Добавить в корзинуПозвонить
Найти в Дзене

Модель упругого (линейно-деформируемого) полупространства

Модель линейно деформируемого полупространства является линейной упругой моделью общих деформаций. Эта модель является одной из основных в механике грунтов. В основу модели линейно деформируемого полупространства положен закон Гука – линейная зависимость между напряжениями и деформациями σ =ε⋅E и допущения об идеальной упругости материала - полном восстановлении деформаций при снятии нагрузки (т.е. отсутствии остаточных деформаций после разгрузки) (т. е. в условиях одноосного простого сжатия или растяжения) В действительности, для грунтов характерно наличие преимущественно остаточных деформаций. Поэтому модель линейно деформируемого полупространства может применяться только на этапе однократного нагружения грунтовой среды без последующей разгрузки, что для большинства практических строительных случаев статических нагрузок и происходит в действительности. Согласно гипотезе упругого полупространства основание работает как сплошная однородная упругая среда (к

Основания и фундаменты | Заметки инженера-строителя. Блог проектировщика | Дзен

Модель линейно деформируемого полупространства является линейной упругой моделью общих деформаций.

Эта модель является одной из основных в механике грунтов.

В основу модели линейно деформируемого полупространства положен закон Гука – линейная зависимость между напряжениями и деформациями

σ =ε⋅E

и допущения об идеальной упругости материала - полном восстановлении деформаций при снятии нагрузки (т.е. отсутствии остаточных деформаций после разгрузки) (т. е. в условиях одноосного простого сжатия или растяжения)

В действительности, для грунтов характерно наличие преимущественно остаточных деформаций.

Поэтому модель линейно деформируемого полупространства может применяться только на этапе однократного нагружения грунтовой среды без последующей разгрузки, что для большинства практических строительных случаев статических нагрузок и происходит в действительности.

Согласно гипотезе упругого полупространства основание работает как сплошная однородная упругая среда (как сплошное однородное линейно-деформируемое тело), ограниченное сверху плоскостью и бесконечно простирающееся вниз (вглубь) и в стороны.

Нагрузка действует на поверхности упругого полупространства, а распределение напряжений в упругой среде описывается формулами теории упругости (основание работает как среда, к которой применимы формулы теории упругости, связывающие напряжения и осадки).

В этом случае в сопротивление внешней нагрузке вовлекается все полупространство, и поэтому осадка поверхности полупространства происходит также и сбоку от места приложения нагрузки, распространяясь на большие расстояния:

Схема расчетной модели линейно-деформируемого полупространства
Схема расчетной модели линейно-деформируемого полупространства

При использовании модели линейно деформируемого полупространства задачи сводятся к решению системы уравнений, в состав которой входят статические уравнения, геометрические соотношения и физические уравнения.

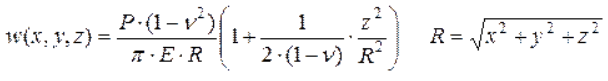
Осадка основания вычисляется интегрированием по загруженной поверхности формулы Буссинеска, устанавливающей зависимость вертикальных перемещений упругого полупространства от действующей на этой поверхности сосредоточенной силы P:

-2

Деформационные свойства упругого полупространства характеризуются модулем деформации Е и коэффициентом Пуассона.

Согласно этой гипотезе грунт обладает распределительной способностью - вокруг фундамента образуется воронка оседания.

В гипотезе упругого полупространства распределительная способность преувеличена: Модуль деформации является характеристикой, представляющей одновременно как упругие, так и остаточные деформации.

В случае фундаментов большой опорной площади (десятки - сотни квадратных метров) расчёты по данной гипотезе дают преувеличенное значение деформаций фундаментов (осадки, изгиба) и изгибающих моментов.

Это происходит из-за того, что гипотеза однородного полупространства игнорирует уплотнение грунта от собственного веса с глубиной, уменьшающее деформации основания.

Кроме того, нужно учитывать, что, при больших опорных площадях, грунт под фундаментом сжимается в основном без возможности бокового расширения.

Поэтому при больших опорных площадях, чтобы приблизить расчётные условия к действительным, может быть целесообразно проведение расчёта, по условной схеме, согласно которой основание представляет собой упругий сжимаемый слой, подстилаемый несжимаемым основанием. Также можно использовать схему однородного полупространства с повышенным модулем деформации так, чтобы расчёт по этой схеме давал значение , равное ожидаемой осадке.

Модель линейно-деформируемого слоя конечной толщины

Для такой модели в расчёт вводится не полупространство, а лишь его верхний слой, ниже которого грунт считается несжимаемым.

Схема модели линейно-деформируемого слоя конечной толщины
Схема модели линейно-деформируемого слоя конечной толщины

В методе линейно деформируемого слоя глубина сжимаемой толщи ограничена толщиной этого слоя Н, например, глубиной залегания практически несжимаемого слоя грунта.

Используется в тех случаях, когда метод послойного суммирования дает завышенные значения осадок.

К этим случаям относятся следующие:

1) В толще грунтового массива залегает практически несжимаемый грунт с модулем деформации, равным или более 100 МПа.

(Такая модель основания принимается в тех случаях, когда на некоторой глубине залегают скальные породы или слабосжимаемые грунты. Практически за такое основание можно принимать грунты с модулем деформации Е≥100 МПа)

2) Ширина фундаментов равна или превышает 10 м и под подошвой фундаментов залегает грунт с модулем деформации, равным или более 10 МПа.

Более строго область применимости метода линейно деформируемого слоя регламентирована в СП на проектирование оснований и фундаментов.