Добавить в корзинуПозвонить
Найти в Дзене
Канал NEKutko

Дебалансы пара на предприятиях

Теплоэнергетика и теплотехника. 13.03.01. (3 курс бакалавриата) Название дисциплины: Теплоэнергетические системы и энергобалансы промышленных предприятий (Конспект) ПКС - паро-конденсатные системы - специальный класс технологических процессов, основанный на термодинамических свойствах водяного пара.
УУ - утилизационная установка
УСТК - установка сухого тушения кокса
КОГ - котлы-охладители газов.
Дебаланс - расхождение в балансе предприятия - в моменты пиков или провалов нагрузки, в переходных режимах. Нагрузка на предприятии редко бывает постоянной.
ВЭР - вторичные энергетические ресурсы
РОУ - редукционно-охладительная установка Дополнительно пользоваться материалами: https://ppt-online.org/421826 Причины дебалансов:
1. Широкие диапазоны расхода. Диапазон колебаний расхода пара согласно технологическому процессе - может находиться в широких пределах. По количеству: Например: УУ - 45-400 т/час, УСТК 140-190 т/час. Если диапазон колебаний широкий - значит вероятность и величина дебала
Оглавление

Теплоэнергетика и теплотехника. 13.03.01. (3 курс бакалавриата)

Название дисциплины: Теплоэнергетические системы и энергобалансы промышленных предприятий (Конспект)

ПКС - паро-конденсатные системы - специальный класс технологических процессов, основанный на термодинамических свойствах водяного пара.
УУ - утилизационная установка
УСТК - установка сухого тушения кокса
КОГ - котлы-охладители газов.
Дебаланс - расхождение в балансе предприятия - в моменты пиков или провалов нагрузки, в переходных режимах. Нагрузка на предприятии редко бывает постоянной.
ВЭР - вторичные энергетические ресурсы
РОУ - редукционно-охладительная установка

Дополнительно пользоваться материалами: https://ppt-online.org/421826

Причины дебалансов:

1. Широкие диапазоны расхода. Диапазон колебаний расхода пара согласно технологическому процессе - может находиться в широких пределах. По количеству: Например: УУ - 45-400 т/час, УСТК 140-190 т/час. Если диапазон колебаний широкий - значит вероятность и величина дебаланса выше!
2.
Сезонность/суточность. Расходы пара могут варьироваться:
- по сезону (зима/лето)
- по месяцу (в этом месяце загружено одно оборудование больше, в следующем возможны изменения)
- по суткам (работа в одну/две или три смены на предприятии)
- по часам

Характерный суточный график выработки пара отдельными утилизационными установками: 1 — котлы—охладители конвертерных газов, 2 — установки сухого тушения кокса
Характерный суточный график выработки пара отдельными утилизационными установками: 1 — котлы—охладители конвертерных газов, 2 — установки сухого тушения кокса

Цепочка:
Любая производственная цепочка - многозвенная. Изменяясь в одном - меняться может несколько (а то и все последующие) звеньев.

Пример:
Приходы пара от УУ прокатных цехов могут сильно колебаться из-за изменений режимов работы нагревательных печей и прокатных станов. Так, если количество нагретого в печах металла в данный момент превышает по тем или иным причинам потребность стана, то резко снижают количество топлива, сжигаемого в печах. Соответственно сильно снижается паропроизводительность КУ, установленных за этими печами. При текущих ремонтах станов, которые могут длиться от нескольких часов до нескольких суток, паропроизводительность КУ падает, например, от 300 т/ч практически до нуля. Такое снижение производитель­ности сильно влияет на баланс производственного пара по за­воду. Со снижением производительности печей уменьшается, хотя и в меньшей степени, выход пара из СИО печей, который у крупных станов составляет до 100 т/ч. Это снижение суммируется с уменьшением поступления пара от КУ этих печей. Коксовые батареи на многих заводах планово-периодически останавливают примерно на сутки для ремонта обслуживающих печи ме­ханизмов. Аналогично колебания паропроизводительностей КУ и СИО в пределах суток (часа) наблюдаются и на УУ других технологических агрегатов. Поэтому для обеспечения надежного, бесперебойного пароснабжения потребителей совершенно недостаточно свести баланс завода по средним значениям расходов и приходов за месяц и тем более за год, а надо обязательно учитывать реальные графики расходов пара в течение месяца, суток, часа.
Баланс пара должен сходиться в любой, хотя бы и короткий отрезок времени.

Требовательность потребителей:
Практически на всех предприятиях различных отраслей промышленности есть потребители производственного пара, для которых перерывы в подаче пара или резкое уменьшение его подачи, а также снижение давления недопустимы. У этих потребителей снижение давления пара, а следовательно и температуры в теплообменниках, может резко снизить производительность установки по основному технологическому продукту и даже приостановить течение технологического процесса.
При этом может снижаться качество продукции и даже наблюдается ее порча. Снижение давления пара в системе общезаводских паропроводов наблюдается при недостаточном поступлении в него пара. Вспомогательные механизмы, работающие на паре, могут при этом не обеспечивать работу технологического агрегата, который они обслуживают.

Наряду с такими потребителями могут быть агрегаты и установки, которые менее чувствительны к не слишком продолжительным перерывам в подаче пара и снижениям его параметров. Это обстоятельство можно учитывать при сведении балансов пара по заводу, если полное его сведение по каким-либо причинам связано со слишком большими затратами. Для сведения балансов производственного пара по заводу в любой отрезок времени необходимо иметь резервные, мобильные пиковые парогенерирующие мощности или применять другие средства компенсации дебаланса. Необходимо также предусматривать возможность использования периодических избытков пара, во избежание вынужденного их сброса.

Почему важно беречь пар? (Почему дебалансы пара критичны для предприятия).
Пар - высокоценный ресурс. Очень емкий энергоноситель. Его потери = потери денег на его получение.
Нехватка пара - ведет к браку продукции = недополученная прибыль предприятия.

Пути компенсации дебалансов

1. Недостаток пара - включение дополнительных источников.
2. Избыток пара (сброс или регулирование)
3. Доп.устройства компенсации (паровая аккумуляция)

Покрытие недостатков расхода:
1.1.
Самое простое - использовать пар от турбин ТЭЦ. Но это решение имеет оптимальные границы! Так как так как работа турбины с отбором пара дает экономию топлива (а тем более приведенных затрат) только при достаточной загрузке ее отборов в течение года. При недостаточной годовой загрузке отбора теплофикационная турбина работает с перерасходом топлива и особенно приведенных затрат по сравнению с работой при раздельном варианте (КЭС плюс котельная).

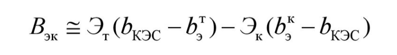
Минимальное значение годового отпуска пара из отбора турбины, при котором еще достигается экономия топлива, используя формулу Мелентьева:

Первый член ее правой части — экономия топлива, которую дает комбинированная выработка теплоты и электроэнергии по сравнению с раздельным вариантом.
Второй член правой части — перерасход топлива, по сравнению с раздельным вариантом, из-за того, что удельный расход топлива на 1 кВт-ч, вырабатываемой конденсационным способом на ТЭЦ больше, чем на КЭС.
Первый член ее правой части — экономия топлива, которую дает комбинированная выработка теплоты и электроэнергии по сравнению с раздельным вариантом. Второй член правой части — перерасход топлива, по сравнению с раздельным вариантом, из-за того, что удельный расход топлива на 1 кВт-ч, вырабатываемой конденсационным способом на ТЭЦ больше, чем на КЭС.

Для равной экономичности по приведенным затратам вариантов с добавочной турбиной для покрытия провалов приходов пара от утилизационных установок и раздельного необходимо иметь годовое соотношение Эт/Эк > 0,5:

-3

1.2. Использование РОУ для пара, идущего от паровых котлов ТЭЦ или от пиковых котлов. Это решение подходит для кратковременных дефицитов пара.

Покрытие периодических, особенно кратковременных, дебалансов производственного пара по заводу путем установки большего (против соответствующего оптимальному коэффициенту теплофикации) числа или более мощных турбин ПТ на ТЭЦ, как правило, экономически менее выгодно, чем установка пиковых паровых котлов или других пиковых источников пара.

Количество вредных выбросов, пропорционально количеству сжигаемого топлива и будет при установке дополнительной турбины на ТЭЦ в несколько раз больше, чем при пиковой котельной.

Примерный фактический график паровой нагрузки ТЭЦ:
 А — пиковые нагрузки ТЭЦ, обусловленные снижением паропроизводительности утилизационных установок, 
Б — пиковые паровые нагрузки, обусловленные режимом работы потребителей
Примерный фактический график паровой нагрузки ТЭЦ: А — пиковые нагрузки ТЭЦ, обусловленные снижением паропроизводительности утилизационных установок, Б — пиковые паровые нагрузки, обусловленные режимом работы потребителей

Рисунок показывает изменения нагрузок всех производственных потребителей в течение года.
1.3. Для переходных режимов - Административный способ регулирования - плавное или ступенчатое включение оборудования с одновременным ростом подачи пара.

Компенсация избытка пара
2.1.
Самое простое решение избыточного количества пара - его сброс. Очень неэффективное решение - но самое простое. Сброс может быть штатный и аварийный.
2.2. Для переходных режимов - Административный способ регулирования - плавное или ступенчатое отключение оборудования с одновременным снижением выработки пара.
2.3. Установка паропотребляющего оборудования, которое может быть в любой момент пущено и остановлено без ущерба основному технологическому процессу. (см. утилизационные установки пара).

Аккумулирование пара
3.1.
Аккумулятор пара - дополнение к ёмкости котла, в которой хранится запас воды при том же давлении и температуре, что и в котле. Когда паровая нагрузка, накладываемая оборудованием, невелика, и котёл может вырабатывать пара больше, чем требуется, излишки пара впрыскиваются в находящуюся под давлением водяную массу. С течением времени температура и давление воды в ёмкости увеличиваются до тех пор, пока вода не достигнет температуры насыщения, соответствующей давлению, при котором работает котёл.

Схема парового аккумулятора с обвязкой в паровой котельной
Схема парового аккумулятора с обвязкой в паровой котельной

Бак аккумулятора бывает, как в горизонтальном, так и в вертикальном исполнении. Независимо от того, вертикальный или горизонтальный бак используется, в нем должен содержаться одинаковый запас воды для обеспечения требуемого расхода пара.

При долговременных пиковых нагрузках, с которым котельная установка должна справляться, паровой аккумулятор можно использовать для хранения пара, которого хватит на 5 минут пиковой нагрузки; за это время котёл без проблем должен достигнуть необходимой производительности

Фото аккумулятора пара
Фото аккумулятора пара

Вопросы для самоконтроля:

1. Поясните своими словами причины дебалансов на предприятиях. Приведите примеры.
2. Почему закрывать дебаланс расхода пара на предприятии дополнительным отбором от турбины на ТЭЦ не всегда эффективно (по формуле Мелентьева)
3. Поясните, почему РОУ напрямую от котла подходит только для кратковременных дебалансов.
4. Поясните административный принцип регулирования.
5. Расскажите принцип работы аккумулятора пара.