Найти в Дзене
Ни шагу назад

Как быстро посчитать доходность облигации с постоянным купоном

Привет друзья! Для меня и для многих других начинающих инвесторов всегда вставал вопрос о том, как правильно расчитывать доходность облигаций с фиксированным купоном при выборе их к покупке, особенно в самом начале пути. Как это сделать быстро и еще не накосячить? Чтобы расчитать доходность ОФЗ, ну те, которые у меня в портфеле, мне нужно было выписать цифры, подставить их в формулу... А если таких облигаций много? Можно сойти с ума... Основы доходности облигаций Надеюсь, вы знаете, что доходность облигации - это процентная ставка, которая отражает отношение годовых доходов от облигации к ее текущей рыночной цене. У облигаций с постоянным доходом есть один плюс - расчет доходности, с помощью формул, относительно прост, поскольку купонные выплаты фиксированы и выплачиваются регулярно. Немного теории... Расчет доходности к погашению (YTM) Доходность к погашению (YTM) является наиболее полным показателем доходности облигации, поскольку она учитывает все будущие купонные платежи и разницу
Оглавление

Привет друзья! Для меня и для многих других начинающих инвесторов всегда вставал вопрос о том, как правильно расчитывать доходность облигаций с фиксированным купоном при выборе их к покупке, особенно в самом начале пути. Как это сделать быстро и еще не накосячить?

Чтобы расчитать доходность ОФЗ, ну те, которые у меня в портфеле, мне нужно было выписать цифры, подставить их в формулу... А если таких облигаций много? Можно сойти с ума...

Основы доходности облигаций

Надеюсь, вы знаете, что доходность облигации - это процентная ставка, которая отражает отношение годовых доходов от облигации к ее текущей рыночной цене. У облигаций с постоянным доходом есть один плюс - расчет доходности, с помощью формул, относительно прост, поскольку купонные выплаты фиксированы и выплачиваются регулярно.

Немного теории...

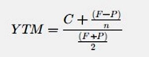
Расчет доходности к погашению (YTM)

Доходность к погашению (YTM) является наиболее полным показателем доходности облигации, поскольку она учитывает все будущие купонные платежи и разницу между ценой покупки облигации и ее номинальной стоимостью. Формула для расчета YTM выглядит следующим образом:

Формула доходности к погашению
Формула доходности к погашению

где:

  • C - годовой купонный доход,
  • F - номинальная стоимость облигации,
  • P - текущая рыночная цена облигации,
  • n - количество лет до погашения облигации.

Расчет текущей доходности

Текущая доходность облигации – это отношение годового купонного дохода к текущей рыночной цене облигации. Этот показатель не учитывает прибыль или убыток от погашения облигации и рассчитывается по формуле:

Расчет текущей доходности
Расчет текущей доходности

Ну как, сложно? Вот и я про тоже...

Но, есть способ расчитать доходность облигации проще!

Таблица расчета доходности облигации

Вот мы и дошли, на конец-то, до моей любимой таблицы. С помощью нее я выбирал себе облигации в мой инвестиционный портфель.

Зачем нам вообще нужен расчет, и что мы от него хотим?

А хотим четыре простых вещи:

  1. Узнать сколько денег принесет нам облигация в конце срока
  2. Сколько купонов в рублях принесет
  3. Какой процент у олигации по доходности
  4. И конечную сумму дохода в рублях за минусом налога в 13%.

Вот так выглядит табличка доходности:

Таблица расчета доходности облигации
Таблица расчета доходности облигации

Разберем заполнение таблицы напримере ОФЗ 26238, которую я докупал себе недавно в портфель:

Облигация федерального займа 26238
Облигация федерального займа 26238

Как заполнять поля таблицы расчета доходности облигации

Смотрим на информацию об облигации на сайте брокера, и из нее переписываем данные. У меня информация выглядит так:

Берем информацию о выпуске на сайте
Берем информацию о выпуске на сайте

Заполняем ячейки по номерам:

1) Текущая дата - ставите дату покупки облигации, т.е. ту, когда вы ее купили.

2) Дата погашения - цифры берете из информации о выпуске.

3) Не заполняется - оставляем пустой

4) Заполняется автоматически - табличка высчитывает сама.

5) Величина купона - цифры берете из информации о выпуске.

6) НКД - цифры берете из информации о выпуске.

7) Цена без НКД - просто смотрите чистую стоимость облигации на сайте брокера:

Чистая стоимость облигации
Чистая стоимость облигации

8) Цена с НКД - заполняется автоматически.

9) Осталось выплат по купонам - берем на сайте а разделе купоны. Считаем и вписываем:

Число купонов складываем в уме сами
Число купонов складываем в уме сами

10) Размер номинала - цифры берете из информации о выпуске.

Все, больше вписывать ничего не надо. Таблица доходности посчитает все сама)))

Что нам посчитает таблица доходности облигаций

Теперь у нас есть вся нужная нам информация:

  • Общая выплата купонов к закрытию
  • Сколько всего заработаем с 1 облигации к закрытию
  • Средний заработок в год до погашения
  • Общая выплата купонов к закрытию за минусом налога 13%
  • И доходность облигации в процентах
Вся информация по доходности
Вся информация по доходности

Таблицу можно скачать с Яндекс Диска, вот ссылка.

Вывод

Да, чуть не забыл написать, в таблице уже введена комиссия брокера 0,3%. И еще, таблицу для вас сделал не я, а Олег Бессонов. Спасибо ему за это)

Надеюсь, что данная таблица расчета догодности к погашению облигации очень упростит вам ваш выбор. Инвестиции должны приносить в нашу жизнь радость, а не рутину из постоянных и скучных расчетов.

Всем быстрых расчетов, и такого же роста капитала. Подписывайтесь на мой канал, комментируйте, помогите в продвижении моих статей. Мне важно знать, что та информация, о которой я здесь пишу действительно вам нужна)))

И, кстати, ели есть вопросы, задавайте!