как о произведении массы тела на его скорость. Но, масса в этом случае играет важную роль: рассмотрим два тела двигающихся с одинаковой скоростью, пусть второе тело имеет массу в два раза больше, чем первое. Тогда второе тело имеет импульс, т.е. количество движения в два раза больше, чем первое тело. Поскольку скорость тела является векторной величиной, т.е. имеет направление, совпадающее с направлением его движения - импульс тела также векторная величина,

Кроме импульса, в механике Исаака Ньютона, тело, движущееся относительно система отсчёта также обладает кинетической энергией или энергией движения, как ее называли раньше "живая сила". В отличие от импульса, кинетическая энергия не является векторной (направленной) величиной. Но, как и импульс, она зависит скорости движения тела относительно инерциальной системы отсчета. Чем быстрее тело движется относительно инерциальной системы отсчета, тем большим импульсом и кинетической энергией оно обладает. Для тела двигающегося равномерно, т.е. без ускорения, всегда можно найти такую инерциальную систему отсчета, относительно которой, его импульс и кинетическая энергия будут равны нулю. Но масса, остается неизменной физической величиной, независимой от выбора системы отсчета. Именно по этой причине, масса в ньютоновской механике имеет абсолютное значение.

В 1900 году Анри Пуанкаре, используя ньютоновскую формулу для количества движения (импульс тела p=mv), ввел в употребление «инертную» массу, характеризующую инертные свойства энергии электромагнитной волны (излучения). Пуанкаре исходил из того, что электромагнитная волна, несущая энергию Е, обладает импульсом р, абсолютная величина которого, в соответствии с теоремой Умова – Пойнтинга, равна отношению Е/с. Подставляя это значение импульса в формулу для количества движения, А. Пуанкаре вывел формулу связи массы м электромагнитной волны (излучения) и энергии волны электромагнитного поля E, равную :

  • м = Е/с^2 .

Поскольку электромагнитная волна не может находится в покое, то найденная масса является динамической массой распространяющейся энергии электромагнитной волны. Стало понятно, что появилась новая масса, которую имеет энергия электромагнитной волны.

Созданные на основе электродинамики Джеймса Максвелла две теории электрона Хендрика Лоренца и Макса Абрагама, показали на примере электрона новую электромагнитную массу для заряженных тел, имеющую чисто электромагнитную природу и определили ее величину. Выяснилось и то, что электромагнитная масса электрона, зависела не только от его скорости пропорционально выражению с коэффициентом k :

  • k=1/ √(1 − v^2/c^2),

но и от направления ускорения. Если ускорение совпадало с направлением движения тела, то такая масса называлась "продольная", если ускорение было перпендикулярно направлению движения, то такая электромагнитная масса называлась "поперечная". Эти две массы различались между собой по величине. Таким образом, для релятивистских скоростей масса частицы определялась не одним значением, а двумя массами.

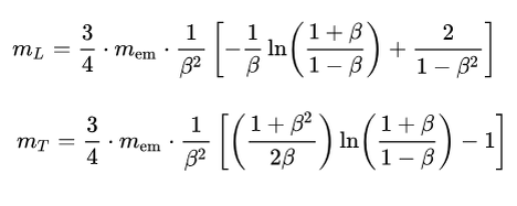
В 1902 -1905 годах Макс Абрагам разработал первую полевую модель электрона на основе уравнений поля Джеймса Максвелла. Он предположил, что электрон представляет собой абстрактную твердую сферу с равномерным распределением поверхностного заряда и полученную плотность заряда электрона считал фундаментальной величиной. В рамках своей теории он провел исследование динамики электрона, в т.ч. зависимость массы электрона от его скорости и в конечном итоге получил два типа масс электрона: одна — продольная масса (mL), а другая — поперечная масса (mT)

Продольная и поперечная масса электрона в теории электрона Макса Абрагама
Продольная и поперечная масса электрона в теории электрона Макса Абрагама

В 1903 году Хендрик Лоренц расширил свою электромагнитную теорию 1895 года. Сюда он включил уравнения движения свободного электрона вместе с обзором модели электрона Макса Абрагама. В ходе дальнейшего развития своей теории, Хендрик Лоренц предположил, что сферический электрон будет испытывать изменение своей формы во время движения с сферической на эллипсоидную. В теории электрона Хендрика Лоренца, электрон является не твердым шариком, как у Макса Абрагама, а деформируемым. По гипотезе Хендрика Лоренца, при движении шар сплющивался и превращается в эллипсоид. Деформация шара в эллипсоид при равномерном поступательном движении была рассмотрена еще в 1889 г. Хевисайдом, показавшим, что при такой деформации равновесное распределение заряда на поверхности остается равномерным, что и в случае недеформируемого шара. Как и Макс Абрагам, Хендрик Лоренц вывел формулы для "продольной массы" и "поперечной массы" деформируемого движущегося электрона.

Продольная и поперечная масса электрона в теории электрона Хендрика Лоренца
Продольная и поперечная масса электрона в теории электрона Хендрика Лоренца

Так в физике к 1905, году были определены пять понятий массы:

  • инертная масса из классической механики Исаака Ньютона имеющая механическую природу второго закона;
  • гравитационная масса из закона всемирного тяготения Исаака Ньютона;
  • инертная масса для электромагнитной волны открытая Анри Пуанкаре, исходя из электродинамики Джеймса Максвелла и теоремы Умова- Пойтинга.
  • продольная электромагнитная масса для движущегося заряженного тела/частицы (теории электрона Макса Абрагама и Хендрика Лоренца);
  • поперечная электромагнитная масса для движущегося заряженного тела/частицы (теории электрона Макса Абрагама и Хендрика Лоренца);

Из этих 5-ти масс - три концепции массы имели электромагнитную природу, что лишало физические тела ньютоновской механики единоличного владения массой, передав часть массы от механики тела к электромагнитному полю.

И вот 30 июня 1905 года, Альберт Эйнштейн публикует одну из своих эпохальных работ « К электродинамике движущихся тел», где также выводит формулы продольной и поперечной массы для движущегося электрона. Саму работу я сейчас рассматривать не буду, это тема отдельной статьи, я коснусь лишь момента вывода массы Альбертом Эйнштейном на примере электрона. В части своей работы касающейся главной темы - электродинамики, применив принцип относительности и преобразования к уравнениям Максвелла-Герца для пустоты, Альберт Эйнштейн находит продольную и поперечную массу для "слабо ускоренного электрона". Плюс к этому он показывает сохранение электрического заряда тел при переходе между инерциальными система отсчета. И приводит систему уравнений траекторий электронов в магнитном и электрическом поле согласно его теории, с целью практической проверки на опыте.

Продольная и поперечная масса электрона Альберта Эйнштейна
Продольная и поперечная масса электрона Альберта Эйнштейна

27 сентября 1905 года выходит следующая работа Альберта Эйнштейна " Зависит ли инерция тела от содержащейся в нем энергии", где он снова основывается на уравнениях Максвелла – Герца для "пустоты", а также формулы Джеймса Максвелла для энергии электромагнитной волны и принципа относительности.

В второй части статьи "электродинамика" он пишет: "Кинетическая энергия тела (относительно второй системы) уменьшается при испускании света на величину, не зависящую от природы тела. Кроме того, разность K0-К1 - зависит от скорости точно так же, как кинетическая энергия электрона ... Пренебрегая величинами четвертого и более высоких порядков, можно получить

Обозначения величин и формулы из работы Альберта Эйнштейна"Зависит ли инерция тела от содержащейся в нем энергии"
Обозначения величин и формулы из работы Альберта Эйнштейна"Зависит ли инерция тела от содержащейся в нем энергии"

"Из этого уравнения непосредственно следует, что если тело отдает энергию L в виде излучения, то его масса уменьшается на

  • L / V^2 (где, V- скорость света ).

При этом, очевидно, несущественно, что энергия, взятая у тела, прямо переходит в лучистую энергию излучения, так что мы приходим к более общему выводу.

  • Масса тела есть мера содержащейся в нем энергии;
  • Если энергия изменяется на величину L, то масса меняется, соответственно, на величину (L/ 9 x10^20), причем здесь энергия измеряется в эргах, а масса – в граммах (скорость света в см/сек).

Не исключена возможность того, что теорию удастся проверить для веществ, энергия которых меняется в большей степени (например, для солей радия). Если теория соответствует фактам, то излучение переносит инерцию между излучающими и поглощающими телами".

В Эйнштейновском понимании, оказывается инерция не фундаментальное свойство тела, как у Исаака Ньютона, а инерция - свойство его энергии. Если сообщать или забирать энергию у тела, то его инертная масса будет меняться. Альберт Эйнштейн предполагает то, что он хочет доказать- если тело излучает определенное количество энергии 𝐿, его инертная масса будет уменьшаться на величину Δm, и наоборот, если тело поглощает определенное количество энергии L, тогда его инертная масса будет увеличиваться на величину Δm:

Δm=L/c^2.

И честно говоря, вывод Альберта Эйнштейна, что масса тела мера его энергии- строго логически не вытекает, а является логичным предположением, конечно очень интересным. В любом случае, 1905 год открыл еще одно новое понимание массы - эйнштейновское.

А если все тела Вселенной обмениваются между собой энергией, тогда следует ли относить инерцию каждого тела как результат взаимного влияния отдаленных масс?

На этом пока заканчиваю, следующая часть будет посвящена эквивалентности массы и энергии.

Всем спасибо за прочтение статьи. Желающим выразить свое мнение или задать вопросы- пишите в комментариях.

Уважаемые читатели моих статей, у вас есть возможность поддержать моё творчество и мой труд донатами. Благодарю ВСЕХ за поддержку моего канала.