Добавить в корзинуПозвонить
Найти в Дзене
Журнал «Наука и жизнь»

Человеческие нейроны обходятся без диалогов

…в отличие от нейронов мышей, которые склонны повторять своим соседям то, что только что от них же и узнали. В нейробиологии, как и в других биологических науках, большая часть экспериментов ставится на животных. При этом про результаты часто говорят, что их можно распространить и на человека. Действительно на каком-то уровне и человек, и, например, мышь устроены одинаково; значит, «мышиные» данные вполне применимы к людям. Но что значит «на каком-то уровне»? Взять, скажем, отдельные нейроны и нейронные цепочки – будут ли они отличаться у разных видов млекопитающих? О нейронах человека мы как-то писали, что у них намного чаще встречаются множественные контакты и что у них меньше плотность мембранных ионных каналов по сравнению с нейронами других зверей. Сотрудники берлинского медицинского центра Шарите пишут в Science о ещё одной особенности человеческих нейронов, точнее, сетей нейронов – сигналы в них идут преимущественно в одну сторону. Сразу нужно уточнить, что исследователи изучали

…в отличие от нейронов мышей, которые склонны повторять своим соседям то, что только что от них же и узнали.

В нейробиологии, как и в других биологических науках, большая часть экспериментов ставится на животных. При этом про результаты часто говорят, что их можно распространить и на человека. Действительно на каком-то уровне и человек, и, например, мышь устроены одинаково; значит, «мышиные» данные вполне применимы к людям. Но что значит «на каком-то уровне»? Взять, скажем, отдельные нейроны и нейронные цепочки – будут ли они отличаться у разных видов млекопитающих?

О нейронах человека мы как-то писали, что у них намного чаще встречаются множественные контакты и что у них меньше плотность мембранных ионных каналов по сравнению с нейронами других зверей. Сотрудники берлинского медицинского центра Шарите пишут в Science о ещё одной особенности человеческих нейронов, точнее, сетей нейронов – сигналы в них идут преимущественно в одну сторону. Сразу нужно уточнить, что исследователи изучали нейроны коры, причём не всей коры, а только 2–3 слоя неокортекса, или новой коры. (Неокортекс млекопитающих сложен из шести нейронных слоёв.) Нейроны соединены друг с другом синапсами, и если проследить за синаптическими соединениями и нейронными сигналами в коре мыши, то можно увидеть, что мышиные нейроны часто посылают ответный сигнал предыдущим клеткам. Например, представим, что есть цепочка из последовательно соединённых нейронов А, Б, В и Г – нейрон А соединён с нейроном Б, Б – с В, В – с Г. (Нейронные цепи устроены сложнее, но сейчас эти сложности нам ни к чему.) Если мы заглянем в некортекс мыши, то увидим, что сигналы очень часто идут в обратном направлении, от Б к А, или от Г к А, или от Г к В. То есть имеет место что-то вроде нейронного диалога: нейроны в цепочке как бы отвечают на сигнал, который к ним пришёл.

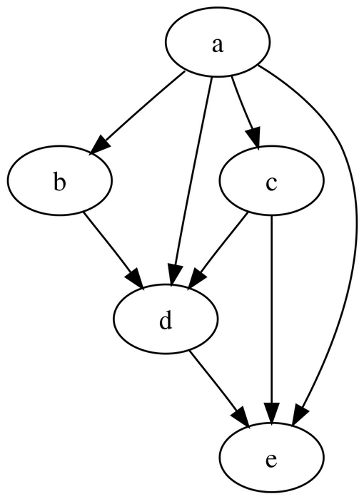
Ориентированный ациклический граф. (Иллюстрация: Wikipedia)
Ориентированный ациклический граф. (Иллюстрация: Wikipedia)

А вот у человека такой диалог случается редко. В статье в Science говорится, что нейроны соединены по принципу ориентированного ациклического графа: сигналы бегут в одну сторону, от А к Б, от А к В, от Б к В и так далее, но диалоговой петли, ответного сигнала в обратную сторону почти не бывает, или, говоря точнее, лишь очень небольшое число человеческих нейронов посылает ответные сигналы назад. Обнаружили это на крохотных образцах человеческой нервной ткани – их брали у людей, которым делали операцию на мозге по случаю эпилепсии. Мы неоднократно рассказывали про таких пациентов, которым в буквальном случае приходится залезать в мозг, чтобы удалить очаг болезни. Попутно они – с полного своего согласия – участвуют в разнообразных нейробиологических исследованиях, и вот это исследование как раз одно из таких. Микрообразцы коры оставались вполне живыми и функциональными два дня, пока их держали в питательной среде, изучая активность нейронов. Одновременно можно было регистрировать работу десяти клеток; в целом же исследователи проанализировали работу более 1100 нейронов и примерно 7200 синапсов.

-3

Реконструкция нейронного кластера некортекса человека. (Иллюстрация: Sabine Grosser / Charité)

Такой принцип организации нейронных цепей и нейронных сетей помогает решать задачи более экономно и эффективно. Продемонстрировали это на алгоритмических нейросетях, архитектура которых была сконструирована либо «по-мышиному», с нейронными диалогами, либо «по-человечески», без диалогов. Нейросеть обучали слышать названия цифр в записи человеческого голоса. Архитектура без диалоговых петель выполняла задания точнее и тратила меньше ресурсов – если перевести эту экономию обратно в нейроны, то получается, что там, где мышиная кора задействует 380 клеток, человеческая задействует всего 150.

Насколько такой принцип работы распространён в мозге вообще, пока неясно. Может быть, это особенность 2–3 слоя неокортекса, а может быть, нейроны работают так и в других слоях коры, и в других отделах мозга. Но в любом случае, полученные результаты не только помогают понять, как человеческий мозг стал таким умным, но и могут быть использованы при создании новых, ещё более эффективных моделей искусственного интеллекта.

26 апреля 2024

Автор: Кирилл Стасевич

Статьи по теме:

#нейробиология #нейроны #кора мозга